Abstract
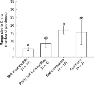
Invasive alien plant species are frequently characterized by a high fecundity. However, because suitable pollinators and/or mates may be absent in the new range, it is not clear how they achieve high seed production. According to Baker’s Law, species capable of uniparental reproduction are more likely to establish after long-distance dispersal than species that rely on suitable mates and pollinators. To test whether self-compatible species, and particularly species capable of autonomous seed set, are more likely to establish and spread, we experimentally assessed the breeding systems of 12 species of Asteraceae that are invasive in China. Among these 12 species of Asteraceae, the percentages of self-compatible species (66.7%) and species capable of autonomous seed set (83.3%), which included self-fertilizing and apomictic species, were significantly larger than expected from the percentages of such species in global data sets of Asteraceae (36.8% and 46.0%, respectively). Furthermore, the number of Chinese provinces in which the invasive alien species occur was significantly positively correlated with the proportion seed set on bagged capitula (i.e. with the degree of autonomous seed set). Among 36 species of Asteraceae that are invasive in China and for which we found breeding-system data in the literature, we also found a higher than expected percentage of self-compatible species (65.7%), and that these self-compatible species are more widespread in China than self-incompatible species. These results support the predictions of Baker’s Law that self-compatible species, and particularly those capable of autonomous seed production, are more likely to establish and spread in a new range. Therefore, breeding systems of plants should be included as one of the key elements in risk assessment protocols for plant invasiveness.



Similar content being viewed by others

Explore related subjects
Discover the latest articles and news from researchers in related subjects, suggested using machine learning.References
Auld BA, Martin PM (1975) Autecology of Eupatorium adenophorum Spreng. in Australia. Weed Res 15:27–31
Baker HG (1955) Self-compatibility and establishment after ‘long-distance’ dispersal. Evolution 9:347–349
Baker HG (1965) Characteristics and modes of origin of weeds. In: Baker HG, Stebbins GL (eds) The genetics of colonizing species. Academic Press, New York, pp 147–172
Barrett SCH, Harder LD, Worley AC (1996) The comparative biology of pollination and mating in flowering plants. Phil Trans Roy Soc Lond B 351:1271–1280
Bertin RI (1993) Incidence of monoecy and dichogamy in relation to self-fertilization in angiosperms. Am J Bot 80:557–560
Brennan AC, Harris SA, Tabah DA, Hiscock SJ (2002) The population genetics of sporophytic self-incompatibility in Senecio squalidus L. (Asteraceae) I: S allele diversity in a natural population. Heredity 89:430–438
Bucharova A, van Kleunen M (2009) Introduction history and species characteristics partly explain naturalization success of North American woody species in Europe. J Ecol 97:230–238
Colautti RI, Grigorovich IA, MacIsaac HJ (2006) Propagule pressure: a null model for biological invasions. Biol Invas 8:1023–1037
Cronk QCB, Fuller JL (2001) Plant invaders. Earthscan, London
Currier HB (1957) Callose substance in plant cells. Am J Bot 44:478–482
Daehler CC (1998) The taxonomic distribution of invasive angiosperm plants: ecological insights and comparison to agricultural weeds. Biol Conserv 84:167–180
Daehler CC (2003) Performance comparisons of co-occurring native and alien invasive plants. Ann Rev Ecol Syst 34:183–211
Daehler CC, Strong DR (1993) Prediction and biological invasion. Trends Ecol Evol 8:380
Ferrer MM, Good-Avila SV (2007) Macrophylogenetic analyses of the gain and loss of self-incompatibility in the Asteraceae. New Phytol 173:401–414
Fryxell PA (1957) Mode of reproduction of higher plants. Bot Rev 23:135–233
Grombone-Guaratini MT, Solferini VN, Semir J (2004) Reproductive biology in species of Bidens L. (Asteraceae). J Sci Food Agric 61:185–189
Groves RH, Panetta FD, Virtue JG (2001) Weed risk assessment. CSIRO Publishing, Collingwood
Hao JH, Qiang S, Liu QQ, Cao F (2009) Reproductive traits assotiated with invasiveness in Conyza sumatrensis. J Plant Syst Evol 47:245–254
Hiscock SJ (2000) Self-incompatibility in Senecio squalidus L. (Asteraceae). Ann Bot 85SA:181–190
Hong L, Shen H, Ye WH, Cao HL, Wang ZM (2007) Self-incompatibility in Mikania micrantha in South China. Weed Res 47:280–283
Hutchinson I, Colosi J, Lewin RA (1984) The biology of Canadian weeds. 63. Sonchus asper (L.) hill and Sonchus oleraceus L. Can J Plant Sci 64:731–744
Küster EC, Kühn I, Bruelheide H, Klotz S (2008) Trait interactions help explain plant invasion success in the German flora. J Ecol 96:860–868
Lafuma L, Maurice S (2007) Increase in mate availability without loss of self-incompatibility in the invasive species Senecio inaequidens (Asteraceae). Oikos 116:201–208
Lambdon PW, Lloret F, Hulme PE (2008) How do introduction characteristics influence the invasion success of mediterranean alien plants? Perspect Plant Ecol 10:143–159
Lloyd DG, Schoen DJ (1992) Self- and cross-fertilization in plants. I. Functional dimensions. Int J Plant Sci 153:358–369
Lockwood JL, Cassey P, Blackburn T (2005) The role of propagule pressure in explaining species invasions. Trends Ecol Evol 20:223–228
Mason RAB, Cooke J, Moles AT, Leishman MR (2008) Reproductive output of invasive versus native plants. Glob Ecol Biogeog 17:633–640
McMullen CK (1987) Breeding systems of selected Galapagos Islands angiosperms. Am J Bot 74:1694–1705
Mejias JA (1992) Reproductive biology in the Iberian taxa of the genera Sonchus and Aetheorhiza (Asteraceae: Lactuceae). Flor Mediter 2:5–24
Melvillme R, Morton JK (1982) A biosystematic study of the Solidago canadensis (Compositae) complex. I. The Ontario populations. Can J Bot 60:976–997
Ming LC (1999) Ageratum conyzoides: a tropical source of medicinal and agricultural products. In: Janick J (ed) Perspectives of new crops and new uses. ASHS Press, Alexandria, pp 469–473
Mooney HA, Mack RN, McNeely JA, Neville LE, Schei PJ, Waage JK (2005) Invasive alien species: a new synthesis. Island Press, Washington, DC
Mulligan GA, Findlay N (1970) Reproductive systems and colonization in Canada weeds. Can J Bot 48:859–860
Nogler GA (1984) Gametophytic apomixis. In: Johri BM (ed) Embryology of angiosperms. Springer, Berlin, pp 474–518
Noyes RD, Rieseberg LH (2000) Two independent loci control agamospermy in the triploid flowering plant Erigeron annuus. Genetics 155:379–390
Pannell JR, Barrett SCH (1998) Baker’s law revisited: reproductive assurance in a metapopulation. Evolution 52:657–668
Pheloung PC, Williams PA, Halloy SR (1999) A weed risk assessment model for use as a biosecurity tool evaluating plant introductions. J Environ Manage 57:239–251
Pullaiah T (1982) Studies in the embryology of compositae. II. The tribe Eupatorieae. Eupatorium odoratum, Ageratum conyzoides. Ind J Bot 5:183–188
Pyšek P (1998) Is there a taxonomic pattern to plant invasions? Oikos 82:282–294
Pyšek P, Richardson DM (2007) Traits associated with invasiveness in alien plants: where do we stand? In: Nentwig W (ed) Biological invasions. Section II. Springer, Berlin, pp 97–125
Pyšek P, Prach K, Šmilauer P (1995) Relating invasion success to plant traits: an analysis of the Czech alien flora. In: Pyšek P, Prach K, Rejmánek M, Wade M (eds) Plant invasions–general aspects and special problems. SPB Academic Publishing, Amsteradam, pp 39–60
Rambuda TD, Johnson SD (2004) Breeding systems of invasive alien plants in South Africa: does baker’s rule apply? Divers Distrib 10:409–416
Rejmánek M (1996) A theory of seed plant invasiveness: the first sketch. Biol Conserv 78:171–181
Rejmánek M, Richardson DM (1996) What attributes make some plant species more invasive? Ecology 77:1655–1661
Richardson DM, Pyšek P (2006) Plant invasions: merging the concepts of species invasiveness and community invasibility. Progr Phys Geog 30:409–431
Richardson DM, Pyšek P, Rejmánek M, Barbour MG, Panetta FD, West CJ (2000) Naturalization and invasion of alien plants: concept and definitions. Divers Distrib 6:93–107
R Development Core Team (2009) R: a language and environment for statistical computing. R foundation for statistical computing, Vienna, ISBN 3-900051-07-0, URL http://www.R-project.org
Rodger JG, van Kleunen M, Johnson SD (2010) Is specialised pollination an impediment to invasion? Int J Plant Sci 171:382–391
Stebbins GL (1957) Self-fertilization and population variation in the higher plants. Am Nat 91:337–354
Sun M, Ritland K (1998) Mating system of yellow starthistle (Centaurea solstitialis), a successful colonizer in North America. Heredity 80:225–232
Sutherland S (2004) What makes a weed a weed: life history traits of native and exotic plants in the USA. Oecologia 141:24–39
van Kleunen M, Johnson SD (2005) Testing for ecological and genetic allee effects in the invasive shrub Senna didymobotrya (Fabaceae). Am J Bot 92:1124–1130
van Kleunen M, Johnson SD (2007) Effects of self-compatibility on the distribution range of invasive European plants in North America. Conserv Biol 21:1537–1544
van Kleunen M, Richardson DM (2007) Invasion biology and conservation biology–time to join forces to explore the links between species traits and extinction risk and invasiveness. Progr Phys Geog 31:447–450
van Kleunen M, Manning JC, Pasqualetto V, Johnson SD (2008) Phylogenetically independent associations between autonomous self-fertilization and plant invasiveness. Am Nat 171:195–201
van Kleunen M, Weber E, Fischer M (2010) A meta-analysis of trait differences between invasive and non-invasive plant species. Ecol Lett 13:235–245
Weaver SE (2001) The biology of Canadian weeds. 115. Conyza canadensis. Can J Plant Sci 81:867–875
Weber E, Guo S-G, Li B (2008) Invasive alien plants in China: diversity and ecological insights. Biol Invas 10:1411–1429
Werner PA, Bradbury IK, Gross RS (1980) The biology of Canadian weeds. 45. Solidago canadensis L. Can J Plant Sci 60:1393–1409
Wu SH, Wang HH (2005) Potential Asteraceae invaders in Taiwan: insights from the flora and herbarium records of casual and naturalized alien species. Taiwania 50:62–70
Xu HG, Qiang S (2004) Inventory of invasive alien species in China. China Environmental Science Press, Beijing
Zhu SX, Qin HN, Chen Y (2005) Alien species of compositae in China. Guihaia 25:69–76
Acknowledgments
This research was supported by National Basic Research and Development Program (2009CB1192) and Special Scientific Research Program for Non-profit Profession (No. 200709017). We thank Sara Good-Avila for providing us with data on the breeding-systems of a global set of Asteraceae, Shu Shun Li, Lu Ren and Yan Chen for their assistance during the experiments or making plates, and the editor and two anonymous reviewers for helpful comments on an earlier version of the manuscript. TC and MvK are supported by the Swiss Science Foundation (SNF), grant no. 31003A-117722. MvK also acknowledges support by the Sino-Swiss Science and Technology Cooperation.
Author information
Authors and Affiliations
Corresponding author
Electronic supplementary material
Below is the link to the electronic supplementary material.
Rights and permissions
About this article
Cite this article
Hao, J.H., Qiang, S., Chrobock, T. et al. A test of baker’s law: breeding systems of invasive species of Asteraceae in China. Biol Invasions 13, 571–580 (2011). https://doi.org/10.1007/s10530-010-9850-4
Received:
Accepted:
Published:
Issue Date:
DOI: https://doi.org/10.1007/s10530-010-9850-4

