Abstract
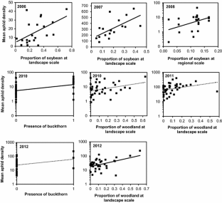
Very little is known about how spatial effects influence invasive species throughout the invasion sequence. We propose here two mechanisms to explain the changes in spatial effects throughout the stages of invasion, using the soybean aphid (Aphis glycines) as a model. First, the “hierarchical spatial effect” hypothesis, based on a change in the relative importance of the spatial scales throughout the invasion process, with main effect at broad scale during the first years of invasion, and main effect at local scale during the subsequent years. Second, the “host-switching spatial effect” hypothesis, stating that the spatial effect is driven by a switch in the effect of the host/habitat throughout the invasion process, from effect of main summer host/habitat during the first years of invasion to effect of overwintering host/habitat during the subsequent years. Data from governmental archives and field samplings enabled to investigate the spatial effects on aphid density at three scales (regional, landscape, local) during a 7 year period (2006–2012). Our results demonstrate that the hierarchical spatial effect hypothesis is not an adequate model for the soybean aphid, aphid density being more affected by landscape-scale factors irrespective of years. In contrast, our results are in accordance with the host-switching spatial hypothesis, with positive effect of the main summer host/habitat (soybean) during the first steps of invasion (2006–2008), followed by a positive effect of overwintering habitats (buckthorn, woodland) during the subsequent years (2010–2012). Overall, investigating these hypotheses in other systems would determine whether the same tendency is observed for other invasive species.




Similar content being viewed by others

Explore related subjects
Discover the latest articles and news from researchers in related subjects, suggested using machine learning.References
Alleman RJ, Grau CR, Hogg DB (2002) Soybean aphid host range and virus transmission efficiency. In: Cooperative Extension (ed) Wisconsin fertilizer, aglime, and pest management conference. Madison, Wisconsin, USA
Altieri AH, van Wesenbeeck BK, Bertness MD, Silliman BR (2010) Facilitation cascade drives positive relationship between native biodiversity and invasion success. Ecology 91:1269–1275
Andow DA, Kareiva PM, Levin SA, Okubo A (1990) Spread of invading organisms. Landsc Ecol 4:177–188
Bahlai CA, Welsman JA, Schaafsma AW, Sears MK (2007) Development of soybean aphid (Homoptera: Aphididae) on its primary overwintering host, Rhamnus cathartica. Environ Entomol 36:998–1006
Bahlai CA, Sikkema S, Hallett RH, Newman J, Schaafsma AW (2010) Modeling distribution and abundance of soybean aphid in soybean fields using measurements from the surrounding landscape. Environ Entomol 39:50–56
Bahlai CA, vander Werf W, O’Neal M, Hemerik L, Landis DA (2015) Shifts in dynamic regime of an invasive lady beetle are linked to the invasion and insecticidal management of its prey. Ecol Appl 25:1807–1818
Barnagaud JY, Barbaro L, Papaïx J, Deconchat M, Brockerhoff EG (2014) Habitat filtering by landscape and local forest composition in native and exotic New Zealand birds. Ecology 95:78–87
Bastien D, Cormier C (2012) Les Montérégiennes: éléments du patrimoine du Québec. Diagnostic et identification des enjeux relatifs à la protection et à la mise en valeur des collines montérégiennes. In: Conférence régionale des élus de la Montérégie Est, McMasterville, Quebec, Canada, p 100
Blanchet FG, Legendre P, Borcard D (2008) Forward selection of explanatory variables. Ecology 89:2623–2632
Borcard D, Legendre P, Drapeau P (1992) Partialling out the spatial component of ecological variation. Ecology 73:1045–1055
Borcard D, Gillet F, Legendre P (2011) Numerical ecology with R. Springer, New York
Bottenberg H, Irwin ME (1992) Canopy structure in soybean monocultures and soybean-sorghum mixtures: impact on aphid (Homoptera: Aphididae) landing rates. Environ Entomol 21:542–548
Breault J, Duval B, Labrie G, Meloche F, Parent C, Rondeau A (2014) Stratégie d’intervention recommandée au Québec contre le puceron du soya. Réseau d’avertissements phytosanitaires—Bulletin d’information—Grandes cultures n° 23—4 juillet 2014
Brodeur J, Roy M, Mignault MP (2003) Réseau de surveillance du puceron du soya. Programme agroenvironnemental de soutien à la Stratégie phytosanitaire du Plan d’action Saint-Laurent Vision 2000. Quebec, Canada, p 44
Chang AL, Blakeslee AMH, Miller AW, Ruiz GM (2011) Establishment failure in biological invasions: a case history of Littorina littorea in California, USA. PLoS ONE 6:e16035
Crawley MJ (2007) Regression. In: Crawley MJ (ed) The R book. Wiley, West Sussex, pp 387–448
Crespo-Pérez V, Rebaudo F, Silvain J-F, Dangles O (2011) Modeling invasive species spread in complex landscapes: the case of potato moth in Ecuador. Landsc Ecol 26:1447–1461
Crooks JA (2005) Lag times and exotic species: the ecology and management of biological invasions in slow-motion. Écoscience 12:316–329
Crossley MS, Hogg DB (2015) Potential overwintering locations of soybean aphid (Hemiptera: Aphididae) colonizing soybean in Ohio and Wisconsin. Environ Entomol 44:210–222
Decker KL, Allen CR, Acosta L, Hellman ML, Jorgensen CF, Stutzman RJ, Unstad KM, Williams A, Yans M (2012) Land use, landscapes, and biological invasions. Invasive Plant Sci Manag 5:108–116
Despland E, Rosenberg J, Simpson SJ (2004) Landscape structure and locust swarming: a satellite’s eye view. Ecography 27:381–391
Dray S, Legendre P, Blanchet G (2011) packfor: forward selection with permutation (Canoco p. 46). R package version 0.0-8/r99
ESRI (2005) ArcGIS desktop version 9.3. Environmental Systems Research Institute, Redlands (CA), USA
Ferrari JR, Preisser EL, Fitzpatrick MC (2014) Modeling the spread of invasive species using dynamic network models. Biol Invasions 16:949–960
Fridley JD, Stachowicz JJ, Naeem S, Sax DF, Seabloom EW, Smith MD, Stohlgren TJ, Tilman D, Holle BV (2007) The invasion paradox: reconciling pattern and process in species invasions. Ecology 88:3–17
Gallardo B (2014) Europes top 10 invasive species: relative importance of climatic, habitat and socio-economic factors. Ethol Ecol Evol 26:130–151
Gardiner MM, Landis DA, Gratton C, DiFonzo CD, O’Neal ME, Chacon JM, Wayo MT, Schmidt NP, Mueller EE, Heimpel GE (2009) Landscape diversity enhances biological control of an introduced crop pest in the north-central USA. Ecol Appl 19:143–154
Gavloski J (2002) Insect pests in Manitoba in 2002 and outlook for 2003. In: 3rd Annual Manitoba agronomists conference. University of Manitoba, Winnipeg, MB, Canada pp 102–104
Grez AA, Rand TA, Zaviezo T, Castillo-Serey F (2013) Land use intensification differentially benefits alien over native predators in agricultural landscape mosaics. Divers Distrib 19:749–759
Havel JE, Medley KA (2006) Biological invasions across spatial scales: intercontinental, regional, and local dispersal of cladoceran zooplankton. Biol Invasions 8:459–473
Heimpel GE, Frelich LE, Landis DA, Hopper KR, Hoelmer KA, Sezen Z, Asplen MK, Wu K (2010) European buckthorn and Asian soybean aphid as components of an extensive invasional meltdown in North America. Biol Invasions 12:2913–2931
Hoebeke ER, Carter ME (2003) Halyomorpha halys (Stål) (Heteroptera: Pentatomidae): a polyphagous plant pest from Asia newly detected in North America. Proc Entomol Soc Wash 105:225–237
Hogg BN, Daane KM (2013) Contrasting landscape effects on species diversity and invasion success within a predator community. Divers Distrib 19:281–293
Hunt D, Foottit R, Gagnier D, Baute T (2003) First Canadian records of Aphis glycines (Hemiptera: Aphididae). Can Entomol 135:879–881
IRIIS Phytoprotection (2016) Fiche technique—Ver-gris occidental des haricots. http://www.iriisphytoprotection.qc.ca/Prive/Recherche/FicheInsecte2.aspx?ID=7486&PageNum=81
Johnson VS, Litvaitis JA, Lee TD, Frey SD (2006) The role of spatial and temporal scale in colonization and spread of invasive shrubs in early successional habitats. For Ecol Manag 228:124–134
Kelly R, Leach K, Cameron A, Maggs CA, Reid N (2014) Combining global climate and regional landscape models to improve prediction of invasion risk. Divers Distrib 20:884–894
Kennedy JS, Booth CO, Kershaw WJS (1961) Host finding by aphids in the field. Ann Appl Biol 49:1–21
Kumar S, Neven LG, Yee WL (2014) Evaluating correlative and mechanistic niche models for assessing the risk of pest establishment. Ecosphere 5:1–23
Kurylo JS, Knight KS, Stewart JR, Endress AG (2007) Rhamnus cathartica: native and naturalized distribution and habitat preferences. J Torrey Bot Soc 134:420–430
Labrie G, Voynaud L (2013) Guide des ravageurs de sol en grandes cultures. Centre de recherche sur les grains inc. (CÉROM), St-Mathieu-de-Beloeil, p 78
Lavandero B, Miranda M, Ramírez CC, Fuentes-Contreras E (2009) Landscape composition modulates population genetic structure of Eriosoma lanigerum (Hausmann) on Malus domestica Borkh in central Chile. Bull Entomol Res 99:97–105
Legendre P, Legendre L (1998) Numerical ecology. Elsevier, Amsterdam
Leskey TC, Hamilton GC, Nielsen AL, Polk DF, Rodriguez-Saona C, Bergh JC, Herbert DA, Kuhar TP, Pfeiffer D, Dively GP, Hooks CRR, Raupp MJ, Shrewsbury PM, Krawczyk G, Shearer PW, Whalen J, Koplinka-Loehr C, Myers E, Inkley D, Hoelmer KA, Lee D-H, Wright SE (2012) Pest status of the brown marmorated stink bug, Halyomorpha halys in the USA. Outlooks Pest Manag 23:218–226
Loxdale HD, Hardie JIM, Halbert S, Foottit R, Kidd NAC, Carter CI (1993) The relative importance of short and long range movement of flying aphids. Biol Rev 68:291–311
Mack RN, Simberloff D, Mark Lonsdale W, Evans H, Clout M, Bazzaz FA (2000) Biotic invasions: causes, epidemiology, global consequences, and control. Ecol Appl 10:689–710
Maisonhaute J-É, Peres-Neto P, Lucas É (2010) Influence of agronomic practices, local environment and landscape structure on predatory beetle assemblage. Agric Ecosyst Environ 139:500–507
Maisonhaute J-É, Labrie G, Lucas E (2016) Population dynamics of the soybean aphid (Hemiptera: Aphididae) in Quebec (Canada). J Econ Entomol 109:1465–1468
Maisonhaute J-É, Labrie G, Lucas E (2017) Direct and indirect effects of the spatial context on the natural biocontrol of an invasive crop pest. Biol Control 106:64–76
Martel H, Marcoux J (2005) Stratégie d’intervention contre le puceron du soya en 2005 (Complément du bulletin d’information n°06 du 29 juin 2005). Bulletin d’information—Grandes cultures n°8—29 juillet 2005
Martinson HM, Venugopal PD, Bergmann EJ, Shrewsbury PM, Raupp MJ (2015) Fruit availability influences the seasonal abundance of invasive stink bugs in ornamental tree nurseries. J Pest Sci 88:461–468
Marvier M, Kareiva P, Neubert MG (2004) Habitat destruction, fragmentation, and disturbance promote invasion by habitat generalists in a multispecies metapopulation. Risk Anal 24:869–878
Matthews JW, Peralta AL, Soni A, Baldwin P, Kent AD, Endress AG (2009) Local and landscape correlates of non-native species invasion in restored wetlands. Ecography 32:1031–1039
Menke SB, Fisher RN, Jetz W, Holway DA (2007) Biotic and abiotic controls of Argentine ant invasion success at local and landscape scales. Ecology 88:3164–3173
Michel AP, Zhang W, Jung JK, Kang ST, Mian MAR (2009) Population genetic structure of Aphis glycines. Environ Entomol 38:1301–1311
Ministère de l’Agriculture des Pêcheries et de l’Alimentation du Québec (2006) Profil bioalimentaire de la Montérégie, édition 2006, p 102
Muller-Landau HC, Levin SA, Keymer JE (2003) Theoretical perspectives on evolution of long-distance dispersal and the example of specialized pests. Ecology 84:1957–1967
Nesslage GM, Maurer BA, Gage SH (2007) Gypsy moth response to landscape structure differs from neutral model predictions: implications for invasion monitoring. Biol Invasions 9:585–595
Noma T, Gratton C, Colunga-Garcia M, Brewer MJ, Mueller EE, Wyckhuys KAG, Heimpel GE, O’Neal ME (2010) Relationship of soybean aphid (Hemiptera: Aphididae) to soybean plant nutrients, landscape structure, and natural enemies. Environ Entomol 39:31–41
Oksanen J, Blanchet FG, Kindt R, Legendre P, Minchin PR, O’Hara RB, Simpson GL, Solymos P, Stevens MHH, Wagner H (2012) varpart. Partition the variation of community matrix by 2, 3, or 4 explanatory matrices. In: Package ‘vegan’. Community ecology package, version 2.0-3 edn. R package, pp 227–231
Östman Ö, Ekbom B, Bengtsson J (2001) Landscape heterogeneity and farming practice influence biological control. Basic Appl Ecol 2:365–371
Peres-Neto PR, Legendre P, Dray S, Borcard D (2006) Variation partitioning of species data matrices: estimation and comparison of fractions. Ecology 87:2614–2625
Peterson AT, Vieglais DA (2001) Predicting species invasions using ecological niche modeling: new approaches from bioinformatics attack a pressing problem. Bioscience 51:363–371
Peterson AC, Richgels KLD, Johnson PTJ, McKenzie VJ (2013) Investigating the dispersal routes used by an invasive amphibian, Lithobates catesbeianus, in human-dominated landscapes. Biol Invasions 15:2179–2191
Pitt JPW, Worner SP, Suarez AV (2009) Predicting Argentine ant spread over the heterogeneous landscape using a spatially explicit stochastic model. Ecol Appl 19:1176–1186
Pollnac F, Seipel T, Repath C, Rew L (2012) Plant invasion at landscape and local scales along roadways in the mountainous region of the Greater Yellowstone Ecosystem. Biol Invasions 14:1753–1763
Prasad AM, Iverson LR, Peters MP, Bossenbroek JM, Matthews SN, Sydnor TD, Schwartz MW (2010) Modeling the invasive emerald ash borer risk of spread using a spatially explicit cellular model. Landsc Ecol 25:353–369
R Development Core Team (2013) R: a language and environment for statistical computing. R Development Core Team, Vienna
Ragsdale DW, Voegtlin DJ, O’Neil RJ (2004) Soybean aphid biology in North America. Ann Entomol Soc Am 97:204–208
Rand TA, Russell FL, Louda SM (2004) Local vs. landscape-scale indirect effects of an invasive weed on native plants. Weed Technol 18:1250–1254
Real R, Márquez AL, Estrada A, Muñoz AR, Vargas JM (2008) Modelling chorotypes of invasive vertebrates in mainland Spain. Divers Distrib 14:364–373
Resasco J, Haddad NM, Orrock JL, Shoemaker D, Brudvig LA, Damschen EI, Tewksbury JJ, Levey DJ (2014) Landscape corridors can increase invasion by an exotic species and reduce diversity of native species. Ecology 95:2033–2039
Rhainds M, Yoo HJS, Kindlmann P, Voegtlin D, Castillo D, Rutledge CE, Sadof C, Yaninek S, O’Neil RJ (2010) Two-year oscillation cycle in abundance of soybean aphid in Indiana. Agric For Entomol 12:251–257
Rigot T, van Halder I, Jactel H (2014) Landscape diversity slows the spread of an invasive forest pest species. Ecography 37:648–658
Roy M (2003) Mise au point sur un ravageur du soya récemment introduit au Québec: Le puceron du soya. Agri-Réseau, p 5
Roy M, Lachance P (2005) C’est confirmé, le puceron du soya passe l’hiver dans le sud-ouest du Québec. Réseau d’Avertissement Phytosanitaire, Bulletin d’information—Grandes cultures n°6 - 29 juin 2005
Sakai AK, Allendorf FW, Holt JS, Lodge DM, Molofsky J, With KA, Baughman S, Cabin RJ, Cohen JE, Ellstrand NC, McCauley DE, O’Neil P, Parker IM, Thompson JN, Weller SG (2001) The population biology of invasive species. Annu Rev Ecol Syst 32:305–332
Schmidt NP, O’Neal ME, Anderson PF, Lagos D, Voegtlin D, Bailey W, Caragea P, Cullen E, DiFonzo C, Elliott K, Gratton C, Johnson D, Krupke CH, McCornack B, O’Neil R, Ragsdale DW, Tilmon KJ, Whitworth J (2012) Spatial distribution of Aphis glycines (Hemiptera: Aphididae): a summary of the suction trap network. J Econ Entomol 105:259–271
Shea K, Chesson P (2002) Community ecology theory as a framework for biological invasions. Trends Ecol Evol 17:170–176
Simpson EH (1949) Measurement of diversity. Nature 163:688
Stachowicz JJ, Fried H, Osman RW, Whitlatch RB (2002) Biodiversity, invasion resistance, and marine ecosystem function: reconciling pattern and process. Ecology 83:2575–2590
Thies C, Tscharntke T (1999) Landscape structure and biological control in agroecosystems. Science 285:893–895
Tooker JF, Fleischer SJ (2010) First report of western bean cutworm (Striacosta albicosta) in Pennsylvania. Crop Management: CM-2010-0616-01-RS
Venugopal PD, Coffey PL, Dively GP, Lamp WO (2014) Adjacent habitat influence on stink bug (Hemiptera: Pentatomidae) densities and the associated damage at field corn and soybean edges. PLoS ONE 9:e109917. doi:10.1371/journal.pone.0109917
Veres A, Petit S, Conord C, Lavigne C (2013) Does landscape composition affect pest abundance and their control by natural enemies? A review. Agric Ecosyst Environ 166:110–117
Vermeij GJ (1996) An agenda for invasion biology. Biol Conserv 78:3–9
Voegtlin DJ, O’Neil RJ, Graves WR (2004) Tests of suitability of overwintering hosts of Aphis glycines: identification of a new host association with Rhamnus alnifolia L’Héritier. Ann Entomol Soc Am 97:233–234
Voegtlin DJ, O’Neil RJ, Graves WR, Lagos D, Yoo HJS (2005) Potential winter hosts of soybean aphid. Ann Entomol Soc Am 98:690–693
Wang Z, Wu J, Shang H, Cheng J (2011) Landscape connectivity shapes the spread pattern of the rice water weevil: a case study from Zhejiang, China. Environ Manag 47:254–262
Weaver JE, Conway TM, Fortin M-J (2012) An invasive species’ relationship with environmental variables changes across multiple spatial scales. Landsc Ecol 27:1351–1362
Welsman JA, Bahlai CA, Sears MK, Schaafsma AW (2007) Decline of soybean aphid (Homoptera: Aphididae) egg populations from autumn to spring on the primary host, Rhamnus cathartica. Environ Entomol 36:541–548
Wermelinger B, Wyniger D, Forster B (2008) First records of an invasive bug in Europe: Halyomorpha halys Stål (Heteroptera: Pentatomidae), a new pest on woody ornamentals and fruit trees? Bull Soc Entomol Suisse 81:1–8
Whitney KS, Meehan TD, Kucharik CJ, Zhu J, Townsend P, Hamilton K, Gratton C (2016) Explicit modeling of abiotic and landscape factors reveals precipitation and forests associated with aphid abundance. Ecol Appl 26:2600–2610
With KA (2002) The landscape ecology of invasive spread. Conserv Biol 16:1192–1203
Wu Z, Schenk-Hamlin D, Zhan W, Ragsdale DW, Heimpel GE (2004) The soybean aphid in China: a historical review. Ann Entomol Soc Am 97:209–218
Yorke AF, Metaxas A (2012) Relative importance of kelps and fucoids as substrata of the invasive epiphytic bryozoan Membranipora membranacea in Nova Scotia, Canada. Aqua Biol 16:17–30
Acknowledgements
First, we thank Claude Parent (Ministère de l’Agriculture, des Pêcheries et de l’Alimentation du Québec, MAPAQ) for the entomological archive dataset and the Financière Agricole du Québec for acquisition of geomatic dataset relative to insured crops, Géomont and Government of Québec for the orthophotographs and the non-crop shapefile. We also thank André Rondeau and Yves Perreault (MAPAQ) for help in field sampling logistic, the agro-environmental advisory clubs (PleineTerre, Agri-ConseilsMaska and Groupe Proconseil) for help in field sampling, Pierre Drapeau (Université du Québec à Montréal, UQAM) and Pierre Legendre (Université de Montréal) for statistical advice, and Clint Kelly (UQAM) for language editing. Our acknowledgements also go to the summer students that helped in field sampling, the farmers involved in the project and the members of the biocontrol laboratory of UQAM. Funding was provided by the MAPAQ (Programme de soutien à l’innovation en agroalimentaire), the Fonds de la recherche du Québec nature et technologies (FRQNT), and UQAM (Bourses d’excellence FARE pour les cycles supérieurs).
Author information
Authors and Affiliations
Corresponding author
Electronic supplementary material
Below is the link to the electronic supplementary material.
Rights and permissions
About this article
Cite this article
Maisonhaute, JÉ., Labrie, G. & Lucas, E. Effect of the spatial context along the invasion process: “Hierarchical spatial” or “Host-switching spatial” hypotheses?. Biol Invasions 20, 345–363 (2018). https://doi.org/10.1007/s10530-017-1536-8
Received:
Accepted:
Published:
Issue Date:
DOI: https://doi.org/10.1007/s10530-017-1536-8

