Abstract
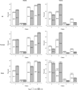
Solo and partnered sexual behaviors are relevant to health, well-being, and relationships. Recent research shows that sexual frequency has declined in the U.S. and in other countries; however, measurement has been imprecise. We used data from 14- to 49-year-old participants in the 2009 and 2018 waves of the National Survey of Sexual Health and Behavior (NSSHB), a confidential U.S. nationally representative survey that is conducted online. We aimed to: (1) assess changes in frequency of past-year penile-vaginal intercourse and (2) examine combinations of past-year sexual behaviors for each of the two waves. We hypothesized that we would observe lower frequency of penile-vaginal intercourse (PVI) from 2009 to 2018 and that we would observe greater engagement in sexual repertoires involving non-coital partnered behaviors (e.g., partnered masturbation, oral sex) in 2018 as compared to 2009. Participants were 4155 individuals from the 2009 NSSHB (Adolescents: 406 females, 414 males; Adults: 1591 women, 1744 men) and 4547 individuals from the 2018 NSSHB (Adolescents: 416 females, 411 males; Adults: 2007 women, 1713 men). Compared to adult participants in the 2009 NSSHB, adults in the 2018 NSSHB were significantly more likely to report no PVI in the prior year (28% in 2018 vs. 24% in 2009). A similar difference in proportions reporting no PVI in the prior year was observed among 14–17-year-old adolescents (89% in 2018 vs. 79% in 2009). Additionally, for both adolescents and adults, we observed decreases in all modes of partnered sex queried and, for adolescents, decreases in solo masturbation.

Similar content being viewed by others
References
Armstrong, C. L., & Mahone, J. (2017). “It’s on us”. The role of social media and rape culture in individual willingness to mobilize against sexual assault. Mass Communication and Society, 20, 92–115.
Beckmeyer, J. J., Herbenick, D., Fu, T., Dodge, B., Reece, M., & Fortenberry, J. D. (2019). Characteristics of adolescent sexting: Results from the 2015 National Survey of Sexual Health and Behavior. Journal of Sex & Marital Therapy, 45, 767–780.
Beutel, M. E., Burghardt, J., Tibubos, A. N., Klein, E. M., Schmutzer, G., & Brähler, E. (2018). Declining sexual activity and desire in men—Findings from representative German surveys, 2005 and 2016. Journal of Sexual Medicine, 15, 750–756.
Burghardt, J., Beutel, M. E., Hasenburg, A., Schmutzer, G., & Brähler, E. (2020). Declining sexual activity and desire in women: Findings from representative German surveys 2005 and 2016. Archives of Sexual Behavior, 49, 919–925.
Byers, E. S., Henderson, J., & Hobson, K. M. (2009). University students’ definitions of sexual abstinence and having sex. Archives of Sexual Behavior, 38, 665–674.
Carter, A., Ford, J. V., Luetke, M., Fu, T. J., Townes, A., Hensel, D. J., Dodge, B., & Herbenick, D. (2019). “Fulfilling his needs, not mine”: Reasons for not talking about painful sex and associations with lack of pleasure in a nationally representative sample of women in the United States. Journal of Sexual Medicine, 16, 1953–1965.
Catania, J. A., Dolcini, M. M., Orellana, R., & Narayanan, V. (2015). Nonprobability and probability-based sampling strategies in sexual science. Journal of Sex Research, 52, 396–411.
Centers for Disease Control and Prevention. (2020a). National Survey of Family Growth: Questionnaires, datasets, and related documentation. Retrieved from https://www.cdc.gov/nchs/nsfg/nsfg_questionnaires.htm
Centers for Disease Control and Prevention (2020b). Youth Risk Behavior Survey: Data Summary & Trends Report 2009-2019. Retrieved from https://www.cdc.gov/healthyyouth/data/yrbs/yrbs_data_summary_and_trends.htm
de Visser, R. O., Richters, J., Rissel, C., Badcock, P. B., Simpson, J. M., Smith, A. M., & Grulich, A. E. (2014). Change and stasis in sexual health and relationships: Comparisons between the first and second Australian Studies of Health and Relationships. Sexual Health, 11, 505–509.
Dodge, B., Herbenick, D., Fu, T., Schick, V., Reece, M., Sanders, S., & Fortenberry, J. D. (2016). Sexual behaviors of US men by self-identified sexual orientation: Results from the 2012 National Survey of Sexual Health and Behavior. Journal of Sexual Medicine, 13, 637–649.
Döring, N., Daneback, K., Shaughnessy, K., Grov, C., & Byers, E. S. (2017). Online sexual activity experiences among college students: A four-country comparison. Archives of Sexual Behavior, 46, 1641–1652.
Fahs, B., & Gonzalez, J. (2014). The front lines of the “back door”: Navigating (dis)engagement, coercion, and pleasure in women’s anal sex experiences. Feminism & Psychology, 24, 500–520.
Fahs, B., Swank, E., & Clevenger, L. (2015). Troubling anal sex: Gender, power, and sexual compliance in heterosexual experiences of anal intercourse. Gender Issues, 32, 19–38.
Feder, S. (2020, June 12). Americans are having less sex than ever, and experts say the pandemic will only fuel this downward spiral. Insider.com. Retrieved from https://www.insider.com/
Field, N., Mercer, C. H., Sonnenberg, P., Tanton, C., Clifton, S., Mitchell, K. R., Erens, B., Macdowall, W., Wu, F., Datta, J., Jones, K. G., Stevens, A., Prah, P., Copas, A. J., Phelps, A., Wellings, K., & Johnson, A. M. (2013). Associations between health and sexual lifestyles in Britain: Findings from the third National Survey of Sexual Attitudes and Lifestyles (Natsal-3). Lancet, 382, 1830–1844.
Finnerty, R., Marshall, S. A., Imbault, C., & Trainor, L. J. (2021). Extra-curricular activities and well-being: Results from a survey of undergraduate university students during COVID-19 lockdown restrictions. Frontiers in Psychology, 12, 2316. https://doi.org/10.3389/fpsyg.2021.647402
Fortenberry, J. D., Schick, V., Herbenick, D., Sanders, S. A., Dodge, B., & Reece, M. (2010). Sexual behaviors and condom use at last vaginal intercourse: A national sample of adolescents ages 14 to 17 years. Journal of Sexual Medicine, 7, 305–314.
Fu, T., Hensel, D. J., Beckmeyer, J. J., Dodge, B., & Herbenick, D. (2019). Considerations in the measurement and reporting of withdrawal: Findings from the 2018 National Survey of Sexual Health and Behavior. Journal of Sexual Medicine, 16, 1170–1177.
Ghaznavi, C., Sakamoto, H., Yoneoka, D., Nomura, S., Shibuya, K., & Ueda, P. (2019). Trends in heterosexual inexperience among young adults in Japan: Analysis of national surveys, 1987–2015. BMC Public Health, 19, 355. https://doi.org/10.1186/s12889-019-6677-5
Guerra-Reyes, L., Fu, T., Williams, D., Herbenick, D., Dodge, B., Reece, M., & Fortenberry, J. D. (2018). Knowledge of Zika and perception of risk among sexually-active adults in the United States of America: Results from a nationally representative sample. Revista Panamericana De Salud Publica, 42, e43. https://doi.org/10.26633/RPSP.2018.43
Harris, K. M., Halpern, C. T., Whitsel, E., Hussey, J., Tabor, J., Entzel, P., & Udry, J.R. (2009). The National Longitudinal Study of Adolescent to Adult Health: Research design. Retrieved from https://addhealth.cpc.unc.edu/documentation/study-design/
Hensel, D. J., Fortenberry, J. D., O’Sullivan, L. F., & Orr, D. P. (2011). The developmental association of sexual self-concept with sexual behavior among adolescent women. Journal of Adolescence, 34, 675–684.
Hensel, D. J., Schick, V., Herbenick, D., Dodge, B., Reece, M., Sanders, S. A., & Fortenberry, J. D. (2015). Lifetime lubricant use among a nationally representative sample of lesbian- and bisexual-identified women in the United States. Journal of Sexual Medicine, 12, 1257–1266. https://doi.org/10.1111/jsm.12873
Herbenick, D., Fu, T., Svetina Valdivia, D., Patterson, C., Rosenstock Gonzalez, Y., Guerra-Reyes, L., Eastman-Mueller, H., Beckmeyer, J., & Rosenberg, M. (2021). What is rough sex, who does it, and who likes it? Findings from a probability survey of U.S. undergraduate students. Archives of Sexual Behavior, 50, 1183–1195.
Herbenick, D., Bartelt, E., Fu, T. C., Paul, B., Gradus, R., Bauer, J., & Jones, R. (2019a). Feeling scared during sex: Findings from a US probability sample of women and men ages 14 to 60. Journal of Sex & Marital Therapy, 45, 424–439.
Herbenick, D., Bowling, J., Fu, T. C., Dodge, B., Guerra-Reyes, L., & Sanders, S. (2017). Sexual diversity in the United States: Results from a nationally representative probability sample of adult women and men. PLoS ONE, 12, e0181198. https://doi.org/10.1371/journal.pone.0181198
Herbenick, D., Fu, T. C., Owens, C., Bartelt, E., Dodge, B., Reece, M., & Fortenberry, J. D. (2019b). Kissing, cuddling, and massage at most recent sexual event: Findings from a U.S. nationally representative probability sample. Journal of Sex & Marital Therapy, 48, 159–172. https://doi.org/10.1080/0092623X.2018.1494648
Herbenick, D., Fu, T. C., Wright, P., Paul, B., Gradus, R., Bauer, J., & Jones, R. (2020). Diverse sexual behaviors and pornography use: Findings from a nationally representative probability survey of Americans aged 18 to 60 years. Journal of Sexual Medicine, 17, 623–633.
Herbenick, D., Patterson, C., Beckmeyer, J., Rosenstock Gonzalez, Y. R., Luetke, M., Guerra-Reyes, L., Eastman-Mueller, H., Svetina Valdivia, D., & Rosenberg, M. (2021b). Diverse sexual behaviors in undergraduate students: Findings from a campus probability survey. Journal of Sexual Medicine., 18(6), 1024–1041.
Herbenick, D., Reece, M., Schick, V., Sanders, S. A., Dodge, B., & Fortenberry, J. D. (2010a). Sexual behavior in the United States: Results from a national probability sample of men and women ages 14–94. Journal of Sexual Medicine, 7, 255–265.
Herbenick, D., Reece, M., Schick, V., Sanders, S. A., Dodge, B., & Fortenberry, J. D. (2010b). An event-level analysis of the sexual characteristics and composition among adults ages 18 to 59: Results from a national probability sample in the United States. Journal of Sexual Medicine, 7, 346–361.
Herbenick, D., Schick, V., Sanders, S. A., Reece, M., & Fortenberry, J. D. (2015). Pain experienced during vaginal and anal intercourse with other-sex partners: Findings from a nationally representative probability study in the United States. Journal of Sexual Medicine, 12, 1040–1051.
Hess, R., Conroy, M. B., Ness, R., Bryce, C. L., Dillon, S., Chang, C. C. H., & Matthews, K. A. (2009). Association of lifestyle and relationship factors with sexual functioning of women during midlife. Journal of Sexual Medicine, 6, 1358–1368.
Hille, J. J., Simmons, M. K., & Sanders, S. A. (2020). “Sex” and the ace spectrum: Definitions of sex, behavioral histories, and future interest for individuals who identify as asexual, graysexual, or demisexual. Journal of Sex Research, 57, 813–823.
Jozkowski, K. N., Peterson, Z. D., Sanders, S. A., Dennis, B., & Reece, M. (2014). Gender differences in heterosexual college students’ conceptualizations and indicators of sexual consent: Implications for contemporary sexual assault prevention education. Journal of Sex Research, 51, 904–916.
Julian, K. (2018, December). Why are young people having so little sex? Atlantic. Retrieved from: https://www.theatlantic.com/
Kaestle, C. E., & Allen, K. R. (2011). The role of masturbation in healthy sexual development: Perceptions of young adults. Archives of Sexual Behavior, 40, 983–994.
Laumann, E. O., Gagnon, J. H., Michael, R. T., & Michaels, S. (1994). The social organization of sexuality: Sexual practices in the United States. University of Chicago Press.
Lei, L., & South, S. J. (2021). Explaining the decline in young adult sexual activity in the United States. Journal of Marriage and Family, 83, 280–295.
Levin, R. J. (2007). Sexual activity, health and well-being–the beneficial roles of coitus and masturbation. Sexual and Relationship Therapy, 22, 135–148.
Lindau, S. T., & Gavrilova, N. (2010). Sex, health, and years of sexually active life gained due to good health: Evidence from two US population based cross sectional surveys of ageing. British Medical Journal, 340, c810. https://doi.org/10.1136/bmj.c810
Lindau, S. T., Schumm, L. P., Laumann, E. O., Levinson, W., O’Muircheartaigh, C. A., & Waite, L. J. (2007). A study of sexuality and health among older adults in the United States. New England Journal of Medicine, 357, 762–774.
McBride, K. R., Sanders, S. A., Hill, B. J., & Reinisch, J. M. (2017). Heterosexual women’s and men’s labeling of anal behaviors as having “had sex.” Journal of Sex Research, 54, 1166–1170.
McNulty, J. K., Wenner, C. A., & Fisher, T. D. (2016). Longitudinal associations among relationship satisfaction, sexual satisfaction, and frequency of sex in early marriage. Archives of Sexual Behavior, 45, 85–97.
Mcquown, C., Frey, J., Steer, S., Fletcher, G. E., Kinkopf, B., Fakler, M., & Prulhiere, V. (2016). Prevalence of strangulation in survivors of sexual assault and domestic violence. American Journal of Emergency Medicine, 34(7), 1281–1285.
Messiah, A., Blin, P., & Fiche, V. (1995). Sexual repertoires of heterosexuals: Implications for HIV/sexually transmitted disease risk and prevention. AIDS, 9, 1357–1366.
Miech, R. A., Johnston, L. D., O’Malley, P. M., Bachman, J. G., Schulenberg, J. E., & Patrick, M. E. (2019). Monitoring the future national survey results on drug use, 1975–2018: Volume I, Secondary school students. Ann Arbor: Institute for Social Research, The University of Michigan. Retrieved from http://monitoringthefuture.org/pubs.html#monographs
Mitchell, K. R., Mercer, C. H., Ploubidis, G. B., Jones, K. G., Datta, J., Field, N., & Wellings, K. (2013). Sexual function in Britain: Findings from the third National Survey of Sexual Attitudes and Lifestyles (Natsal-3). Lancet, 382, 1817–1829. https://doi.org/10.1016/s0140-6736(13)62366-1
Newport, F. (2018, May 22). In U.S., estimate of LGBT population rises to 4.5%. Gallup. Retrieved from https://news.gallup.com/
NORC at the University of Chicago. (2016). The General Social Survey. Retrieved from https://gss.norc.org/
PettyJohn, M. E., Muzzey, F. K., Maas, M. K., & McCauley, H. L. (2019). #HowIWillChange: Engaging men and boys in the #MeToo movement. Psychology of Men & Masculinities, 20, 612–622.
Reece, M., Herbenick, D., Schick, V., Sanders, S. A., Dodge, B., & Fortenberry, J. D. (2010). Background and considerations on the National Survey of Sexual Health and Behavior (NSSHB) from the investigators. Journal of Sexual Medicine, 7, 243–245.
Richters, J., de Visser, R., Rissel, C., & Smith, A. (2006). Sexual practices at last heterosexual encounter and occurrence of orgasm in a national survey. Journal of Sex Research, 43, 217–226.
Robbins, C. L., Schick, V., Reece, M., Herbenick, D., Sanders, S. A., Dodge, B., & Fortenberry, J. D. (2011). Prevalence, frequency, and associations of masturbation with partnered sexual behaviors among U.S. adolescents. Archives of Pediatrics & Adolescent Medicine, 165, 1087–1093.
Roma, P., Pazzelli, F., Pompili, M., Girardi, P., & Ferracuti, S. (2013). Shibari: Double hanging during consensual sexual asphyxia. Archives of Sexual Behavior, 42(5), 895–900.
Rosenberg, M., Luetke, M., Hensel, D., Kianersi, S., Fu, T. C., & Herbenick, D. (2021). Depression and loneliness during April 2020 COVID-19 restrictions in the United States, and their associations with frequency of social and sexual connections. Social Psychiatry and Psychiatric Epidemiology, 56, 1221–1232.
Sanders, S. A., & Reinisch, J. M. (1999). Would you say you had sex if...? Journal of the American Medical Association, 281, 275–277.
Schick, V. R., Rosenberger, J. G., Herbenick, D., Collazo, E., Sanders, S. A., & Reece, M. (2016). The behavioral definitions of “having sex with a man” and “having sex with a woman” identified by women who have engaged in sexual activity with both men and women. Journal of Sex Research, 53, 578–587.
Schmiedeberg, C., Huyer-May, B., Castiglioni, L., & Johnson, M. D. (2017). The more or the better? How sex contributes to life satisfaction. Archives of Sexual Behavior, 46, 465–473.
Sendler, D. J. (2018). Lethal asphyxiation due to sadomasochistic sex training—How some sex partners avoid criminal responsibility even though their actions lead to someone’s death. Journal of Forensic and Legal Medicine, 56, 59–65.
Sprott, R. A., & Benoit Hadcock, B. (2018). Bisexuality, pansexuality, queer identity, and kink identity. Sexual and Relationship Therapy, 33, 214–232.
Tolman, D. L., & McClelland, S. I. (2011). Normative sexuality development in adolescence: A decade in review, 2000–2009. Journal of Research on Adolescence, 21, 242–255.
Twenge, J. M., Sherman, R. A., & Wells, B. E. (2017). Declines in sexual frequency among American adults, 1989–2014. Archives of Sexual Behavior, 46, 2389–2401.
Ueda, P., & Mercer, C. H. (2019). Prevalence and types of sexual inactivity in Britain: Analyses of national cross-sectional probability survey data. British Medical Journal Open, 9, e030708. https://doi.org/10.1136/bmjopen-2019-030708
Ueda, P., Mercer, C. H., Ghaznavi, C., & Herbenick, D. (2020). Trends in frequency of sexual activity and number of sexual partners among adults aged 18 to 44 years in the US, 2000–2018. JAMA Network Open, 3(6), e203833–e203833.
U.S. Census. (2020). Historical marital status tables. Retrieved on July 29, 2021 from: https://www.census.gov/data/tables/time-series/demo/families/marital.html
Watson, R. J., Wheldon, C. W., & Puhl, R. M. (2020). Evidence of diverse identities in a large national sample of sexual and gender minority adolescents. Journal of Research on Adolescence, 30, 431–442.
Wellings, K., Palmer, M. J., Machiyama, K., & Slaymaker, E. (2019). Changes in, and factors associated with, frequency of sex in Britain: Evidence from three National Surveys of Sexual Attitudes and Lifestyles (Natsal). BMJ, 365. https://doi.org/10.1136/bmj.l1525
World Health Organization. (2006). Defining sexual health: Report of a Technical Consultation on Sexual Health, 28–31 January 2002, Geneva.
Wright, P. J. (2013). US males and pornography, 1973–2010: Consumption, predictors, correlates. Journal of Sex Research, 50, 60–71.
Wright, P. J., Bae, S., & Funk, M. (2013). United States women and pornography through four decades: Exposure, attitudes, behaviors, individual differences. Archives of Sexual Behavior, 42, 1131–1144.
Acknowledgements
The present analyses were funded through support from the Eunice Kennedy Shriver National Institute of Child Health and Human Development (NICHD) (R03HD101726-01; MPIs Herbenick and Fu). The content is solely the responsibility of the authors and does not necessarily represent the official views of the National Institutes of Health. We are grateful to Stephanie Dickinson for her contributions in support of data analysis and interpretation. The 2009 and 2018 NSSHB were supported by grants from Church and Dwight Co., Inc., maker of Trojan brand sexual health products (2009 Co-PIs: Reece and Herbenick; 2018 PI: Herbenick). We wish to acknowledge the valuable contributions of Jonathon Beckmeyer, Brian Dodge, Devon Hensel, Michael Reece, and Stephanie Sanders in the development of the 2009 and/or 2018 waves of the National Survey of Sexual Health and Behavior.
Funding
The present analyses were funded through support from the Eunice Kennedy Shriver National Institute of Child Health and Human Development (NICHD) (R03HD101726-01; MPIs Herbenick and Fu). The 2009 and 2018 NSSHB were originally supported by grants from Church and Dwight Co., Inc., maker of Trojan brand sexual health products.
Author information
Authors and Affiliations
Contributions
Herbenick and Fortenberry contributed to the development of the 2009 NSSHB survey; Herbenick and Fu contributed to the development of the 2018 NSSHB survey. Rosenberg and Golzarri-Arroyo analyzed the data. All authors contributed to manuscript preparation, review, and approval.
Corresponding author
Ethics declarations
Ethical approval
The Institutional Review Board at Indiana University reviewed and approved study protocols and questionnaires used in the NSSHB (Protocols 0,812,000,042, 1,408,833,205, and 1,906,506,253).
Conflict of interest
Authors declare that they have no conflict of interest.
Data Availability
If accepted for publication, a limited data set may be archived at Indiana University.
Additional information
Publisher's Note
Springer Nature remains neutral with regard to jurisdictional claims in published maps and institutional affiliations.
Supplementary Information
Below is the link to the electronic supplementary material.
Rights and permissions
About this article
Cite this article
Herbenick, D., Rosenberg, M., Golzarri-Arroyo, L. et al. Changes in Penile-Vaginal Intercourse Frequency and Sexual Repertoire from 2009 to 2018: Findings from the National Survey of Sexual Health and Behavior. Arch Sex Behav 51, 1419–1433 (2022). https://doi.org/10.1007/s10508-021-02125-2
Received:
Revised:
Accepted:
Published:
Issue date:
DOI: https://doi.org/10.1007/s10508-021-02125-2
