Abstract
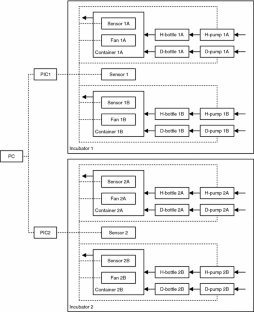
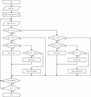
We developed a computer-based system for controlling water vapor conditions (i.e., humidity) using a two-flow method in which streams of humidified and dehumidified air were combined in an acrylic container. The flow rate of each stream was independently controlled to adjust relative humidity (RH). In this system, humidification from 15 to 90 % RH and dehumidification from 90 to 15 % RH at an air temperature (AT) of 25 °C were properly operated with short time constants of 4.3 and 10 min, respectively. Tetranychus urticae egg hatchability was then examined at 20–95 % RH and 25 °C AT. The coefficients of variation of RH were low (0.3–1.5 %). Egg hatchability in a polystyrene Petri dish was lower at 20 % RH than at 70–95 % RH. A delay in hatching was also observed at 70 % RH for eggs tested on a leaf disk placed on water-soaked cotton; this delay was attributed to the AT being 1.4 °C lower on the leaf surface than on the inner surface of the dish. Our system is expected to be useful for further examination of ecological and behavioral responses in pest mites and for developing novel physical control measures using water vapor.



Similar content being viewed by others
Explore related subjects
Discover the latest articles and news from researchers in related subjects, suggested using machine learning.References
Anderson DB (1936) Relative humidity or vapor pressure deficit. Ecology 17:277–282
Bakker FM, Klein ME, Mesa NC, Braun AR (1993) Saturation deficit tolerance spectra of phytophagous mites and their phytoseiid predators on cassava. Exp Appl Acarol 17:97–113
Beck SD (1980) Insect photoperiodism, 2nd edn. Academic Press, New York
Beck SD (1983) Insect thermoperiodism. Annu Rev Entomol 28:91–108
Blommers L (1976) Capacities for increase and predation in Amblyseius bibens (Acarina: Phytoseiidae). Z Ang Entomol 81:225–244
Boudreaux HB (1958) The effect of relative humidity on egg-laying, hatching, and survival in various spider mites. J Insect Physiol 2:65–72
Fransz HG (1974) The functional response to prey density in an acarine system. Centre for Agricultural Publishing and Documentation, Wageningen
Ghazy NA, Suzuki T, Shah M, Amano H, Ohyama K (2012a) Using high relative humidity and low air temperature as a long-term storage strategy for the predatory mite Neoseiulus californicus (Gamasida: Phytoseiidae). Biol Control 60:241–246
Ghazy NA, Suzuki T, Shah M, Amano H, Ohyama K (2012b) Effect of long-term cold storage of the predatory mite Neoseiulus californicus at high relative humidity on post-storage biological traits. BioControl. doi: 10.1007/s10526-012-9441-7
Ghazy NA, Suzuki T, Amano H, Ohyama K (2012c) Effects of air temperature and water vapor pressure deficit on storage of the predatory mite Neoseiulus californicus (Acari: Phytoseiidae). Exp Appl Acarol. doi: 10.1007/s10493-012-9556-7
Greenspan L (1977) Humidity fixed points of binary saturated aqueous solutions. J Res Nat Bur Stand Sect A 81A:89–96
Saito Y, Suzuki R (1987) Reexamination of several rearing methods for studying the life history of spider mites (Acari: Tetranychidae). Appl Entomol Zool 22:570–576
Wiederhold PR (1997) Water vapor measurement. Marcel Dekker, New York
Winston PW, Bates DH (1960) Saturated solutions for the control of humidity in biological research. Ecology 41:232–237
Yarwood C (1946) Detached leaf culture. Bot Rev 12:1–56
Acknowledgments
This study was supported by Grants-in-Aid for Scientific Research (C) (21580062) and for JSPS Fellows (22-2650) from the Japan Society for the Promotion of Science. We would like to thank Dr. M. Shah and Dr. T. Kozai for their kind support and M. Ohyama for his technical assistance.
Author information
Authors and Affiliations
Corresponding author
Rights and permissions
About this article
Cite this article
Suzuki, T., Ghazy, N.A., Amano, H. et al. A high-performance humidity control system for tiny animals: demonstration of its usefulness in testing egg hatchability of the two-spotted spider mite, Tetranychus urticae . Exp Appl Acarol 58, 101–110 (2012). https://doi.org/10.1007/s10493-012-9565-6
Received:
Accepted:
Published:
Issue Date:
DOI: https://doi.org/10.1007/s10493-012-9565-6


