Abstract
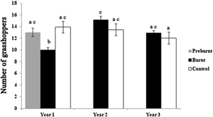
Habitat management strategies across the globe are often focusing on flagship species, such as large threatened mammals. This is also true for most protected areas of India, where large mammals such as the Tiger or Asian Elephant represent focal species of conservation management, although a shift towards other species groups can be observed in recent times. Prescribed burning is a controversially debated method to manage open habitat types. This method is practised as a tool to manage the habitat of the endangered Nilgiri tahr, Nilgiritragus hylocrius (an endemic goat) at a large scale (50Â ha grids) in Eravikulam National Park of the Western Ghats (Kerala, India). However, the impact of prescribed burning on other biota of this unique environment in a global biodiversity hotspot has not been studied. We compared the impact of large-scale prescribed burning on grasshopper abundances in Eravikulam National Park with small-scale burning in Parambikulam Tiger Reserve from 2015 to 2018, to assess the impact of the different fire management practices of these reserves on this species-rich insect group. We observed a negative response of grasshoppers to burning of larger contiguous areas in terms of their recovery after fire events, whereas burning small patches in a mosaic pattern facilitated rapid recovery of grasshopper communities. Our results suggest that burning management can be optimized to benefit both, the flagship vertebrate species as well as species-rich invertebrate communities.
This is a preview of subscription content, access via your institution.





References
Alempath M, Rice C (2008) Nilgiritragus hylocrius. IUCN Red List Threatened Species 2008:e.T9917A13026736. https://doi.org/10.2305/IUCN.UK.2008.RLTS.T9917A13026736.en
Alignan JF, Debras JF, Dutoit T (2018) Orthoptera prove good indicators of grassland rehabilitation success in the first French Natural Asset Reserve. J Nat Conserv 44:1–11. https://doi.org/10.1016/j.jnc.2018.04.002
Anderson AN, Ludwig JA, Lowe LM, Rentz DCF (2001) Grasshopper biodiversity and bioindicators in Australian tropical savannas: responses to disturbance in Kakadu National Park. Austral Ecol 26:213–222. https://doi.org/10.1046/j.1442-9993.2001.01106.x
Belovsky GE (2000) Do grasshoppers diminish grassland productivity? A new perspective for control based on conservation. In: Lockwood JA, Latchininsky AV, Sergeev M (eds) Grasshoppers and grassland health. Kluwer, Dordrecht, pp 7–29
Belovsky GE, Slade JB (2017) Grasshoppers affect grassland ecosystem functioning: spatial and temporal variation. Basic Appl Ecol 26:24–34. https://doi.org/10.1016/j.baae.2017.09.003
Bock CD, Bock JH (1991) Response of grasshoppers (Orthoptera: Acrididae) to wildfire in a southeastern Arizona grassland. Am Midl Nat 125:162–167
Bolivar I (1902) Les Orthoptères de St. Joseph’s College, à Trichinopoly (Sud de l’Inde); 3me partie. Ann Soc entomol Fr 70:580–635
BolÃvar I (1900) Les Orthoptères de St. Joseph’s College, à Trichinopoly (Sud de l’Inde); 2ème partie. Ann Soc entomol Fr 68:761–810
BolÃvar C (1914) Eumastácinos nuevos ó poco conocidos. Trab Mus Cienc Nat Madrid (Ser Zool) 16:3–46
BolÃvar C (1930) MonografÃa de los Eumastácidos. Trab Mus Cienc Nat Madrid (Ser Zool) 46:1–380
Bowen-Jones E, Entwistle A (2002) Identifying appropriate flagship species: the importance of culture and local contexts. Oryx 36:189–195. https://doi.org/10.1017/S0030605302000261
Bröder L, Tatin L, Danielczak A, Seibel T, Hochkirch A (2018) Intensive grazing as a threat in protected areas: the need for adaptive management to protect the Critically Endangered Crau plain grasshopper Prionotropis rhodanica. Oryx. https://doi.org/10.1017/S0030605318000170
Chambers BQ (1998) Grasshopper response to a 40-year experimental burning and mowing regime, with recommendations for invertebrate conservation management. Biodivers Conserv 7:985–1012
Champion HG, Seth SK (1968) A revised survey of forest types of India. Govt. of India Press, New Delhi
Chaneton EJ, Facelli JM (1991) Disturbance effects on plant community diversity: spatial scales and dominance heirarchies. Vegetatio 93:141–155
Chappell MA, Whitman DW (1990) Grasshopper thermoregulation. In: Joern A (ed) Chapman RF. Biology of Grasshoppers, Wiley, pp 143–172
Chopard L (1969) Orthoptera, Vol 2 Grylloidea. In: Seymour Sewell RB (ed) The Fauna of India and the adjacent countries. Zoological Survey of India, Calcutta
Cigliano MM, Braun H, Eades DC, Otte D (2018) Orthoptera species file version 5.0/5.0. http://Orthoptera.SpeciesFile.org. Accessed 01 January 2018
Collins SL (1989) Experimental analysis of patch dynamics and community heterogeneity in tallgrass prairie. Vegetatio 85:57–66
Collins SL (1992) Fire frequency and community heterogeneity in tallgrass prairie vegetation. Ecology 73:2001–2006
Collins SL, Knapp AK, Briggs JM, Blair JM, Steinauer EM (1998) Modulation of diversity by grazing and mowing in native tallgrass prairie. Science 280:745–747. https://doi.org/10.1126/science.280.5364.745
Davidar ERC (1978) Distribution and status of the Nilgiri tahr (Hemitragus hylocrius) 1975–1978. J Bombay Nat Hist Soc 75:815–844
Easa PS, Alempath M, Zacharias J, Daniels RJ (2010) Recovery plan for the Nilgiri tahr (Nilgiritragus hylocrius). Asia Biodiversity Conservation Trust and Care Earth Trust, Thrissur
Evans EW (1984) Fire as a natural disturbance to grasshopper assemblages of tallgrass prairie. Oikos 43:9–16
Evans EW (1988) Community dynamics of prairie grasshoppers subjected to periodic fire: predictable trajectories or random walks in time. Oikos 52:283–292
Ferrando CPR, Podgaiski LR, Costa MKM, Mendonca MDS Jr (2016) Taxonomic and functional resilience of grasshoppers (Orthoptera, Caelifera) to fire in south Brazilian grasslands. Neotrop Entomol 45:374–381
Fredericksen NJ, Fredericksen TS (2002) Terrestrial wildlife responses to logging and fire in a Bolivian tropical humid forest. Biodivers Conserv 11:27–38
Gardiner T, Dover JJ (2005) Is microclimate important for Orthoptera in open landscapes? J Insect Conserv 12:705–709. https://doi.org/10.1007/s10841-007-9104-7
Gardiner T, Gardiner M, Hill J (2005) The effect of pasture improvement and burning on Orthoptera populations of Culm grasslands in northwest Devon, UK. J Orthoptera Res 14:153–159
Gibson DJ (1988) Regeneration and fluctuation of tallgrass prairie vegetation in response to burning frequency. Bull Torrey Bot 115:1–12
Henle K, Amler K, Biedermann R, Kaule G, Poschlod P (1999) Bedeutung und Funktion von Arten und Lebensgemeinschaften in der Planung. In: Amler K, Bahl A, Henle K, Kaule G, Poschlod P, Settele J (eds) Populationsbiologie in der Naturschutzpraxis. Ulmer, Stuttgart, pp 17–23
Henry GM (1937) A new genus and species of Acridian from South India and Ceylon (Orthoptera). Proc R Ent Soc Lond (B) 6:197–200
Henry GM (1940) New and little known South Indian Acrididae (Orthoptera). Trans R Entomol Soc Lond 90:497–540
Hochkirch A (2016) The insect crisis we can’t ignore. Nature 359:141
Hochkirch A, Adorf F (2007) Effects of prescribed burning and wildfires on Orthoptera in Central European peat bogs. Environ Conserv 34:225–235
Hochkirch A, Nieto A, GarcÃa Criado M et al (2016) European red list of grasshoppers, crickets and bush-crickets. Publications Office of the European Union, Luxembourg
Huntzinger M (2003) Effects of fire management practices on butterfly diversity in the forested western United States. Biol Conserv 113:1–12
Ingrisch S (1983) Zum Einfluß der Feuchte auf die Schlupfrate und Entwicklungsdauer der Eier mitteleuropäischer Feldheuschrecken. Deutsche Entomologische Zeitschrift 30:1–15
Ingrisch S, Köhler G (1998) Die Heuschrecken Mitteleuropas. Westarp Sciences, Magdeburg
Joern A (1979) Feeding patterns in grasshoppers (Orthoptera: Acrididae): factors influencing diet specialization. Oecologia 38:325–347. https://doi.org/10.1007/BF00345192
Joern A (1982) Vegetation structure and microhabitat selection in grasshoppers (Orthoptera: Acrididae). Southwest Nat 27:197–209. https://doi.org/10.2307/3671144
Joern A (2005) Disturbance by fire frequency and bison grazing modulate grasshopper assemblages in tallgrass prairie. Ecology 86:861–873
Jonas LJ, Joern A (2007) Grasshopper (Orthoptera: Acrididae) communities respond to Wre, bison grazing and weather in North American tallgrass prairie: a long-term study. Oecologia 153:699–711. https://doi.org/10.1007/s00442-007-0761-8
Keeley JE, Fotheringham CJ, Baer-Keeley M (2005) Factors affecting plant diversity during post-fire recovery and succession of mediterranean-climate shrublands in California, USA. Divers Distrib 11:525–537
Kirby WF (1914) The fauna of British India including Ceylon and Burma, Orthoptera (Acrididae). Taylor and Francis, London
Law BS, Dickman CR (1998) The use of habitat mosaics by terrestrial vertebrate fauna: implications for conservation and management. Biodivers Conserv 7:323–333
Matenaar D, Bröder L, Bazelet CS, Hochkirch A (2014) Persisting in a windy habitat: population ecology and behavioural adaptations of two endemic grasshopper species in the Cape Region (South Africa). J Insect Conserv 18:447–456
McCullough DG, Werner RA, Neumann D (1998) Fire and insects in northern and boreal forest ecosystems of North America. Annu Rev Entomol 43:107–127
Metsalu T, Vilo J (2015) Clustvis: a web tool for visualizing clustering of multivariate data using Principal Component Analysis and heatmap. Nucleic Acids Res 43(W1):W566–W570. https://doi.org/10.1093/nar/gkv468
Myers N, Mittermeier RA, Mittermeier CG, da Fonseca GAB, Kent J (2000) Biodiversity hotspots for conservation priorities. Nature 403:853–857
Niemeyer T, Fottner S, Mohamed A, Sieber M, Härdtle W (2004) Einfluss des kontrollierten Brennens auf die Nährstoffdynamik von Sand- und Moorheiden. NNA-Berichte 17:65–79
Odum EP, Connell CE, Davenport LB (1962) Population energy flow of three primary consumer components of old-field ecosystems. Ecology 43:88–96. https://doi.org/10.2307/1932043
Parr CL, Brockett BH (1999) Patch-mosaic burning: a new paradigm for savanna fire management in protected areas? Koedoe 42:117–130
Pons P, Lambert B, Rigolot E, Prodon R (2003) The effects of grassland management using fire on habitat occupancy and conservation of birds in a mosaic landscape. Biodivers Conserv 12:1843–1860
R Core Team (2018) R: a language and environment for statistical computing. R Foundation for Statistical Computing, Vienna. http://www.R-project.org/
Rice LA (1932) The effect of fire on prairie animal communities. Ecology 13:392–401
Schwilk DW, Keeley JE, Bond WJ (1997) The Intermediate disturbance hypothesis does not explain fire and diversity pattern in fynbos. Plant Ecol 132:77–84
Shriver WG, Vickery PD (2001) Response of breeding Florida grasshopper and Bachman’s sparrows to winter prescribed burning. J Wildlife Manage 65:470–475
Swengel AB (1996) Effects of fire and hay management on abundance of prairie butterflies. Biol Conserv 76:73–85
Swengel AB (2001) A literature review of insect responses to fire, compared to other conservation managements of open habitat. Biodivers Conserv 10:1141–1169
Tews J, Brose U, Grimm V, Tielbörger K, Wichmann MC, Schwager M, Jeltsch F (2004) Animal species diversity driven by habitat heterogeneity/diversity: the importance of keystone structures. J Biogeogr 31:79–92
Tscharntke T, Steffan-Dewenter I, Kruess A, Thies C (2002) Characteristics of insect populations on habitat fragments: a mini review. Ecol Res 17:229–239
Uvarov BP (1929) Acrididen (Orthoptera) aus Süd-Indien. Rev Suisse Zool 36:533–563
Uvarov BP (1977) Grasshoppers and Locusts—a handbook of general Acridology, vol 2. Cambridge University Press, Cambridge
Warren SD, Scifres CJ, Teel PD (1987) Response of grassland arthropods to burning: a review. Agric Ecosyst Environ 19:105–130. https://doi.org/10.1016/0167-8809(87)90012-0
Weiss N, Zucchi H, Hochkirch A (2013) The effects of grassland management and aspect on Orthoptera diversity and abundance: site conditions are as important as management. Biodivers Conserv 22:2167–2178. https://doi.org/10.1007/s10531-012-0398-8
Welti EAR, Qiu F, Tetreault HM, Ungerer M, Blair J, Joern A (2019) Data from: fire, grazing, and climate shape plant-grasshopper interactions in a tallgrass prairie. Funct Ecol. https://doi.org/10.1111/1365-2435.13272
Westwood JO (1839) On Hymenotes, a genus of exotic orthopterous insects. Ann Mag Nat Hist 3:489–495
Weyer J, Weinberger J, Hochkirch A (2012) Mobility and microhabitat utilization in a flightless wetland grasshopper, Chorthippus montanus (Charpentier, 1825). J Insect Conserv 16:379–390. https://doi.org/10.1007/s10841-011-9423-6
Whelan RJ (1995) The ecology of fire. Cambridge University Press, Cambridge
Williams PH, Burgess ND, Rahbek C (2000) Flagship species, ecological complementarity and conserving the diversity of mammals and birds in sub-Saharan Africa. Anim Conserv Forum 3:249–260
Williams BK, Nichols JD, Conroy MJ (2002) Analysis and management of animal populations. Academic Press, San Diego
Acknowledgements
We are thankful to the Director, Sajeev TV, lab mates (ecology and entomology) and all other scientific community members of the Kerala Forest Research Institute (KFRI) for their support. The financial support of the Orthoptera Species File Grant made the visit to European museums possible. We are grateful to Maria Marta Cigliano, Holger Braun of OSF and Judith Marshall, George Beccaloni of NHM London and Mercedes Paris of MNCN Madrid for their whole hearted support during the study. We acknowledge the Kerala Forest and Wildlife Department (PKMTR and ENP); Wildlife wardens (Anjan Kumar IFS and Prasad G) Range Forest Officers (Manoj K, Johnson CK, Rajan V, Jayaprakash K, Sanjayan MP and Sandeep S) our field assistants (Bagyaraj, Sreenivasan, Karupswami and Kapilan) as well as Mr. Shiju (driver KFRI) for safely driving us through the forests.
Author information
Authors and Affiliations
Corresponding author
Additional information
Communicated by P. Ponel.
Publisher's Note
Springer Nature remains neutral with regard to jurisdictional claims in published maps and institutional affiliations.
Electronic supplementary material
Below is the link to the electronic supplementary material.
Rights and permissions
About this article
Cite this article
Bhaskar, D., Easa, P.S., Sreejith, K.A. et al. Large scale burning for a threatened ungulate in a biodiversity hotspot is detrimental for grasshoppers (Orthoptera: Caelifera). Biodivers Conserv 28, 3221–3237 (2019). https://doi.org/10.1007/s10531-019-01816-6
Received:
Revised:
Accepted:
Published:
Issue Date:
DOI: https://doi.org/10.1007/s10531-019-01816-6
Keywords
- Western Ghats
- Habitat heterogeneity
- Fire extent
- Grasshopper abundance
- Grassland management
- Insect conservation
- Prescribed burning