Abstract
Species arrival sequence in new habitats impacts plant community development. This ‘priority-effect’ is documented, but mechanisms by which early arriving plants dominate future communities are less clear, complicating our ability to predict community assembly under future climate warming and assess invasive species threats. This is particularly important for ecosystems that are vulnerable to invasive species, such as those of the Antarctic Peninsula. To test how phenological differences and arrival order affect community composition of invasive plants, we simulated maritime Antarctic climate conditions, and a warming scenario. We established monocultures of six species potentially invasive to the Antarctic Peninsula (three forbs and three grasses), which exhibit a range of germination times ranging from 22 and 68 d, and a mixed community of all species. Before entering a simulated winter, half of each monoculture (n = 10) received the full seed mixture while the other half received seeds of their respective starting species. During the following simulated growing season, we quantified if the community composition was influenced by arrival order and whether species germination and growth responses differed from their monocultures and starting species. Community compositions differed across all starting communities and were typically dominated by the starting species. Phenological differences influenced individual and total biomass and plant height, but faster germinating species did not consistently dominate the final plant community. Forbs and grasses negatively impacted each other’s biomass. Warming enhanced priority effects (more negative or positive). Phenological priority has ecologically relevant influences on community assembly, but its effect on plant growth is context dependent in terms of species and temperature conditions. In particular, our data suggest that phenological priority influences plant biomass and size while niche pre-emption affects seed germination. Future trajectories of polar terrestrial plant communities will depend on the arrival order of colonizing non-native plants and their germination rates.
Similar content being viewed by others
Avoid common mistakes on your manuscript.
Introduction
Climate change and human activities are promoting the spread of non-native species into cold biomes (Bennett et al. 2015; Hughes et al. 2020) with potentially large impacts on community composition (Pyšek et al. 2020). Species identity often plays a strong role in shaping community assembly, and the sequence of species arrival (priority) can play a key role in driving community composition (Gleason 1927; Drake 1991). To dominate a community, the first-arriving species needs to grow rapidly in order to consume available resources (niche-pre-emption) or modify the environment (niche-modification) in such a way that later-arriving species are disadvantaged (Drake 1991; Fukami 2015). For plants this requires a shorter germination time than their neighbours, which is a typical characteristic among invasive plants (Luis et al. 2008; Gioria et al. 2016; Gioria and Pyšek 2017; Alexander and Levine 2019; Hess et al. 2019). Communities developing in relatively stable environments with a large species pool are more likely to show priority effects, while highly disturbed environments with smaller species pools are likely to be more deterministic (Chase 2003). In this context, priority effects are unlikely to play a role in polar ecosystems with low native plant diversity, such as those of the Antarctic. However, some non-native species show strong germination and growth responses to warming under Antarctic climate conditions, with potential impacts on community assembly (Molina-Montenegro et al. 2016, 2019; Bokhorst et al. 2021). Species arrival order may therefore, play an important role for future Antarctic terrestrial ecosystems, and established species could determine successive community development. Given the observed and predicted warming rates along the Antarctic Peninsula (Turner et al. 2014; Siegert et al. 2019), and the increasing human activity in this region, the establishment threat of non-native species is high, with potential large impact on native communities through direct competition (Molina-Montenegro et al. 2019; Hughes et al. 2020). Although, every effort should be made to prevent non-native species establishment in polar regions, untangling underlying mechanisms and impacts will improve our fundamental understanding of polar ecosystems and can help with conservation strategies.
Established non-native plants on sub-Antarctic islands, and some locations along the Antarctic Peninsula, are expanding in range, due to climate change and are negatively impacting native plant communities (Frenot et al. 2005; Upson et al. 2017; Molina-Montenegro et al. 2019). Grasses (e.g., Poa annua and Agrostis capillaris) and forbs (e.g., Taraxcaum officinale and Plantago lanceolata) are prevalent invasive plant types in (sub-) Antarctic ecosystems (Frenot et al. 2005; Hughes et al. 2020), with large variation in germination timing and represent useful model species to untangle effects of arrival order, germination and climate warming on polar community assembly. During seedling emergence there is little room for direct competition for environmental resources as the seedling depends on the stored resources in the seed. Plants with larger seeds tend to germinate more slowly than those with smaller seeds (Grime et al. 1981), but environmental conditions, including temperature, moisture and light, also affect germination rate and subsequent plant growth (Thompson et al. 1977; Milberg et al. 2000; Rosbakh et al. 2019, 2022). Plants with small seeds and rapid germination may, therefore, dominate the final plant community, but their advantage may be overshadowed by stronger competitors or mediated by environmental variability (Pearson et al. 2002). Once seedlings have emerged they can overshadow later emerging neighbouring seedlings (Ross and Harper 1972), and start using limited soil nutrients and light at the expense of other plants (Hess et al. 2019). Seedling phenology of non-native plants may be part of the puzzle in understanding the future of temperature constrained Antarctic terrestrial ecosystems.
In this experimental study we address three questions: (1) does priority affect community assembly of polar ecosystems with strong abiotic constraints on plant growth? (2) does seedling phenology of non-native species affect community composition? (3) does climate warming affect priority and phenological priority effects? To address these questions, we grew plant communities under simulated Antarctic conditions in climate chambers. By establishing monocultures of six species (none of which are native to the maritime Antarctic; Table 1) with different seedling germination times during a full growing season, and then adding a seed mixture including all six species at the end of that season, we set out to disadvantage these ‘late-comers’ during the second growing season. We hypothesized that plant communities are affected by priority despite the temperature constraints on plant growth in cold polar environments. The resulting community composition should depend on the relative importance of niche pre-emption by the established species monocultures (through remaining plant parts) and the speed of germination of the late-comers. We hypothesize that species with a shorter germination time will be able to emerge earlier than new shoots of the ‘established’ species at the start of the second season and dominate the plant community by the end of that season. Warming will benefit rapidly germinating species most and dominate among the final plant communities.
Materials and methods
Overall set-up and species selection
To test if priority can play a role for non-native vascular plants under cold Antarctic conditions, we simulated mean growing season soil temperature and light conditions in temperature controlled climate chambers (see below for experimental conditions). For testing the priority effect, we allowed plants to establish for one growing season in monoculture, followed by adding seed mixtures at the end of summer (Table 1). This approach, across two simulated growing seasons (140 days each) allows testing of new arrivals against a background of established species and avoids artificial staggering of seed arrival within a growing season (e.g. Körner et al. 2008). The experimental design consisted of 5 replicate pots for each species combination and monocultures at both 2 °C and 7 °C (n = 130 plant communities in total). To achieve this, we established monocultures of six non-native plant species (n = 10, each with fifty seeds/species/pot—120 in total) and a full mixed community including all six (n = 5, each with 10 seeds per species—10 in total) during the first season. Seed numbers were chosen to ensure sufficient plant emergence and have equal seed density across experimental units. At the end of that season, half of each monoculture (n = 5) received the same species’ seeds again or a mixture of all six species (n = 5), while the full mixed communities also received all species again. All plant parts developed in the first growing season remained in each experimental pot, as litter or surviving plants, representing the effect of that monoculture on the later arrivals. After a simulated winter (6 months at − 5 ºC in darkness, also acting as cold stratification period), we compared community composition between communities initially started with different species and the full mixed community (n = 6 initial monocultures + 1 full mixed community), as well as how well individual plant species germinated and grew compared to their monoculture and across the different initial monocultures (Table 1).
To test for potential phenological priority effects we choose species with different germination times. The species included were the nitrogen-fixing forb Trifolium repens (22 ± 2 d germination time; all germination data are from Bokhorst et al. 2021), the forb Taraxacum officinale (26 ± 3 d), the grasses Holcus lanatus (28 ± 4 d), Deschampsia cespitosa (41 ± 5 d) and Agrostis capillaris (47 ± 7 d) and the forb Plantago lanceolata (68 ± 10 d). These species are commonly found growing together in grasslands and ruderal disturbed regions of the Netherlands (Weeda et al. 1994).
All seeds were collected in the Netherlands by the authors or bought from local vendors. Organic material collected beneath an Antarctic moss community was used as the growth substrate (2 cm depth), without any prior history of vascular plant presence (organic carbon content = 48.6%, N = 2.11%, p = 0.48%, pH = 4.1). The pots (5 cm diameter pvc tube with plastic bottom containing drainage holes) were watered twice a week up to an equivalent of 150 mm precipitation per growing season, ensuring that water was non-limiting and within the range of growing season precipitation of the maritime Antarctic region (Royles et al. 2012; Tang et al. 2018).
Antarctic climate simulation
Simulation of Antarctic soil surface microclimate conditions, representative of sites in the maritime Antarctic (Bokhorst et al. 2008; Convey et al. 2018), was achieved by setting the growth chamber at 2 ºC and modulating the diurnal light conditions (photosynthetically active radiation levels), creating realistic soil surface temperatures (mean of 6–7ºC) during the afternoon as measured in the field (Bokhorst et al. 2007, 2008, 2021). Diurnal light intensity patterns were adjusted every month to simulate the changing light conditions from October to March as measured on Anchorage Island close to the Antarctic Peninsula (~ 68°S). To quantify impacts of climate warming, a parallel climate chamber was run at 7 °C but all other conditions and numbers of treatments and replicates were kept the same. The 5 °C temperature increase reflects the Shared Socio-economic Pathway (SSP) 5–8.5 global climate warming scenario (Intergovernmental Panel on Climate 2023), which is appropriate given that the northern Antarctic Peninsula region already warmed by ~ 3 °C in the second half of the Twentieth Century and warming trends of ~ 0.5 °C/decade have been reported and are predicted for the remainder of the Twenty-first Century (Turner et al. 2014; Bracegirdle et al. 2019; Siegert et al. 2019). To avoid any effects of placement within each chamber, pot positions were randomly repositioned every week and moved between chambers, with chamber temperature adapted, every month to avoid any systematic ‘chamber effect’ throughout the experiment.
This experimental simulation of Antarctic soil surface conditions is limited with respect to aspects of field climate variability, which include abrupt changes in freezing and thawing during the growing season (Convey et al. 2018), and therefore, not representative for the whole of the Antarctic Peninsula. However, it does reflect the mean temperature and light conditions vascular plants experience at sheltered sites where the native Antarctic vascular flora persists. Similarly, winter temperature can be much lower than the simulated − 5 °C, and this experimental approach reflects microclimate conditions underneath sufficient layers of snow to insulate against freezing ambient air conditions. For the objective of this study, to test if priority can affect community assembly under chronically low temperatures (2 °C), mean soil field conditions of sheltered sites were used.
Biological response variables
To test if phenology (phenological priority) affects plant community, we quantified the time to germination of the first seedling for each species in each experimental pot, at the start of the second growing season. Emergence timing was correlated with plant production. At the end of the second growing season, all experimental pots were harvested and we measured for each species then present the plant maximum height, number of plants and total plant dry mass (after 48 h at 70 ºC). From this we calculated mean plant biomass. Grass seedlings could not be identified to species level and are considered as a unified grass response variable for pots where grasses were present at harvesting.
Data analyses
To quantify if final plant communities (based on biomass and number of plants per species) were affected by the starting communities we compared species composition using Bray–Curtis distance. To test if plant species germination time and growth (emerged plants, height and biomass) were affected by growing in mixture or monocultures, starting species identity of the mixed community (n = six species) and temperature (2 ºC and 7 ºC), we used a factorial ANOVA. In addition, to help identify which aspects of each species growth response was affected by priority and temperature, we used factorial ANOVA including starting species identity (mixture communities only n = 65 in total) and temperature for each species separately.
To test if phenological priority played a role for plant variables in each experimental pot, we quantified how frequently early emerging plants resulted in larger plant variable responses. For this, we calculated the scaled germination time (GTspecies:GTpot mean) for each species that germinated in each pot; expressed as early < 1 < late emergence. Then we compared the trends of scaled (y-ӯ)/SD plant variables (number of plants, plant height, individual biomass and total biomass) across scaled emergence timing within each experimental pot. Where y = the species response variable within an experimental pot, ӯ = mean across species within that experimental pot and SD = standard deviation across all species within that pot. A chi-square test was used to identify significant deviations in overall plant response between early and late emerging plants (H0: 50:50). For each mixed community that developed from one of the initial monocultures and the full mixed community, we used ANOVA to identify whether species (P. lanceolata, T. officinale, T. repens and grass) differed in their scaled responses to priority and temperature.
To quantify how species-specific plant variables (germination time, plant height and mean plant biomass) were affected by each of the six starting species in each community, we calculated standardized response variables using the formula (O-E)/E; where E is the plant species response in its monoculture and O is the observed plant response in a community initially of a different species or the full mixed community. These calculations were made separately for each temperature treatment. For the grass species we used an expected grass response based on the mean of the respective grass species monocultures. In addition, we calculated the log response ratio for germination timing and biomass production across temperature to identify species response patterns across the different mixed communities.
We used correlation (Pearson) to test for significant relationships between germination time and plant height, individual, total plant biomass and seed mass. In addition, we tested for any evidence of overcrowding or potential shading impacts (e.g., do plants have lower biomass when growing among taller plants or when they have more neighbours?) by correlating plant variables (total number of plants and tallest plants per experimental pot) with plant height, number of plants per species, and individual and total plant biomass. Based on the above tests there was no apparent effect of overcrowding or shading impacts on plant growth, and detailed information is therefore available in the supplementary information.
As species responses were mostly consistent among forbs and grasses respectively, we partly present data on group responses in the results and full detailed species responses are available in the supplementary information. All data were log- or square root-transformed to improve homogeneity of variances. All statistical analyses were performed using R (R-Core-Team 2023).
Results
Community composition response to priority and phenological priority
The initial monoculture identity significantly influenced final community composition at the end of the second summer season (Fig. 1, Tables 1, 2, Table S1). Grasses dominated in terms of biomass and numbers of plants in five out of the seven communities, excepting those initiated as monocultures of P. lanceolata and T. officinale. Plant size and number of plants did not contribute equally to total biomass for each initial monoculture or the mixed community (Fig. 1c). However, plant dominance in a community was not consistently associated with early emergence as expected. Overall, early germinating plants produced higher biomass (Figs. 2, S1, Table S2) and resulted in greater number of plants than those that germinated later (Fig. 3a,b), when correcting for within experimental plot variation. Grasses grew taller when emerging earlier than other species within experimental pots, but this phenological priority effect was suppressed for forbs when growing among communities initiated with grasses (Fig. 3c,d). Species biomass was higher for early emerging plants, but limited to intra-specific competition, as the phenological priority effect was suppressed when a species grew in a community initiated by a different species (Fig. S5,6). Larger within-pot differences in germination time between species were associated with higher total plant biomass in communities initiated with forbs at 2 ºC, but this pattern was absent among grasses (Fig. S7).
Temperature and priority effects on plant community composition within mixed communities. Bars show the mean total biomass (A) and number of plants (B) of grasses, Plantago lanceolata (P. lan), Taraxacum officinale (T. off) and Trifolium repens (T. rep) between mixed plant communities under simulated Antarctic conditions (2 °C) and a warming scenario (7 °C) at the end of the second simulated growing season. Each plant community was initiated with a specific monoculture (Agrostis capillaris, Deschampsia cespitosa, Holcus lanatus, P. lanceolata, T. officinale, or T. repens) or all species combined (mix) in the first growing season. At the end of the first growing season, just before a simulated winter, a seed mix was added. Each bar is the mean of n = 5 pots. Bars (species) with different capital letters have significantly (P < 0.05) different community composition based on Bray–Curtis dissimilarity analysis. *Indicate significant differences in numbers of plants between temperature. Error bars represent SE for the whole community. (C) Shifts in numbers of plants and plant size in response to warming (circle = 2 °C and triangle = 7 °C) across different initial communities; symbol size represents total plant biomass. Please note difference in panel legend
Phenological priority effect on individual plant biomass response. Panels show scaled plant biomass compared to early vs. late germination time between mixed communities initiated with different monocultures. a forb communities (Plantago lanceolata, Taraxacum officinale, Trifolium repens) b grass communities (Agrostis capillaris, Deschampsia cespitosa, Holcus lanatus), and c a complete mixture of all six species. Within-pot germination time was standardized by dividing the species time to germination by the mean germination time across all species within each pot. Negative trend lines represent early emerging plants with high biomass, while positive trend lines represent late emergence with high biomass (grey lines). Temperature is indicated by colour, line type and symbol size; 2 °C = blue, dotted and small, 7 °C = red, dashed and large. Line thickness reflects number of observations (Table S2). Negative trends: Forbs r = − 0.608, p < 0.001 (n = 69), Grass r = − 0.424, p < 0.001 (n = 62)
Phenological priority effect on plant production. Number of emerged plants (a, b) and plant height (c, d) depended on germination time. Within-pot germination time was standardized by dividing the species time to germination by the mean germination time across all species within each pot. Forb (Plantago lanceolata, Taraxacum officinale, Trifolium repens) and grass (Agrostis capillaris, Deschampsia cespitosa, Holcus lanatus) response variables when growing in communities initiated by different species (see legend panel a). Each data point represents a species response from an experimental pot. Circles and triangles represent temperature treatments (2 °C and 7 °C respectively). Dashed trend lines represent correlations: No. plants: forbs r = − 0.347, p < 0.001 (n = 137); grass r = − 0.340, p = 0.004 (n = 70); Plant height: forbs r = − 0.082, p = 0.338 (n = 137); grass r = − 0.369, p = 0.002 (n = 70). Dotted lines represent correlations among communities initially with forbs (blue) or grasses (green). Note that ‘n’ is higher than total number of experimental replicates (n = 70 mixed communities) because multiple species were obtained from individual experimental pots
Climate warming and priority
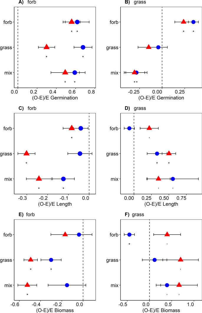
Temperature effects on final community composition were species-dependent for biomass and number of plants (Table 1). Warming nearly always resulted in earlier emergence of plants (Tables 3, 4) but this earlier growth start did not consistently result in greater biomass production (Fig. 4). Warming increased plant biomass 2.5 times among communities initially started by grasses and T. repens, but not for the other two forb species and full mixed community (Fig. 1). The number of germinated plants was reduced (38%) among the communities started with P. lanceolata, T. officinale and the full mixed community with warming, but this was not found for communities initially started with grasses. The number of germinated plants increased by 77% among communities started with T. repens under warming (Fig. 1).
Plant emergence and biomass response to warming. Data points represent the log response ratio of germination time and biomass with warming of the species as described in the panel heading. Circle colours indicate the initial starting community, while squares represent the species response to warming in monoculture. Data points left of the vertical dashed line reflect earlier emergence under warming, while values above the horizontal dashed line indicates higher biomass under warming
Forb plant biomass was suppressed in initial grass monocultures (25%), and this was effect was stronger (50%) with warming (Fig. 5), whereas grass plants weighed on average 45% less when grown in initial forb monocultures at 2 ºC, but weighed more (40%) at 7 ºC (Fig. 5). In the full mixed community, grasses were on average heavier than in their monoculture at both 2 ºC (39%) and 7 ºC (67%), while forbs performed worse. Forb height was reduced (11–20%) when growing among other species compared to their monocultures and warming enhanced this reduction when forbs grew among communities initially of grasses (Fig. 5). Grasses were on average 26% taller compared to their monocultures, except when growing among communities initially of forbs. A detailed description of all species-specific responses is given in the supplementary information.
Priority and warming effect on germination, plant height and biomass. Standardized (observed (O) versus expected (E)) mean plant variables for forbs and grasses across communities with different initial starting community (forb or grass species). A positive value indicates that plant response variables are larger (later germination A, B or taller plants C, D, greater biomass E, F) than found in monocultures at 2 ºC (blue circle) and 7 ºC (red triangle), while negative values indicate smaller responses compared to monocultures. *: p < 0.05 ‘,’: 0.05 < p < 0.1. Values are mean of n = 15 replicates (forb and grass) with SE as error bars, and n = 5 for mix
Discussion
Arriving early creates benefits, even under the cold growing conditions typical of maritime Antarctic terrestrial ecosystems. In this study, the initial species identity in our experimental communities strongly affected the performance of later arrivals and the ultimate community composition, which is in accordance with observed plant growth comparisons across succession gradients (Chapin et al. 1994), and studies where experimental seed sowing was staggered during the growing season (Milbau et al. 2003; Körner et al. 2008; Kardol et al. 2013; Sarneel et al. 2016). However, community composition differences between different initial starting monocultures in this study were not consistently affected by phenological priority or niche pre-emption, instead these differences depend on species life history characteristics related to germination success, plant growth and competition.
Phenological priority effects
Phenological priority effects appear to play out at different levels within plant communities. Higher biomass was associated with earlier germination within a community, while at the same time, a species biomass dependence on germination timing, consistent with monocultures (Ross and Harper 1972), was greatly inhibited by initial starting species. In a similar manner, the study species generally grew taller after rapid germination, with the exception that grasses outgrew forbs when the initial community consisted of grasses. Our data suggest that grasses may modify the soil conditions (niche pre-emption) in the first season of establishment in the experiment with the result that forbs germinating in the second season then perform badly. Plant litter of one species can suppress growth of other species by both mechanical obstruction and chemical leachates (Xiong and Nilsson 1999), as shown for grasses on forbs and vice versa (Bosy and Reader 1995; Olson and Wallander 2002). These results are partially inconsistent with those of Alexander and Levine (2019), who showed early germinating plants performed better than later germinating plants, indicating that plant identity also matters.
Although, total number of plants was associated with earlier germination across the whole data set, there were species dependent responses, indicating that not all species can increase their abundance dominance through phenological priority. There was no indication of any causal connection between the germination of one seed and subsequent seeds based on the total number of plants present, as has been reported in some studies of overcrowded plant communities (Bao et al. 2021). The limited responses detected in individual plant biomass in relation to germination timing indicates that plants were restricted in further growth by limiting factors (for rapid germinators) or could quickly reach maximum growth levels (after slow germination). The absence of this pattern in the mixed communities indicates that there was competition for resources. Such competition most likely takes place belowground, mediated by the microbial community or through allelopathic effects (Corbin and D'Antonio 2012), as there was no indication that overcrowding affected the number of plants, their size or biomass as shown for intra-specific competition (Ross and Harper 1972).
Phenological priority effects on community composition may also be expressed through variation in emergence time within a community. Species germination timing differences may result in lower immediate (temporal separation) competition for resources (Schwinning and Kelly 2013; Hood et al. 2021). Within our experimental study, this pattern was present among communities initiated with forbs at 2 ºC (Fig. S7). However, it was not observed among the full-mixed community where there was no initial species dominance, indicating that the influence of phenological priority was present only among the forbs. Grasses appear to be stronger competitors and created more biomass, at individual and total species level (despite 30% lower mean individual plant biomass than forbs; Table S4), irrespective of their relative germination timing within experimental pots, indicating that phenological priority effects are species dependent.
Effect of warming
Warming resulted in more rapid germination, larger plants and higher biomass, as predicted (Milbau et al. 2009; Bokhorst et al. 2021), but not consistently across the different initial community-forming species. Based on our previous study, we anticipated that H. lanatus, T. officinale and T. repens would germinate more rapidly, and benefit more from warming, than D. cespitosa, A. capillaris and P. lanceolata (Bokhorst et al. 2021). However, grasses benefitted most from warming in terms of growth, but not consistently across all communities, indicating that other mechanisms were involved. The strongest biomass responses to warming were seen in communities initiated with D. cespitosa and T. repens, primarily driven by taller plant growth and larger numbers of germinated seeds, and in part driven by earlier germination. A similar pattern was observed for communities initiated with A. capillaris and H. lanatus, but only in terms of taller plants. In contrast, fewer but heavier plants developed under the warming treatment in communities initiated with T. officinale, P. lanceolata and the full mixed community, resulting in no net change in total biomass. By suppressing grass emergence, the forb communities limited plant biomass accumulation under warming. This effect was also present in the full mixed community, indicating that a small number of forb plants were capable of suppressing grass performance (Xiong and Nilsson 1999). Likewise, forbs were hampered in growing taller with warming when the community was initiated with grasses. Warming alleviated some of the negative impact of forbs on the biomass of individual grass plants, resulting in higher mean grass biomass, except when growing among P. lanceolata, a species which is known to be a strong light competitor with grasses (van der Toorn and Pons 1988), but did not affect total community biomass. Context-dependent competition is a common phenomenon between forbs and grasses (Akin-Fajiye et al. 2023), making it difficult to predict how communities will develop under future warming scenarios.
Grasses have to date been the most successful invasive plant species across sub-Antarctic islands and along the Antarctic Peninsula (Frenot et al. 2005; Molina-Montenegro et al. 2019; Hughes et al. 2020), and based on our findings, will influence the community assembly by limiting forb growth. How this will play out among the moss- and-lichen dominated communities found in Antarctica remains to be seen, but given the competitive effects of vascular plants on cryptogams in Arctic ecosystems (Cornelissen et al. 2001), it seems likely that large changes can be expected at the expense of the native vegetation. Native vascular plants, D. antarctica and C. quitensis, were not included in this work, but will receive direct competition from non-native vascular plants when they establish. The dense clusters of D. antarctica found at some locations along the Antarctic Peninsula (Vera et al. 2013), may hamper the growth of non-native forbs, but competition is likely when other grasses arrive. There is experimental evidence for negative impacts by the non-native grass Poa annua on Antarctic vascular plant growth (Cavieres et al. 2018; Molina-Montenegro et al. 2019), but effects are context dependent, as also found in the current work. The species identity of non-native forbs or grasses is likely to be an important driver of the future community composition that develops, and ecosystem process rates, under current and future climate warming scenarios in Antarctica.
There was no indication that seed mass affected the germination timing or plant growth of the tested species as anticipated (Grime et al. 1981). This may reflect the low temperature of the experimental conditions used here (Thompson et al. 1977; Milberg et al. 2000; Rosbakh et al. 2022). This study confirms that both niche pre-emption and phenological priority influence plant development through species life history characteristics resulting in the development of contrasting communities. In particular, our data indicate that phenological priority has significant influence on plant biomass while niche pre-emption affects plant germination and plant size. The relative role of these factors in shaping community assembly is however context- and species-dependent, highlighting the complexity of the mechanisms behind priority effects on communities.
Data availability
Will be made available via npdc.nl.
References
Akin-Fajiye M, Ploughe LW, Greenall A, Fraser LH (2023) Winner and losers: examining biotic interactions in forbs and grasses in response to changes in water and temperature in a semi-arid grassland. AoB Plants 15(3):plad017
Alexander J, Levine J (2019) Earlier phenology of a nonnative plant increases impacts on native competitors. Proc Natl Acad Sci 116:201820569
Bao F, Rossatto DR, Pott A, Elsey-Quirk T, DeAssis MA, Arruda R, Ramos DM (2021) Do neighbours matter? The effect of single-and mixed-species sowing density on seed germination of annual wetland plants. Appl Veg Sci 24(3):12602
Bennett JR, Shaw JD, Terauds A, Smol JP, Aerts R, Bergstrom DM, Blais JM, Cheung WWL, Chown SL, Lea MA, Nielsen UN, Pauly D, Reimer KJ, Riddle MJ, Snape I, Stark JS, Tulloch VJ, Possingham HP (2015) Polar lessons learned: long-term management based on shared threats in Arctic and Antarctic environments. Front Ecol Environ 13:316–324
Bokhorst S, Convey P, Casanova-Katny A, Aerts R (2021) Warming impacts potential germination of non-native plants on the Antarctic Peninsula. Commun Biol 4:403
Bokhorst S, Huiskes A, Convey P, Aerts R (2007) The effect of environmental change on vascular plant and cryptogam communities from the Falkland Islands and the Maritime Antarctic. BMC Ecol 7:15
Bokhorst S, Huiskes AHL, Convey P, P. M. v. Bodegom and R. Aerts, (2008) Climate change effects on soil arthropod communities from the Falkland Islands and the Maritime Antarctic. Soil Biol Biochem 40:1547–1556
Bosy JL, Reader RJ (1995) Mechanisms underlying the suppression of forb seedling emergence by grass (Poa pratensis) litter. Funct Ecol 9:635–639
Bracegirdle TJ, Colleoni F, Abram NJ, Bertler NAN, Dixon DA, England M, Favier V, Fogwill CJ, Fyfe JC, Goodwin I, Goosse H, Hobbs W, Jones JM, Keller ED, Khan AL, Phipps SJ, Raphael MN, Russell J, Sime L, Thomas ER, van den Broeke MR, Wainer I (2019) Back to the future: using long-term observational and paleo-proxy reconstructions to improve model projections of Antarctic climate. Geosciences 9:255
Cavieres LA, Sanhueza AK, Torres-Mellado G, Casanova-Katny A (2018) Competition between native Antarctic vascular plants and invasive Poa annua changes with temperature and soil nitrogen availability. Biol Invasions 20:1597–1610
Chapin FS, Walker LR, Fastie CL, Sharman LC (1994) Mechanisms of primary succession following deglaciation at Glacier Bay, Alaska. Ecol Monogr 64:149–175
Chase JM (2003) Community assembly: when should history matter? Oecologia 136:489–498
Convey P, Coulson SJ, Worland MR, Sjöblom A (2018) The importance of understanding annual and shorter-term temperature patterns and variation in the surface levels of polar soils for terrestrial biota. Polar Biol 41:1587–1605
Corbin J, D’Antonio C (2012) Gone but not forgotten? Invasive plants’ legacies on community and ecosystem properties. Invasive Plant Sci Manag 5:117–124
Cornelissen JHC, Callaghan TV, Alatalo JM, Michelsen A, Graglia E, Hartley AE, Hik DS, Hobbie SE, Press MC, Robinson CH, Henry GHR, Shaver GR, Phoenix GK, Jones DG, Jonasson S, Chapin FS, Molau U, Neill C, Lee JA, Melillo JM, Sveinbjornsson B, Aerts R (2001) Global change and arctic ecosystems: is lichen decline a function of increases in vascular plant biomass? J Ecol 89:984–994
Drake JA (1991) Community-assembly mechanics and the structure of an experimental species ensemble. Am Nat 137:1–26
Frenot Y, Chown SL, Whinam J, Selkirk PM, Convey P, Skotnicki M, Bergstrom DM (2005) Biological invasions in the Antarctic: extent, impacts and implications. Biol Rev 80:45–72
Fukami T (2015) Historical contingency in community assembly: Integrating niches, species pools, and priority effects. Annu Rev Ecol Evol Syst 46:1–23
Gioria M, Pyšek P (2017) Early bird catches the worm: germination as a critical step in plant invasion. Biol Invasions 19:1055–1080
Gioria M, Pyšek P, Osborne BA (2016) Timing is everything: does early and late germination favor invasions by herbaceous alien plants? J Plant Ecol 11:4–16
Gleason HA (1927) Further views on the succession-cclemoncept. Ecology 8:299–326
Grime JP, Mason G, Curtis AV, Rodman J, Band SR, Mowforth MAG, Neal AM, Shaw S (1981) A comparative study of germination characteristics in a local flora. J Ecol 69:1017–1059
Hess MCM, Mesléard F, Buisson E (2019) Priority effects: Emerging principles for invasive plant species management. Ecol Eng 127:48–57
Hood GR, Blankinship D, Doellman MM, Feder JL (2021) Temporal resource partitioning mitigates interspecific competition and promotes coexistence among insect parasites. Biol Rev 96:1969–1988
Hughes KA, Pescott OL, Peyton J, Adriaens T, Cottier-Cook EJ, Key G, Rabitsch W, Tricarico E, Barnes DKA, Baxter N, Belchier M, Blake D, Convey P, Dawson W, Frohlich D, Gardiner LM, González-Moreno P, James R, Malumphy C, Martin S, Martinou AF, Minchin D, Monaco A, Moore N, Morley SA, Ross K, Shanklin J, Turvey K, Vaughan D, Vaux AGC, Werenkraut V, Winfield IJ, Roy HE (2020) Invasive non-native species likely to threaten biodiversity and ecosystems in the Antarctic Peninsula region. Glob Change Biol 26:2702–2716
Intergovernmental Panel on Climate, C (2023) Climate Change 2021 – the physical science basis: working group I Contribution to the sixth assessment report of the intergovernmental panel on climate change. Cambridge University Press, Cambridge
Kardol P, Souza L, Classen AT (2013) Resource availability mediates the importance of priority effects in plant community assembly and ecosystem function. Oikos 122:84–94
Körner C, Stöcklin J, Reuther-Thiébaud L, Pelaez-Riedl S (2008) Small differences in arrival time influence composition and productivity of plant communities. New Phytol 177:698–705
Luis MD, Verdú M, Raventós J (2008) Early to rise makes a plant healthy, wealthy, and wise. Ecology 89:3061–3071
Milbau A, Graae BJ, Shevtsova A, Nijs I (2009) Effects of a warmer climate on seed germination in the subarctic. Ann Bot 104:287–296
Milbau A, Nijs I, Van Peer L, Reheul D, De Cauwer B (2003) Disentangling invasiveness and invasibility during invasion in synthesized grassland communities. New Phytol 159:657–667
Milberg P, Andersson L, Thompson K (2000) Large-seeded species are less dependent on light for germination than small-seeded. Seed Sci Res 10:99–104
Molina-Montenegro MA, Bergstrom DM, Chwedorzewska KJ, Convey P, Chown SL (2019) Increasing impacts by Antarctica's most widespread invasive plant species as result of direct competition with native vascular plants. Neobiota: 19–40
Molina-Montenegro MA, Galleguillos C, Oses R, Acuña-Rodríguez IS, Lavín P, Gallardo-Cerda J, Torres-Díaz C, Diez B, Pizarro GE, Atala C (2016) Adaptive phenotypic plasticity and competitive ability deployed under a climate change scenario may promote the invasion of Poa annua in Antarctica. Biol Invasions 18:603–618
Olson BE, Wallander RT (2002) Effects of invasive forb litter on seed germination, seedling growth and survival. Basic Appl Ecol 3:309–317
Pearson TRH, Burslem DFRP, Mullins CE, Dalling JW (2002) Germination ecology of neotropical pioneers: Interacting effects of environmental conditions and seed size. Ecology 83:2798–2807
Pyšek P, Hulme PE, Simberloff D, Bacher S, Blackburn TM, Carlton JT, Dawson W, Essl F, Foxcroft LC, Genovesi P, Jeschke JM, Kühn I, Liebhold AM, Mandrak NE, Meyerson LA, Pauchard A, Pergl J, Roy HE, Seebens H, van Kleunen M, Vilà M, Wingfield MJ, Richardson DM (2020) Scientists’ warning on invasive alien species. Biol Rev 95:1511–1534
R-Core-Team (2023) R: A language and environment for statistical computing. R Foundation for Statistical Computing, Vienna
Rosbakh S, Chalmandrier L, Phartyal S, Poschlod P (2022) Inferring community assembly processes from functional seed trait variation along elevation gradient. J Ecol 110:2374–2387
Rosbakh S, Phartyal SS, Poschlod P (2019) Seed germination traits shape community assembly along a hydroperiod gradient. Ann Bot 125:67–78
Ross MA, Harper JL (1972) Occupation of biological space during seedling establishment. J Ecol 60:77–88
Royles J, Ogée J, Wingate L, Hodgson DA, Convey P, Griffiths H (2012) Carbon isotope evidence for recent climate-related enhancement of CO2 assimilation and peat accumulation rates in Antarctica. Glob Change Biol 18:3112–3124
Sarneel JM, Kardol P, Nilsson C (2016) The importance of priority effects for riparian plant community dynamics. J Veg Sci 27:658–667
Schwinning S, Kelly CK (2013) Plant competition, temporal niches and implications for productivity and adaptability to climate change in water-limited environments. Funct Ecol 27:886–897
Siegert M, Atkinson A, Banwell A, Brandon M, Convey P, Davies B, Downie R, Edwards T, Hubbard B, Marshall G, Rogelj J, Rumble J, Stroeve J, Vaughan D (2019) The antarctic peninsula under a 15°C global warming scenario. Front Environ Sci 7:102
Tang MSY, Chenoli SN, Colwell S, Grant R, Simms M, Law J, Abu Samah A (2018) Precipitation instruments at Rothera Station, Antarctic Peninsula: a comparative study. Polar Res 37:1503906
Thompson K, Grime JP, Mason G (1977) Seed germination in response to diurnal fluctuations of temperature. Nature 267:147–149
Turner J, Barrand NE, Bracegirdle TJ, Convey P, Hodgson DA, Jarvis M, Jenkins A, Marshall G, Meredith MP, Roscoe H, Shanklin J, French J, Goosse H, Guglielmin M, Gutt J, Jacobs S, Kennicutt MC, Masson-Delmotte V, Mayewski P, Navarro F, Robinson S, Scambos T, Sparrow M, Summerhayes C, Speer K, Klepikov A (2014) Antarctic climate change and the environment: an update. Polar Rec 50:237–259
Upson R, Myer B, Floyd K, Lee J, Clubbe CP (2017) Field guide to the introduced flora of South Georgia. Kew, Royal Botanical Gardens, Kew
van der Toorn J, Pons TL (1988) Establishment of Plantago lanceolata L. and Plantago major L. among grass. II. Shade tolerance of seedlings and selection on time of germination. Oecologia 76:341–347
Vera ML, Fernández-Teruel T, Quesada A (2013) Distribution and reproductive capacity of Deschampsia antarctica and Colobanthus quitensis on Byers Peninsula, Livingston Island, South Shetland Islands, Antarctica. Antarct Sci 25:292–302
Weeda EJ, Westra R, Westra C, Westra T (1994). Nederlandse oecologische flora. Wilde planten en hun relaties 5. Amsterdam
Xiong SJ, Nilsson C (1999) The effects of plant litter on vegetation: a meta-analysis. J Ecol 87:984–994
Acknowledgements
This study would not have been possible without the logistical support of the British Antarctic Survey. This study was funded by the Netherlands Polar Programme (ALWPP2016.006). PC is supported by core funding from the Natural Environment Research Council to the British Antarctic Survey’s ‘Biodiversity, Evolution, and Adaptation’ team. This study is a contribution to the Integrated Science to Inform Antarctic and Southern Ocean Conservation (Ant-ICON) Scientific Research Programme of the Scientific Committee on Antarctic Research (SCAR). We thank the reviewers and editor for constructive advice on a previous version of this work.
Author information
Authors and Affiliations
Contributions
Study conception and design: SB; data collection: SB; data analysis and draft manuscript preparation: SB; manuscript review and interpretation of results: all authors.
Corresponding author
Ethics declarations
Conflict of interest
The authors declare that there is no conflict of interest.
Additional information
Publisher's Note
Springer Nature remains neutral with regard to jurisdictional claims in published maps and institutional affiliations.
Supplementary Information
Below is the link to the electronic supplementary material.
Rights and permissions
Open Access This article is licensed under a Creative Commons Attribution 4.0 International License, which permits use, sharing, adaptation, distribution and reproduction in any medium or format, as long as you give appropriate credit to the original author(s) and the source, provide a link to the Creative Commons licence, and indicate if changes were made. The images or other third party material in this article are included in the article's Creative Commons licence, unless indicated otherwise in a credit line to the material. If material is not included in the article's Creative Commons licence and your intended use is not permitted by statutory regulation or exceeds the permitted use, you will need to obtain permission directly from the copyright holder. To view a copy of this licence, visit http://creativecommons.org/licenses/by/4.0/.
About this article
Cite this article
Bokhorst, S., Convey, P. & Aerts, R. Community assembly among potential invasive plants in Antarctica shaped by life history characteristics and climate warming. Biol Invasions 26, 4149–4163 (2024). https://doi.org/10.1007/s10530-024-03434-y
Received:
Accepted:
Published:
Issue Date:
DOI: https://doi.org/10.1007/s10530-024-03434-y







