Abstract
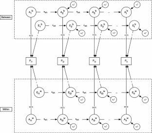
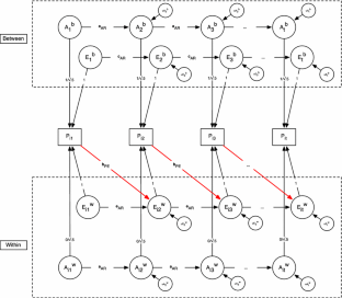
The Louisville Twin Study is one of the most intensive twin studies of cognitive ability. The repeated measurements of the twins are ideal for testing developmental twin models that allow for the accumulation of gene–environment correlation via a (P⇒E) transmission process to explain twins’ divergence in mean ability level over time. Using full-scale IQ scores from 566 pairs of twins (MZ = 278; DZ = 288), we tested whether a P⇒E transmission model provided better representation of actual developmental processes than a genetic simplex model. We also addressed whether the induced gene–environment correlation alters the meaning of the latent nonshared environmental factors with a simple numerical method for interpreting nonshared environmental factors in the context of P⇒E transmission. The results suggest that a P⇒E model provided better fit to twins’ FSIQ data than a genetic simplex model and the meaning of the nonshared environment was preserved in the context of P⇒E.





Similar content being viewed by others
References
Beam CR, Turkheimer E (2013) Phenotype–environment correlations in longitudinal twin models. Dev Psychopathol 25(1):7–16
Beam CR, Emery RE, Reynolds CA, Gatz M, Turkheimer E, Pedersen N (2015) Widowhood and the stability of late life depressive symptomatology in the swedish adoption twin study of aging. Behav Genet. doi:10.1007/s10519-015-9733-7
Bronfenbrenner U (1994) Ecological models of human development. In: Gauvin M, Cole M (eds) Readings on the development of children. Freeman, New York, pp 37–43
Bronfenbrenner U, Ceci SJ (1994) Nature-nurture reconceptualized in developmental perspective: a bioecological model. Psych Rev 101(4):568–586
Browne MW, Cudeck R (1992) Alternative ways of assessing model fit. Soc Methods Res 21(2):230–258
Burnham KP, Anderson DR (2004) Multimodel inference: understanding AIC and BIC in model selection. Soc Methods Res 33(2):261–304
de Kort JM, Dolan CV, Boomsma DI (2012) Accommodation of genotype–environment covariance in a longitudinal twin design. Neth J Psychol 67(3):81–90
de Kort J, Dolan C, Kan KJ, van Beijsterveldt C, Bartels M, Boomsma D (2014) Can GE-covariance originating in phenotype to environment transmission account for the Flynn Effect? J Intel 2(3):82–105
Dickens WT, Flynn JR (2001) Heritability estimates versus large environmental effects: the IQ paradox resolved. Psychol Rev 108(2):346–369
Dickens WT, Turkheimer E, Beam CR (2011) The social dynamics of the expression of genes for cognitive ability. In: Kendler KS, Jaffee S, Romer D (eds) The dynamic genome and mental health: the role of genes and environments in youth development. Oxford University Press, New York, pp 103–127
Dolan CV, de Kort JM, van Beijsterveldt TCEM, Bartels M, Boomsma DI (2014) GE covariance through phenotype to environment transmission: an assessment in longitudinal twin data and application to childhood anxiety. Behav Genet 44(3):240–253
Eaves LJ, Krystyna L, Martin NG, Jinks JL (1977) A progressive approach to non-additivity and genotype–environmental covariance in the analysis of human differences. Br J Math Stat Psychol 30:1–42
Eaves LJ, Long J, Heath AC (1986) A theory of developmental change in quantitative phenotypes applied to cognitive development. Behav Genet 16(1):143–162
Fischbein S (1978) Heredity–environment interaction in the development of twins. Int J Behav Dev 1(4):313–322
Gottlieb G (2003) On making behavioral genetics truly developmental. Human Dev 46(6):337–355
McArdle JJ (1986) Latent variable growth within behavior genetic models. Behav Genet 16(1):163–200
McArdle JJ, Prescott CA (2005) Mixed-effects variance components models for biometric family analyses. Behav Genet 35(5):631–652
McCarthy D (1972) McCarthy scales of children’s abilities. Psychological Corporation, New York
Mcgue M, Christensen K (2002) The heritability of level and rate-of-change in cognitive functioning in Danish twins aged 70 years and older. Exp Aging Res 28:435–451
Muthén LK, Muthén BO (1998–2012) Mplus user’s guide. Muthén & Muthén, Los Angeles
Plomin R, Spinath FM (2004) Intelligence: genetics, genes, and genomics. J Personal Soc Psychol 86(1):112–129
R Core Team (2015) R: A language and environment for statistical computing. R Foundation for Statistical Computing, Vienna
Revelle W (2015) Psych: Procedures for personality and psychological research, Northwestern University, Evanston, Illinois. http://CRAN.R-project.org/package=psych Version = 1.5.4
Tucker-Drob EM, Rhemtulla M, Harden KP, Turkheimer E, Fask D (2011) Emergence of a Gene x socioeconomic status interaction on infant mental ability between 10 months and 2 years. Psychol Sci 22(1):125–133
Turkheimer E (2004) Spinach and ice cream: why social science is so difficult. In: DiLalla L (ed) Behavior genetics principles: perspectives in development, personality, and psychopathology. American Psychological Association, Washington, DC, pp 161–189
Turkheimer E, Haley A, Waldron M, D' Onofrio B, Gottesman, II (2003) Socioeconomic status modifies heritability of IQ in young children. Psychol Sci 14(6): 623–628
Wechsler D (1967) Wechsler preschool and primary scale of intelligence. Psychological Corporation, New York
Wechsler D (1974) Wechsler intelligence scale for children-revised. Psychological Corporation, New York
Wilson RS (1983) The Louisville Twin Study: developmental synchronies in behavior. Child Dev 54(2):298–316
Wilson RS (1986) Continuity and change in cognitive ability profile. Behav Genet 16(1):45–60
Zonderman AB (1986) Twins, families, and the psychology of individual differences: the legacy of Steven G. Vandenberg. Behav Genet 16(1):11–24
Acknowledgments
This work was supported by the National Institute on Aging (F31AG044047-01A1, T32AG020500, T32AG000037-37, & R03AG048850-01).
Author information
Authors and Affiliations
Corresponding author
Ethics declarations
Conflicts of Interest
C. R. Beam, E. Turkheimer, W. T. Dickens, and D. W. Davis declare that they have no conflict of interest.
Human and Animal Rights and Informed Consent
This report does not contain any studies with animals performed by any of the authors. Informed consent was obtained from all individual participants included in the study.
Rights and permissions
About this article
Cite this article
Beam, C.R., Turkheimer, E., Dickens, W.T. et al. Twin Differentiation of Cognitive Ability Through Phenotype to Environment Transmission: The Louisville Twin Study. Behav Genet 45, 622–634 (2015). https://doi.org/10.1007/s10519-015-9756-0
Received:
Accepted:
Published:
Issue Date:
DOI: https://doi.org/10.1007/s10519-015-9756-0


