Skip to main content

A Prospective Study of Young Females’ Sexual Subjectivity: Associations with Age, Sexual Behavior, and Dating

Abstract

Sexual self-perceptions are important aspects of sexuality, which can undergo significant change during adolescence and early adulthood. The purpose of this study was to describe these changes among girls (N = 251; ages 16–25) over one year, and to examine associations of sexual self-perceptions (sexual subjectivity) with age, sexual behavior, and romantic status. Sexual body-esteem, perceptions of entitlement to desire and pleasure, sexual efficacy, and sexual self-reflection were investigated as elements of sexual subjectivity. All sexual subjectivity elements were higher among girls who had more sexual experience and/or had steady romantic partners during the study. Perception of entitlement to desire and pleasure increased over time, whereas sexual body-esteem showed the most stability and had minimal associations with sexual or romantic experiences. The greatest increases in sexual subjectivity were found among girls who began the study with the least sociosexual experience and self-reflection also increased for girls who had first coitus after the start of the study. Overall, girls who had sexual intercourse the earliest (before age 16) had the highest sexual subjectivity, but sexual subjectivity increased the most among girls without coital experience or who had more recent first coitus.

This is a preview of subscription content, access via your institution.

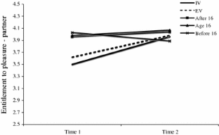
Fig. 1
Fig. 2

References

  • Abma, J., Driscoll, A., & Moore, K. (1998). Young women’s degree of control over first intercourse: An exploratory analysis. Family Planning Perspectives, 30, 12–18.

    PubMed  Article  Google Scholar 

  • Arnett, J. J. (2000). Emerging adulthood: A theory of development from the late teens through the twenties. American Psychologist, 55, 469–480.

    PubMed  Article  Google Scholar 

  • Bandura, A. (1989). Social cognitive theory. Annals of Child Development, 6, 1–60.

    Google Scholar 

  • Barber, B., & Eccles, J. (2003). The joy of romance: Healthy adolescent relationships as an education agenda. In P. Florsheim (Ed.), Adolescent romantic relations and sexual behavior: Theory, research and practical implications (pp. 355–386). Mahwah, NJ: Erlbaum.

    Google Scholar 

  • Bay-Cheng, L. Y., Robinson, A. D., & Zucker, A. N. (2010). Behavioral and relational contexts of adolescent desire, wanting, and pleasure: Undergraduate women’s retrospective accounts. Journal of Sex Research, 46, 511–524.

    Article  Google Scholar 

  • Boislard, P. M. A., Green-Demers, I., Pelletier, L., Chartrand, J., & Séguin, C. (2002). L’impact du style interpersonnel du partenaire sur la compétence, la motivation et la satisfaction sexuelles. Revue Québécoise de Psychologie, 23, 105–121.

    Google Scholar 

  • Brady, S. S., & Halpern-Felsher, B. L. (2008). Social and emotional consequences of refraining from sexual activity among sexually experienced and inexperienced youths in California. American Journal of Public Health, 98, 162–168.

    PubMed  Article  Google Scholar 

  • Breakwell, B. W., & Millard, L. J. (1997). Sexual self-concept and sexual risk-taking. Journal of Adolescence, 20, 29–41.

    PubMed  Article  Google Scholar 

  • Brinthaupt, T. M., & Lipka, R. P. (Eds.). (2002). Understanding early adolescent self and identity: Applications and interventions. Albany, NY: State University of New York Press.

    Google Scholar 

  • Brooks-Gunn, J., & Paikoff, R. L. (1993). Sex is a gamble, kissing is a game: Adolescent sexuality and health promotion. In S. G. Millstein, A. C. Petersen, & E. O. Nightingale (Eds.), Promoting the health of adolescents: New directions for the twenty-first century (pp. 180–208). New York: Oxford University Press.

    Google Scholar 

  • Brunk, T., Morris, S., Rye, B. J., Meaney, G. J., Yessis, J., Wenger, L., et al. (2008). Girl time: Development and evaluation of a healthy sexuality program for girls in Grades 7 and 8. The Canadian Journal of Human Sexuality, 17, 71–82.

    Google Scholar 

  • Bukowski, W. M., Sippola, L., & Brender, W. (1993). Where does sexuality come from?: Normative sexuality from a developmental perspective. In H. E. Barbaree, W. L. Marshall, & S. M. Hudson (Eds.), The juvenile sex offender (pp. 84–103). New York: Guilford Press.

    Google Scholar 

  • Burch, B. (1998). Lesbian sexuality/female sexuality: Searching for sexual subjectivity. Psychoanalytic Review, 85, 349–372.

    PubMed  Google Scholar 

  • Buzwell, S. (1995). Constructing a sexual self: Sexual self-perceptions, sexual styles and sexual risk-taking in adolescence. Unpublished doctoral dissertation, La Trobe University, Melbourne, Australia.

  • Buzwell, S., & Rosenthal, D. A. (1996). Constructing a sexual self: Adolescents’ sexual self-perceptions and sexual risk-taking. Journal of Research on Adolescence, 6, 489–513.

    Google Scholar 

  • Carver, K., Joyner, K., & Udry, J. R. (2003). National estimates of adolescent romantic relationships. In P. Florsheim (Ed.), Adolescent romantic relations and sexual behavior (pp. 23–56). Mahwah, NJ: Erlbaum.

    Google Scholar 

  • Chorousos, G. P. (1998). Stressors, stress, and neuroendocrine integration of the adaptive response. Annals of the New York Academy of Sciences, 851, 311–335.

    Article  Google Scholar 

  • Collins, W. A., Welsh, D., & Furman, W. (2009). Adolescent romantic relationships. Annual Review of Psychology, 60, 631–652.

    PubMed  Article  Google Scholar 

  • Coontz, S. (2006). Romance and sex in adolescence and emerging adulthood. In A. C. Crouter & A. Booth (Eds.), Romance and sex in adolescence and emerging adulthood: Risks and opportunities (pp. 87–92). Mahwah, NJ: Erlbaum.

    Google Scholar 

  • Cyranowski, J. M., & Andersen, B. L. (1998). Schemas, sexuality and romantic attachment. Journal of Personality and Social Psychology, 74, 1364–1379.

    PubMed  Article  Google Scholar 

  • Diamond, L. M. (2006). Introduction: In search of good sexual-developmental pathways for adolescent Girls. In L. M. Diamond (Ed.), New directions in child and adolescent development: Rethinking positive adolescent female sexual development (Vol. 112, pp. 1–7). New York: Wiley.

    Google Scholar 

  • Diamond, L. M. (2008). Female bisexuality from adolescence to adulthood: Results from a 10-year longitudinal study. Developmental Psychology, 44, 5–14.

    PubMed  Article  Google Scholar 

  • Ellis, B. J. (2004). Timing of pubertal maturation in girls: An integrated life history approach. Psychological Bulletin, 130, 920–958.

    PubMed  Article  Google Scholar 

  • Fine, M. (1988). Sexuality, schooling, and adolescent females: The missing discourse of desire. Harvard Educational Review, 58, 29–53.

    Google Scholar 

  • Florsheim, P. (Ed.). (2003). Adolescent romantic relations and sexual behavior: Theory, research, and practical implications. Mahwah, NJ: Lawrence Erlbaum Associates.

    Google Scholar 

  • Furman, W., Brown, B. B., & Feiring, C. (Eds.). (1999). The development of romantic relationships in adolescence. New York: Cambridge University Press.

    Google Scholar 

  • Gagne, F. M., & Lydon, J. E. (2001). Mindset and close relationships: When bias leads to (in)accurate predictions. Journal of Personality and Social Psychology, 81, 85–96.

    PubMed  Article  Google Scholar 

  • Graber, J. A., & Sontag, L. M. (2006). Puberty and girls’ sexuality: Why hormones are not the complete answer. In L. M. Diamond (Ed.), New directions in child and adolescent development: Rethinking positive adolescent female sexual development (Vol. 112, pp. 23–38). New York: Wiley.

    Google Scholar 

  • Haffner, D. W. (1998). Sexual health for American adolescents. Journal of Adolescent Health, 22, 453–459.

    PubMed  Article  Google Scholar 

  • Halpern, C. T. (2006). Integrating hormones and other biological factors into a developmental systems model of adolescent female sexuality. In L. M. Diamond (Ed.), New directions in child and adolescent development: Rethinking positive adolescent female sexual development (Vol. 112, pp. 9–22). New York: Wiley.

    Google Scholar 

  • Holland, J., Ramazonoglu, C., Sharpe, S., & Thomson, R. (1992). Pleasure, pressure and power: Some contradictions of gendered sexuality. Sociological Review, 40, 645–673.

    Article  Google Scholar 

  • Holland, J., Ramazonoglu, C., Sharpe, S., & Thomson, R. (2004). The male in the head: Young people, heterosexuality and power. London: Falmer Press.

    Google Scholar 

  • Horne, S., & Zimmer-Gembeck, M. J. (2005). Female sexual subjectivity and well-being: Comparing late adolescents with different sexual experiences. Sexuality Research & Social Policy: Journal of the NSRC, 2, 25–40.

    Article  Google Scholar 

  • Horne, S., & Zimmer-Gembeck, M. J. (2006). The Female Sexual Subjectivity Inventory: Development and validation of an instrument for late adolescents and emerging adults. Psychology of Women Quarterly, 30, 125–138.

    Article  Google Scholar 

  • Impett, E. A., & Tolman, D. L. (2006). Late adolescent girls’ sexual experiences and sexual satisfaction. Journal of Adolescent Research, 21, 628–646.

    Article  Google Scholar 

  • Keating, D. P. (1990). Adolescent thinking. In S. S. Feldman & G. R. Elliott (Eds.), At the threshold: The developing adolescent (pp. 54–89). Cambridge: Harvard University Press.

    Google Scholar 

  • Koch, P. B. (1988). The relationship of first intercourse to later sexual functioning concerns of adolescents. Journal of Adolescent Research, 3, 345–362.

    Article  Google Scholar 

  • Kroger, J. (2003). Identity development during adolescence. In G. R. Adams & M. D. Berzonsky (Eds.), Blackwell handbook of adolescence (pp. 205–226). Oxford: Blackwell.

    Google Scholar 

  • Larson, R. W., Clore, G. L., & Wood, G. A. (1999). The emotions of romantic relationships: Do they wreak havoc on adolescents? In W. Furman, B. B. Brown, & C. Feiring (Eds.), The development of romantic relationships in adolescence (pp. 19–49). New York: Cambridge University Press.

    Google Scholar 

  • Lefkowitz, E. S., & Stoppa, T. M. (2006). Positive sexual communication and socialization in the parent-adolescent context. In L. M. Diamond (Ed.), New directions in child and adolescent development: Rethinking positive adolescent female sexual development (Vol. 112, pp. 39–56). New York: Wiley.

    Google Scholar 

  • Martin, K. A. (1996). Puberty, sexuality, and the self: Girls and boys at adolescence. New York: Routledge.

    Google Scholar 

  • Moore, S., & Rosenthal, D. A. (1993). Sexuality in adolescence. New York: TJ Press (Padstow).

    Google Scholar 

  • Nicholson, L. (1994). Interpreting gender. Signs: Journal of Women in Culture and Society, 20, 79–105.

    Article  Google Scholar 

  • O’Sullivan, L. F. (2005). The social and relational contexts and cognitions associated with romantic and sexual experiences of early-adolescent girls. Sexuality Research and Social Policy: Journal of NSRC, 2, 13–24.

    Article  Google Scholar 

  • O’Sullivan, L. F., & Brooks-Gunn, J. (2005). The timing of changes in girls’ sexual cognitions and behaviors in early adolescence: A prospective cohort study. Journal of Adolescent Health, 37, 211–219.

    PubMed  Article  Google Scholar 

  • O’Sullivan, L. F., & Majarovich, J. (2008). Difficulties with sexual functioning in a sample of male and female late adolescent and young adult university students. The Canadian Journal of Human Sexuality, 17, 109–121.

    Google Scholar 

  • O’Sullivan, L. F., Meyer-Bahlburg, H. F. L., & McKeague, I. W. (2006). The development of the sexual self-concept inventory for early adolescent girls. Psychology of Women Quarterly, 30, 139–149.

    Article  Google Scholar 

  • Reis, H. T., Collins, W. A., & Berscheid, E. (2000). The relationship context of human behavior and development. Psychological Bulletin, 126, 844–872.

    PubMed  Article  Google Scholar 

  • Rosenthal, D. A., Moore, S., & Flynn, I. (1991). Adolescent self-efficacy, self-esteem and sexual risk-taking. Journal of Community & Applied Social Psychology, 1, 77–88.

    Article  Google Scholar 

  • Rosenthal, D. A., Smith, A. M. A., & de Visser, R. (1999). Personal and social factors influencing age at first sexual intercourse. Archives of Sexual Behavior, 28, 319–333.

    PubMed  Article  Google Scholar 

  • Russell, S. T., & Consolacion, T. B. (2003). Adolescent romance and emotional health in the United States: Beyond binaries. Journal of Clinical Child and Adolescent Psychology, 32, 499–508.

    PubMed  Article  Google Scholar 

  • Savin-Williams, R. C., & Diamond, L. M. (2004). Sex. In R. M. Lerner & L. Steinberg (Eds.), Handbook of adolescent psychology (2nd ed., pp. 189–225). New York: Wiley.

    Google Scholar 

  • Schick, V. R., Zucker, A. N., & Bay-Cheng, L. Y. (2008). Safer, better sex through feminism: The role of feminist ideology in women’s sexual well-being. Psychology of Women Quarterly, 32, 225–232.

    Article  Google Scholar 

  • Skinner, S. R., Smith, J., Fenwick, J., Fyfe, S., & Hendriks, J. (2008). Perceptions and experiences of first sexual intercourse in Australian adolescent females. Journal of Adolescent Health, 43, 593–599.

    PubMed  Article  Google Scholar 

  • Smiler, A. P., Ward, L. M., Caruthers, A., & Merriwether, A. (2005). Pleasure, empowerment, and love: Factors associated with a positive first coitus. Sexuality Research and Social Policy, 2, 41–55.

    Article  Google Scholar 

  • Thompson, S. (1995). Going all the way: Teenage girls’ tales of sex, romance and pregnancy. New York: Hill and Wang.

    Google Scholar 

  • Tolman, D. L. (1994). Doing desire: Adolescent girls’ struggles for/with sexuality. Gender & Society, 8, 324–342.

    Article  Google Scholar 

  • Tolman, D. L. (1999). Female adolescent sexuality in relational context: Beyond sexual decision-making. In N. G. Johnson, M. C. Roberts, & J. Worell (Eds.), Beyond appearance: A new look at adolescent girls (pp. 227–242). Washington, DC: American Psychological Association.

    Chapter  Google Scholar 

  • Tolman, D. L. (2002). Dilemmas of desire. Cambridge, MA: Harvard University Press.

    Google Scholar 

  • Tolman, D. L. (2006). In a different position: Conceptualizing female adolescent sexuality development within compulsory heterosexuality. In L. M. Diamond (Ed.), New directions in child and adolescent development: Rethinking positive adolescent female sexual development (Vol. 112, pp. 71–89). New York: Wiley.

    Google Scholar 

  • Tolman, D. L., Striepe, M. I., & Harmon, T. (2003). Gender matters: Constructing a model of adolescent sexual health. Journal of Sex Research, 40, 4–13.

    PubMed  Article  Google Scholar 

  • Updegraff, J. A., & Taylor, S. E. (2000). From vulnerability to growth: Positive and negative effects of stressful life events. In J. Harvey & E. Miller (Eds.), Loss and trauma: General and close relationship perspectives (pp. 3–28). Philadelphia, PA: Brunner-Routledge.

    Google Scholar 

  • Ward, L. M., Day, K. M., & Epstein, M. (2006). Uncommonly good: Exploring how mass media may be a positive influence on young women’s sexual health and development. In L. M. Diamond (Ed.), New directions in child and adolescent development: Rethinking positive adolescent female sexual development (Vol. 112, pp. 57–70). New York: Wiley.

    Google Scholar 

  • Welsh, D. P., Haugen, P. T., Widman, L., Darling, N., & Grello, C. M. (2005). Kissing is good: A developmental investigation of sexuality in adolescent romantic couples. Sexuality Research and Social Policy, 2, 32–41.

    Article  Google Scholar 

  • Welsh, D. P., Rostosky, S. S., & Kawaguchi, M. C. (2000). A normative perspective of adolescent girls’ developing sexuality. In C. B. Travis & J. W. White (Eds.), Sexuality, society, and feminism (pp. 111–140). Washington, DC: American Psychological Association.

    Chapter  Google Scholar 

  • Zimmer-Gembeck, M. J. (1999). Stability, change and individual differences in involvement with friends and romantic partners among adolescent females. Journal of Youth and Adolescence, 28, 419–438.

    Article  Google Scholar 

  • Zimmer-Gembeck, M. J., & Collins, W. A. (2003). Autonomy development during adolescence. In G. R. Adams & M. Berzonsky (Eds.), Blackwell handbook of adolescence (pp. 175–204). Oxford: Blackwell Publishers.

    Google Scholar 

  • Zimmer-Gembeck, M. J., & Helfand, M. (2008). Ten years of longitudinal research on U.S. adolescent sexual behavior: The evidence for multiple pathways to sexual intercourse, and the importance of age, gender and ethnic background. Developmental Review, 28, 153–224.

    Article  Google Scholar 

  • Zimmer-Gembeck, M. J., Siebenbruner, J., & Collins, W. A. (2004). A prospective study of intraindividual and peer influences on adolescents’ heterosexual romantic and sexual behavior. Archives of Sexual Behavior, 33, 381–394.

    PubMed  Article  Google Scholar 

  • Zimmer-Gembeck, M. J., & Skinner, E. A. (2011). The development of coping across childhood and adolescence: An integrative review and critique of research. International Journal of Behavioral Development, 35, 1–17.

    Article  Google Scholar 

Download references

Acknowledgements

We thank Haley Fowle for her assistance with the follow-up of participants and for expert data entry. The participants also deserve our recognition and immense appreciation for their commitment to this project.

Author information

Affiliations

Authors

Corresponding author

Correspondence to Melanie J. Zimmer-Gembeck.

Rights and permissions

Reprints and Permissions

About this article

Cite this article

Zimmer-Gembeck, M.J., Ducat, W.H. & Boislard-Pepin, MA. A Prospective Study of Young Females’ Sexual Subjectivity: Associations with Age, Sexual Behavior, and Dating. Arch Sex Behav 40, 927 (2011). https://doi.org/10.1007/s10508-011-9751-3

Download citation

  • Received:

  • Revised:

  • Accepted:

  • Published:

  • DOI: https://doi.org/10.1007/s10508-011-9751-3

Keywords

  • Sexuality
  • Sexual behavior
  • Romantic relationships
  • Dating
  • Self-perceptions