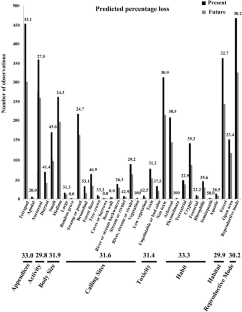
Abstract
Climate refuges have been used by several species over historical climate change. Ectothermic species often display good models for climate change studies because they are highly sensitive to temperature. Analysis of species loss with ecosystem and evolutionary values helps to understand environmental processes and climate change consequences. We determined the functional and phylogenetic diversity of amphibians in the Atlantic Forest hotspot, using multiple models representing present and future conditions. Through a novel approach, we predict species’ threat status by 2080, following the IUCN’s criterion B1. Our results estimate a drastic reduction in species richness, ecosystem functioning and evolutionary history at low latitudes and altitudes. We show that species will tend to disperse to the areas with milder temperatures (i.e., high latitudes/altitudes). Some of these areas are the same climate refuges that have been suggested for the Late Pleistocene. We highlight that 60% of amphibians can become threatened under predicted-future conditions. This work advances the knowledge on climate refuges for amphibian ecology and evolution, supporting complementary tools for conservation strategies.










Similar content being viewed by others
Explore related subjects
Discover the latest articles and news from researchers in related subjects, suggested using machine learning.References
Ackerly DD, Schwilk DW, Webb CO (2006) Niche evolution and adaptive radiation: testing the order of trait divergence. Ecology 87:50–61
Alberti M (2015) Eco-evolutionary dynamics in an urbanizing planet. Trends Ecol Evol 30:114–126
Allouche O, Tsoar A, Kadmon R (2006) Assessing the accuracy of species distribution models: prevalence, kappa and the true skill statistic (TSS). J Appl Ecol 43:1223–1232. https://doi.org/10.1111/j.1365-2664.2006.01214.x
Araújo MB, New M (2006) Ensemble forecasting of species distributions. Trends Ecol Evol 22:43–47. https://doi.org/10.1016/j.tree.2006.09.010
Araújo MB, Rahbek C (2007) Conserving biodiversity in a world of conflicts. J Biog 34:199–200. https://doi.org/10.1111/j.1365-2699.2006.01687.x
Araújo MB, Alagador D, Cabeza M, Nogués-Bravo D, Thuiller W (2011) Climate change threatens European conservation areas. Ecol Lett 14:484–492
Arnan X, Cerdá X, Retana J (2016) Relationships among taxonomic, functional, and phylogenetic ant diversity across the biogeographic regions of Europe. Ecography 39:001–010
Bambach RK (2006) Phanerozoic biodiversity mass extinctions. Annu Rev Earth Planet Sci 34:127–155
Barnosky AD, Matzke N, Tomiya S, Wogan GOU, Swartz B, Quental TB, Marshall C, McGuire JL, Lindsey EL, Maguire KC, Mersey B, Ferrer EA (2011) Has the Earth’s sixth mass extinction already arrived? Nature 471:51–57
Becker CG, Fonseca CR, Haddad CFB, Batista RF, Prado PI (2007) Habitat split and the global decline of amphibians. Science 318:1775–1777
Benson DA, Cavanaugh M, Clark K, Karsch-Mizrachi I, Lipman DJ, Ostell J, Sayers EW (2013) GenBank. Nucl Acid Res 41:36–42
Breiman L (2001) Random forests. Mach Learn 45:5–32. https://doi.org/10.1023/A:1010933404324
Bush MB (1994) Amazonian speciation: a necessarily complex model. J Biog 21:5–17. https://doi.org/10.2307/2845600
Bush MB, Oliveira PE (2006) The rise and fall of the refugial hypothesis of Amazonian speciation: a paleoecological perspective. Biota Neotrop. https://doi.org/10.1590/S1676-06032006000100002
Bush MB, Gosling WD, Colinvaux PA (2011) Climate and vegetation change in the lowlands of the Amazon Basin. In: Bush M, Flenley J, Gosling W (eds) Tropical rainforest responses to climatic change, 2nd edn. Springer, New York, pp 61–84
Campos FS, Lourenço-de-Moraes R (2017) Amphibians from the mountains of the Serra do Mar Coastal Forest, Brazil. Herpetol Notes 10:547–560
Campos FS, Llorente GA, Rincón L, Lourenço-de-Moraes R, Solé M (2016) Protected areas network and conservation efforts concerning threatened amphibians in the Brazilian Atlantic Forest. Web Ecol 16:9–12
Campos FS, Lourenço-de-Moraes R, Llorente GA, Sole M (2017) Cost-effective conservation of amphibian ecology and evolution. Sci Adv 3(6):e1602929. https://doi.org/10.1126/sciadv.1602929
Cardinale BJ, Matulich KL, Hooper DU, Byrnes JE, Duffy E, Gamfeldt L, Balvanera P, O’Connor MI, Gonzalez A (2011) The functional role of producer diversity in ecosystems. Am J Bot 98:572–592
Carey C, Alexander MA (2003) Climate change and amphibian declines: is there a link? Divers Distrib 9:111–121
Carnaval AC, Hickerson MJ, Haddad CFB, Rodrigues MT, Moritz C (2009) Stability predicts genetic diversity in the Brazilian Atlantic forest hotspot. Science 323:785–789
Carpenter G, Gillison AN, Winter J (1993) DOMAIN: a flexible modelling procedure for mapping potential distributions of plants and animals. Biodivers Conserv 2:667–680
Cavarzere V, Silveira LF (2012) Bird species diversity in the Atlantic Forest of Brazil is not explained by the Mid-domain Effect. Zoologia 29:285–292. https://doi.org/10.1590/S1984-46702012000400001
Colwell RK, Brehm G, Cardelús C, Gilman A, Longino JT (2008) Global warming, elevational range shifts, and lowland biotic attrition in the wet tropics. Science 322:258–261
Crump ML (2010) Amphibian diversity and life history. In: Dodd CK Jr (ed) Amphibian Ecology and Conservation A handbook of techniques. Oxford University Press, Oxford, pp 1–19
Del Toro I, Silva RR, Ellison AM (2015) Predicted impacts of climatic change on ant functional diversity and distributions in eastern North American forests. Divers Distrib 21:781–791
Devictor V, Mouillot D, Meynard C, Jiguet F, Thuiller W, Mouquet N (2010) Spatial mismatch and congruence between taxonomic, phylogenetic and functional diversity: the need for integrative conservation strategies in a changing world. Ecol Lett 13:1030–1040
Diamond JM (1975) Assembly of species communities. In: Cody ML, Diamond J (eds) Ecology and evolution of communities. Harvard University Press, Cambridge, pp 342–444
Dias IR, Lourenço-de-Moraes R, Solé M (2012) Description of the advertisement call and morphometry of Haddadus binotatus (Spix, 1824) from a population from southern Bahia, Brazil. North-Western J Zool 8(1):107–111
Diniz-Filho JAF, Ferro VG, Santos T, Nabout JC, Dobrovolski R, De Marco Jr P (2010) The three phases of the ensemble forecasting of niche models: geographic range and shifts in climatically suitable areas of Utetheisa ornatrix. Rev Bras Ent 54:339–349
Diniz-Filho JAF, Bini ML, Rangel TF, Loyola RD, Hof C, Nogués-Bravo D, Araújo MB (2009) Partitioning and mapping uncertainties in ensembles of forecasts of species turnover under climate change. Ecography 32:897–906. https://doi.org/10.1111/j.1600-0587.2009.06196.x
Dirzo R, Young HS, Galetti M, Ceballos G, Isaac NJB, Collen B (2014) Defaunation in the Anthropocene. Science 345:401–406. https://doi.org/10.1126/science.1251817
Drummond AJ, Rambaut A (2007) BEAST: Bayesian evolutionary analysis by sampling trees. Evol Biol 7:214. https://doi.org/10.1186/1471-2148-7-214
Dubuis A, Pottier J, Rion V, Pellissier L, Theurillat JP, Guisan A (2011) Predicting spatial patterns of plant species richness: a comparison of direct macroecological and species stacking modelling approaches. Divers Distrib 17:1122–1131. https://doi.org/10.1111/j.1472-4642.2011.00792.x
Duellman WE, Trueb L (1994) Biology of amphibians. McGraw Hill, New York
Early R, Sax DF (2011) Analysis of climate paths reveals potential limitations on species range shifts. Ecol Lett 14:1125–1133
Elith J, Kearney M, Phillips S (2010) The art of modelling range-shifting species. Methods Ecol Evol 1(4):330–342. https://doi.org/10.1111/j.2041-210X.2010.00036.x
Environmental Systems Research Institute ESRI (2011) Arcgis Software: Version10.1. ESRI, Redlands, CA
Eskildsen A, Le Roux PC, Heikkinen RK, Hoye TT, Kissling WD, Poyry J, Wisz MS, Luoto M (2013) Testing species distribution models across space and time: high latitude butterflies and recent warming. Global Ecol Biogeogr 22:1293–1303
Faith DP (1992) Conservation evaluation and phylogenetic diversity. Biol Conserv 61:1–10
Ferreira RB, Beard KH, Crump ML (2016) Breeding guild determines frog distributions in response to edge effects and habitat conversion in the Brazil’s Atlantic Forest. PLoS ONE 11:e0156781. https://doi.org/10.1371/journal.pone.0156781
Ferro VG, Lemes P, Melo AS, Loyola R (2014) The reduced effectiveness of protected areas under climate change threatens Atlantic Forest tiger moths. PLoS ONE 9:e107792. https://doi.org/10.1371/journal.pone.0107792
Flynn DF, Gogol-Prokurat M, Nogeire T, Molinari N, Richers BT, Lin BB, Simpson N, Mayfield MM, DeClerck F (2009) Loss of functional diversity under land-use intensification across multiple taxa. Ecol Lett 12:22–33
Gehara M, Crawford AJ, Orrico VGD, Rodríguez A, Lötters S, Fouquet A, Barrientos LS, Brusquetti F, DelaRiva I, Ernst R, Urrutia GG, Glaw F, Guayasamin JM, Hölting M, Jansen M, Kok PJR, Kwet A, Lingnau R, Lyra M, Moravec J, Pombal JP Jr, Rojas-Runjaic FJM, Schulze A, Señaris JS, Solé M, Rodrigues MT, Twomey E, Haddad CFB, Vences M, Köhler J (2014) High levels of diversity uncovered in a widespread nominal taxon: continental phylogeography of the neotropical tree frog Dendropsophus minutus. PLoS ONE 9(9):e103958. https://doi.org/10.1371/journal.pone.0103958
Gómez JP, Bravo GA, Brumfield RT, Tello JG, Cadena CDA (2010) A phylogenetic approach to disentangling the role of competition and habitat filtering in community assembly of Neotropical forest birds. J Anim Ecol 79:1181–1192
Gotelli NJ, Entsminger GL (2001) Swap and fill algorithms in null model analysis: rethinking the knight’s tour. Oecologia 129:281–291. https://doi.org/10.1007/s004420100717
Haddad CFB, Prado CPA (2005) Reproductive modes in frogs and their unexpected diversity in the Atlantic Forest of Brazil. Bioscience 55:207–217
Haddad CFB, Toledo LF, Prado CPA, Loebmann D, Gasparini JL, Sazima I (2013) Guia dos anfíbios da Mata Atlântica: diversidade e biologia. Anolis Books, São Paulo
Haffer J (1969) Speciation in Amazon forest birds. Science 165:131–137
Hirzel AH, Hausser J, Chessel D, Perrin N (2002) Ecological-niche factor analysis: how to compute habitat-suitability maps without absence data? Ecology 83:2027–2036
Hocking DJ, Babbitt KJ (2014) Amphibian contributions to ecosystem services. Herpetol Conserv Biol 9:1–17
Hof AR, Jansson R, Nilsson C (2012) Future Climate Change will favour non-specialist mammals in the (Sub) Arctics. PLoS ONE 7:1–11. https://doi.org/10.1371/journal.pone.0052574
Holt RD (1990) The microevolutionary consequences of climate change. Trends Ecol Evol 5:311–315
Holt RE, Jørgensen C (2015) Climate change in fish: effects of respiratory constraints on optimal life history and behavior. Biol Lett 11:20141032. https://doi.org/10.1098/rsbl.2014.1032
Huang S-P, Chiou C-R, Lin T-E, Tu M-C, Lin C-C, Porter WP (2013) Future advantages in energetics, activity time, and habitats predicted in a high-altitude pit viper with climate warming. Funct Ecol 27:446–458. https://doi.org/10.1111/1365-2435.12040
Huey RB, Deutsch CA, Tewksbury JJ, Vitt LJ, Hertz PE, Alvarez-Pérez HJ, Garland T Jr (2009) Why tropical forest lizards are vulnerable to climate warming. Proc R Soc B Biol Sci 276:1939–1948. https://doi.org/10.1098/rspb.2008.1957
Intergovernmental Panel of Climate Changes (2014) Synthesis Report. Summary for Policymakers. In: IPCC. Climate Change 2014. http://www.ipcc.ch/index.htm
International Union for Conservation of Nature (2015) IUCN Red List of Threatened Species: Version 2015.4. www.iucnredlist.org/technical-documents/spatial-data
Jablonski D (1994) Extinctions in the fossil record. Phil Trans R Soc Lond Ser B 344:11–17
Jr Busby (1991) BIOCLIM - A bioclimate analysis and prediction system. In: Margules CR, Austin MP (eds) Nature conservation: cost effective biological surveys and data analysis. CSIRO, Melbourne, pp 64–68
Katoh K, Toh H (2008) Recent developments in the MAFFT multiple sequence alignment program. Brief Bioinform 9:286–298
Legendre P, Legendre LF (2012) Numerical ecology. English 3rd. Elsevier, Amsterdam
Lemes P, Loyola RD (2013) Accommodating species climate-forced dispersal and uncertainties in spatial conservation planning. PLoS ONE 8:e54323. https://doi.org/10.1371/journal.pone.0054323
Lemes P, Melo AS, Loyola RD (2014) Climate change threatens protected areas of the Atlantic Forest. Biodiver Conserv 23:357–368. https://doi.org/10.1007/s10531-013-0605-2
Lima-Ribeiro MS, Varela S, González-Hernández J, Oliveira G, Diniz-Filho JAF, Terribile LC (2015) Ecoclimate: a Database of climate data from multiple models for past, present, and future for macroecologists and biogeographers. Biodivers Inform 10:1–21. https://doi.org/10.17161/bi.v10i0.4955
Lourenço-de-Moraes R, Sole M, Toledo LF (2012) A new species of Adelophryne Hoogmoed and Lescure 1984 (Amphibia: Anura: Eleutherodactylidae) from the Atlantic Forest of southern Bahia, Brazil. Zootaxa 3441:59–68
Lourenço-de-Moraes R, Ferreira RB, Fouquet A, Bastos RP (2014) A new diminutive frog species of Adelophryne (Amphibia: Anura: Eleutherodactylidae) from the Atlantic Forest, southeastern Brazil. Zootaxa 3846:348–360
Lourenço-de-Moraes R, Ferreira RB, Mira-Mendes CCV, Zocca CZ, Medeiros T, Ruas DS, Rebouças R, Toledo LF, Brodie ED Jr, Solé M (2016) Escalated antipredator mechanisms of two neotropical marsupial treefrogs. Herpetol J 26:237–244
Lourenço-de-Moraes R, Malagoli LR, Guerra VB, Ferreira RB, Affonso IP, Haddad CFB, Sawaya RJ, Bastos RP (2018) Nesting patterns between Neotropical species assemblages: Can reserves in urban areas be failing to protect anurans? Urban Ecosyst 17:17–18. https://doi.org/10.1007/s11252-018-0767-5
Loyola RD, Lemes P, Nabout JC, Trindade-Filho J, Sagnori MD, Dobrovolski R, Diniz-Filho JAF (2013) A straightforward conceptual approach for evaluating spatial conservation priorities under climate change. Biodiver Conserv 22:483–495. https://doi.org/10.1007/s10531-012-0424-x
Lukoschek V, Beger M, Ceccarelli D, Richards Z, Pratchett M (2013) Enigmatic declines of Australia’s sea snakes from a biodiversity hotspot. Biol Conserv 166:191–202. https://doi.org/10.1016/j.biocon.2013.07.004
Maddison WP, Maddison DR (2015) Mesquite: a modular system for evolutionary analysis: Version 3.04. Mesquite Project Team. http://mesquiteproject.org
Magurran AE (2004) Measuring biological diversity. Blackwell, Oxford
Maréchaux I, Rodrigues ASL, Charpentier A (2017) The value of coarse species range maps to inform local biodiversity conservation in a global context. Ecography 40(10):1166–1176. https://doi.org/10.1111/ecog.02598
Marmion M, Parviainen M, Luoto M, Heikkinen RK, Thuiller W (2009) Evaluation of consensus methods in predictive species distribution modelling. Divers Distrib 15:59–69
Mata RA, Tidon R, Oliveira G, Vilela B, Diniz-Filho JAF, Rangel TF, Terribile LC (2017) Stacked species distribution and macroecological models provide incongruent predictions of species richness for Drosophilidae in the Brazilian savanna. Insect Conserv Divers 10:415–424. https://doi.org/10.1111/icad.12240
Mayfield MM, Bonser SP, Morgan JW, Aubin I, McNamara S, Vesk PA (2010) What does species richness tell us about functional diversity? Predictions and evidence for responses of species and trait diversity to land use change. Global Ecol Biogeogr 19:423–431
Mayr E, O’hara RJ (1986) The biogeographic evidence supporting the Pleistocene forest refuge hypothesis. Evolution 40:55–67. https://doi.org/10.2307/2408603
McDonald PG, Olsen PD, Cockburn A (2004) Weather dictates reproductive success and survival in the Australian brown falcon Falco berigora. J Anim Ecol 73:683–692
Montoya JM, Raffaelli D (2010) Climate change, biotic interactions and ecosystem services. Philos Trans R Soc Ser B 365:2013–2018. https://doi.org/10.1098/rstb.2010.0114
Mouchet M, Villéger S, Mason NWH, Mouillo D (2010) Functional diversity measures: an overview of their redundancy and their ability to discriminate community assembly rules. Funct Ecol 24:867–876
Myers N, Mittermeier RA, Mittermeier CG, Fonseca GA, Kent J (2000) Biodiversity hotspots for conservation priorities. Nature 403:853–858
Napoli MF, Caramaschi U, Cruz CAG, Dias IR (2011) A new species of flea-toad, genus Brachycephalus Fitzinger (Amphibia: Anura: Brachycephalidae), from the Atlantic Rainforest of southern Bahia, Brazil. Zootaxa 2739:33–40
Ocampo-Peñuela N, Jenkins CN, Vijay V, Li BV, Pimm SL (2016) Incorporating explicit geospatial data shows more species at risk of extinction than the current Red List. Sci Adv 2:e1601367. https://doi.org/10.1126/sciadv.1601367
Overton JM, Stephens RTT, Leathwick JR, Lehmann A (2002) Information pyramids for informed biodiversity conservation. Biodivers Conserv 11:2093–2116. https://doi.org/10.1023/A:1021386426790
Pavoine S, Vallet J, Dufour AB, Gachet S, Daniel H (2009) On the challenge of treating various types of variables: application for improving the measurement of functional diversity. Oikos 118:391–402. https://doi.org/10.1111/j.1600-0706.2008.16668.x
Pereira HM, Leadley PW, Proença V, Alkemade R, Scharlemann JP, Fernandez-Manjarrés JF, Araújo MB, Balvanera P, Biggs R, Cheung WW, Chini L, Cooper HD, Gilman EL, Guénette S, Hurtt GC, Huntington HP, Mace GM, Oberdorff T, Revenga C, Rodrigues P, Scholes RJ, Sumaila UR, Walpole M (2010) Scenarios for global biodiversity in the 21st century. Science 330:1496–1501. https://doi.org/10.1126/science.1196624
Petchey OL, Gaston KJ (2006) Functional diversity: back to basics and looking forward. Ecol Lett 9:741–758
Peterson AT, Soberón J, Pearson RG, Anderson RP, Martínez-Meyer E, Nakamura M, Araújo MB (2011) Ecological niches and geographical distributions. Princeton University Press, Princeton
Phillips SJ, Anderson RP, Schapire RE (2006) Maximum entropy modeling of species geographic distributions. Ecol Model 190:231–259. https://doi.org/10.1016/j.ecolmodel.2005.03.026
Pie MR, Meyer ALS, Firkowski CR, Ribeiro LF, Bornschein MR (2013) Understanding the mechanisms underlying the distribution of microendemic montane frogs (Brachycephalus spp, Terrarana: Brachycephalidae) in the Brazilian Atlantic Rainforest. Ecol Model 250:165–176
Pio DV, Broennimann O, Barraclough TG, Reeves G, Rebelo AG, Thuiller W, Guisan A, Salamin N (2011) Spatial predictions of phylogenetic diversity in conservation decision making. Conserv Biol 25:1229–1239. https://doi.org/10.1111/j.1523-1739.2011.01773.x
Pio D, Engler R, Linder H, Monadjem A, Cotterill F, Taylor P, Schoeman C, Price B, Villet M, Eick G, Salamin N, Guisan A (2014) Climate change effects on animal and plant phylogenetic diversity in southern Africa. Global Change Biol 20:1538–1549
Pomara LY, Ledee OE, Matin KJ, Zuckerberg B (2014) Demographic consequences of climate change and land cover help explain a history of extirpations and range contraction in a declining snake species. Glob Change Biol 20:2087–2099. https://doi.org/10.1111/gcb.12510
Pounds JA, Bustamante MR, Coloma LA, Consuegra JA, Fogden MP, Foster PN, La Marca E, Masters KL, Merino-Viteri A, Puschendorf R, Ron SR, Sánchez-Azofeifa GA, Still CJ, Young BE (2006) Widespread amphibian extinctions from epidemic disease driven by global warming. Nature 439:161–167. https://doi.org/10.1038/nature04246
Prather MJ, Holmes CD, Hsu J (2012) Reactive greenhouse gas scenarios: systematic exploration of uncertainties and the role of atmospheric chemistry. Geophys Res Lett 39:L09803. https://doi.org/10.1029/2012GL051440
Purvis A, Agapow PM, Gittleman JL, Mace GM (2000) Non-random extinction and the loss of evolutionary history. Science 288:328–330
Puschendorf R, Carnaval AC, VanDerwal J, Zumbado-Ulate H, Chaves G, Bolaños F, Alford RA (2009) Distribution models for the amphibian chytrid Batrachochytrium dendrobatidis in Costa Rica: proposing climatic refuges as a conservation tool. Divers Distrib 15:401–408. https://doi.org/10.1111/j.1472-4642.2008.00548.x
Pyron A, Wiens JJ (2011) A large-scale phylogeny of Amphibia including over 2800 species, and a revised classification of extant frogs, salamanders, and caecilians. Mol Phylogenet Evol 61:543–583
Quintero I, Wiens JJ (2013) Rates of projected climate change dramatically exceed past rates of climatic niche evolution among vertebrate species. Ecol Lett 16:1095–1103. https://doi.org/10.1111/ele.12144
R Development Core Team (2017) R: a language and environment for statistical computing. R Foundation for Statistical Computing, Vienna
Randin CF, Engler R, Normand S, Zappa M, Zimmermann NE, Pearman PB, Vittoz P, Thuiller W, Guisan A (2009) Climate change and plant distribution: local models predict high-elevation persistence. Global Change Biol 15:1557–1569
Rangel TF, Loyola RD (2012) Labeling ecological niche models. Nat Conserv 10:119–126. https://doi.org/10.4322/natcon.2012.030
Rangel TF, Diniz-filho JAF, Bini LM (2009) SAM: a comprehensive application for spatial analysis in macroecology. Ecography 33:46–50. https://doi.org/10.1111/j.1600-0587.2009.06299.x
Raup DM, Sepkoski JJ (1982) Mass extinctions in the marine fossil record. Science 215:1501–1503
Ribeiro LF, Alves ACR, Haddad CFB, Reis SF (2005) Two new species of Brachycephalus Günther, 1858 from the state of Paraná Southern Brazil. Bol Mus Nac Nov Ser Zool 519:10–18
Ribeiro MC, Metzger JP, Martensen AC, Ponzoni FJ, Hirota MM (2009) The Brazilian Atlantic Forest: how much is left, and how is the remaining forest distributed? Implications for conservation. Biol Conserv 142:1141–1153
Ribeiro PL, Camacho A, Navas CA (2012) Considerations for assessing maximum critical temperatures in small ectothermic animals: insights from leaf-cutting ants. PLoS ONE 7:e32083. https://doi.org/10.1371/journal.pone.0032083
Ribeiro LF, Bornschein MR, Belmonte-Lopes R, Firkowski CR, Morato SAA, Pie MR (2015) Seven new microendemic species of Brachycephalus (Anura: Brachycephalidae) from southern Brazil. PeerJ 3:e1011. https://doi.org/10.7717/peerj.1011
Ricklefs RE, Schluter D (1993) Species diversity in ecological communities: historical and geographical perspectives. University of Chicago Press, Chicago
Rodrigues ASL, Gaston KJ (2002) Maximising phylogenetic diversity in the selection of networks of conservation areas. Biol Conserv 105:103–111
Safi K, Cianciaruso MV, Loyola RD, Brito D, Armour-Marshall K, Diniz-Filho JAF (2011) Understanding global patterns of mammalian functional and phylogenetic diversity. Philos Trans R Soc Ser B 366:2536–2544. https://doi.org/10.1098/rstb.2011.0024
Sinervo B, Méndez-de-la-Cruz F, Miles DB, Heulin B, Bastiaans E, Villagrán-Santa C, Lara-Resendiz R, Martínez-Méndez N, Calderón-Espinosa ML, Meza-Lázaro RN, Gadsden H, Avila LJ, Morando M, De la Riva IJ, Sepulveda PV, Rocha CFD, Ibargüengoytía N, Puntriano CA, Massot M, Lepetz V, Oksanen TA, Chapple DG, Bauer AM, Branch WR, Clobert J, Sites JW (2010) Erosion of lizard diversity by climate change and altered thermal niches. Science 328:894–899. https://doi.org/10.1126/science.1184695
Soberón J (2007) Grinnellian and Eltonian niches and geographic distributions of species. Ecol Lett 10:1115–1123. https://doi.org/10.1111/j.1461-0248.2007.01107.x
Sobral FL, Cianciaruso MV (2012) Estrutura filogenética e funcional de assembleias: (re)montando a Ecologia de Comunidades em diferentes escalas espaciais. Biosci J 28:617–631
SOS Mata Atlântica e o Instituto Nacional de Pesquisas Espaciais—INPE (2015) Atlas dos Remanescentes Florestais da Mata Atlântica Período 2013–2014. https://www.sosma.org.br/projeto/atlas-da-mata-atlantica/dados-mais-recentes/
Stenseth NC, Mysterud A, Ottersen G, Hurrell JW, Chan K, Lima M (2002) Ecological effects of climate fluctuations. Science 297:1292–1297
Stockwell DRB, Noble IR (1992) Induction of sets of rules from animal distribution data: a robust and informative method of data analysis. Math Comput Simul 33:385–390
Swenson NG (2014) Functional and phylogenetic ecology in R. Springer, New York
Tabarelli M, Pinto LP, Silva JMC, Hirota M, Bede L (2005) Challenges and opportunities for biodiversity conservation in the Brazilian Atlantic Forest. Conserv Biol 19:695–700
Taylor KE, Stouffer RJ, Meehl GA (2012) An overview of CMIP5 and the experiment design. Bull Am Meterol Soc 93:485–498
Thomas CD, Cameron A, Green RE, Bakkenes M, Beaumont LJ, Collingham YC, Erasmus BFN, Siqueira MF, Grainger A, Hannah L, Hughes L, Huntley B, van Jaarsveld AS, Midgley GF, Miles L, Ortega-Huerta MA, Townsend PA, Phillips OL, Williams SE (2004) Extinction risk from climate change. Nature 427:145–148. https://doi.org/10.1038/nature02121
Thomson AM, Calvin KV, Smith SJ, Kyle GP, Volke A, Patel P, Delgado-Arias S, Bond-Lamberty B, Wise MA, Clarke LE, Edmonds JA (2011) RSP4.5: a pathway for stabilization of radiative forcing by 2100. Clim Change 109:77. https://doi.org/10.1007/s10584-011-0151-4
Thuiller W, Lavorel S, Araújo MB, Sykes MT, Prentice IC (2005) Climate change threats to plant diversity in Europe. Proc Natl Acad Sci USA 102:8245–8250. https://doi.org/10.1073/pnas.0409902102
Thuiller W, Lavergne S, Roquet C, Boulangeat I, Araújo MB (2011) Consequences of climate change on the Tree of Life in Europe. Nature 448:550–552
Tilman D (2001) Functional diversity. In: Levin SA (ed) Encyclopedia of biodiversity. Academic Press, San Diego, pp 109–120
Toledo LF, Garey MV, Costa TRN, Lourenço-de-Moraes R, Hartmann MT, Haddad CFB (2012) Alternative reproductive modes of Atlantic forest frogs. Journal of Ethology 30(2):331–336
Trindade-Filho J, Carvalho RA, Brito D, Loyola RD (2012) How does the inclusion of Data Deficient species change conservation priorities for amphibians in the Atlantic Forest? Biodivers Conserv 21:2709–2718
Urban MC, Richardson JL, Freidenfelds NA (2014) Plasticity and genetic adaptation mediate amphibian and reptile responses to climate change. Evol Appl 7:88–103
Vaidya G, Lohman DJ, Meier R (2011) Sequence Matrix: concatenation software for the fast assembly of multi-gene datasets with character set and codon information. Cladistics 27:171–180
Varela S, Lima-Ribeiro MS, Terribile LC (2015) A short guide to the climatic variables of the last glacial maximum for biogeographers. PLoS ONE 10(6):e0129037. https://doi.org/10.1371/journal.pone.0129037
Visser ME (2008) Keeping up with a warming world: assessing the rate of adaptation to climate change. Proc R Soc Lond B 275:649–659
Wake DB, Vredenburg VT (2008) Are we in the midst of the sixth mass extinction? A view from the world of amphibians. Proc Natl Acad Sci USA 105:11466–11473. https://doi.org/10.1073/pnas.0801921105
Webb CO, Ackerly DD, Mcpeek MA, Donoghue MJ (2002) Phylogenies and community ecology. Ann Rev Ecol Syst 33:475–505
Weiher E, Keddy PA (1999) Ecological assembly rules—perspectives, advances, retreats. Cambridge University Press, Cambridge
Wells KD (2007) The ecology and behavior of amphibians. University of Chicago Press, Chicago
Acknowledgements
We thank Thiago F. Rangel for providing computational access to the platform Bioensembles. We are grateful to the Asociación Española de Ecología Terrestre (AEET) for the research award granted to conduct this research. We thank the Institut de Biologia Evolutiva (CSIC-UPF) for making the use of lab computers available. We thank the CNPq (140710/2013-2; 152303/2016-2) and the CAPES Foundation (99999.001180/2013-04) for the financial support in this work. We also thank the Technical and Scientific Committee of the Forest Institute of São Paulo (COTEC), Environmental Institute of Paraná (IAP), and the Chico Mendes Institute for the logistical support and sampling permits (ICMBio/SISBIO: 30344; 44755).
Author information
Authors and Affiliations
Corresponding author
Additional information
Communicated by Dirk Sven Schmeller.
Publisher's Note
Springer Nature remains neutral with regard to jurisdictional claims in published maps and institutional affiliations.
Electronic supplementary material
Below is the link to the electronic supplementary material.
Rights and permissions
About this article
Cite this article
Lourenço-de-Moraes, R., Campos, F.S., Ferreira, R.B. et al. Back to the future: conserving functional and phylogenetic diversity in amphibian-climate refuges. Biodivers Conserv 28, 1049–1073 (2019). https://doi.org/10.1007/s10531-019-01706-x
Received:
Revised:
Accepted:
Published:
Issue Date:
DOI: https://doi.org/10.1007/s10531-019-01706-x


