Skip to main content

Increased number of glutamine repeats in the C-terminal of Candida albicans Rlm1p enhances the resistance to stress agents

Abstract

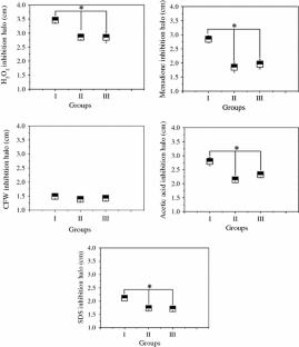
The highly polymorphic microsatellite CAI described for Candida albicans genotyping was found to be located within the RLM1 gene which codes for a transcription factor from the MADS box family that, in Saccharomyces cerevisiae, is known to regulate the expression of genes involved in the cell wall integrity pathway. The aim of this work was to study CAI genetic variability in a wide group of C. albicans isolates and determine the response of genetic variants to cell wall damaging stress agents. One hundred twenty-three C. albicans isolates were genotyped with CAI microsatellite (CAA/G)n, and 35 alleles were found with repeat units varying from 11 to 49. Alleles with less than 29 repetitions were the most frequent, while the longer ones were underrepresented and had a more complex internal structure. Combinations of RLM1 alleles generated 66 different genotypes. Significant differences (P < 0.05) in the susceptibility patterns to menadione, hydrogen peroxide, SDS, acetic acid, and CFW, stress agents affecting cell integrity, were found between strains harbouring alleles ranging from 17 to 28 repetitions and strains with longer alleles, suggesting that an increased number of repetitive units in the C. albicans RLM1 gene could be related to stress response.

This is a preview of subscription content, access via your institution.

Fig. 1
Fig. 2
Fig. 3
Fig. 4
Fig. 5

References

  • Bougnoux ME, Diogo D, François N, Sendid B, Veirmeire S, Colombel JF, Bouchier C, van Kruiningen H, d’Enfert C, Poulain D (2006) Multilocus sequence typing reveals intrafamilial transmission and microevolutions of Candida albicans isolates from the human digestive tract. J Clin Microbiol 44:1810–1820. doi:10.1128/JCM.44.5.1810-1820.2006

    Article  CAS  PubMed  Google Scholar 

  • Bruno VM, Kalachikov S, Subaran R, Nobile CJ, Kyratsous C, Mitchell AP (2006) Control of the Candida albicans cell wall damage response by transcriptional regulator Cas5. PLoS Pathog 2(3):e21. doi:10.1371/journal.ppat.0020021

    Article  PubMed  Google Scholar 

  • Budowle B, Chakraborty R, Giusti A, Eisenberg MAJ, Allen RC (1991) Analysis of the VNRT locus D1S80 by the PCR followed by high resolution PAGE. Am J Hum Genet 48:137–144

    CAS  PubMed  Google Scholar 

  • Dodou E, Treisman R (1997) The Saccharomyces cerevisiae MADS-box transcription factor Rlm1 is a target for the Mpk1 mitogen-activated protein kinase pathway. Mol Cell Biol 17:1848–1859

    CAS  PubMed  Google Scholar 

  • Garcia-Hermoso D, Cabaret O, Lecellier G, Desnos-Ollivier M, Hoinard D, Raoux D, Costa JM, Dromer F, Bretagne S (2007) Comparison of microsatellite length polymorphism and multilocus sequence typing for DNA-based typing of Candida albicans. J Clin Microbiol 45:3958–3963. doi:10.1128/JCM.01261-07

    Article  CAS  PubMed  Google Scholar 

  • Messenguy F, Dubois E (2003) Role of MADS box proteins and their cofactors in combinatorial control of gene expression and cell development. Gene Rev 316:1–21

    CAS  Google Scholar 

  • Odds FC (1988) Candida and candidosis. Bailliere Tindall, London, pp 1–6, 60–230

  • Oh SH, Cheng G, Nuessen JA, Jajko R, Yeater KM, Zhao X, Pujol C, Soll DR, Hoyer L (2005) Functional specificity of Candida albicans Als3p proteins and clade specificity of ALS3 alleles discriminated by the number of copies of the tandem repeat sequence in the central domain. Microbiology 151:673–681. doi:10.1099/mic.0.27680-0

    Article  CAS  PubMed  Google Scholar 

  • Pelroth J, Choi B, Spellberg B (2007) Nosocomial fungal infections: epidemiology, diagnosis, and treatment. Med Mycol 45:321–346. doi:10.1080/13693780701218689

    Article  Google Scholar 

  • Petes TD, Greenwell PW, Dominska M (1997) Stabilization of microsatellite sequences by variant repeats in the yeast Saccharomyces cerevisiae. Genetics 146:491–498

    CAS  PubMed  Google Scholar 

  • Pujol C, Reynes J, Renaud F, Raymond M, Tibayrenc M, Ayala FJ, Janbon F, Mallie M, Bastide J-M (1993) The yeast Candida albicans has a clonal mode of reproduction in a population of infected human immunodeficiency virus-positive patients. Proc Natl Acad Sci USA 90:9456–9459. doi:10.1073/pnas.90.20.9456

    Article  CAS  PubMed  Google Scholar 

  • Sampaio P, Gusmão L, Alves C, Pina-Vaz C, Amorim A, Pais C (2003) Highly polymorphic microsatellite for identification of Candida albicans strains. J Clin Microbiol 41:552–557. doi:10.1128/JCM.41.2.552-557.2003

    Article  CAS  PubMed  Google Scholar 

  • Sampaio P, Gusmão L, Correia A, Alves C, Rodrigues AG, Pina-Vaz C, Amorim A, Pais C (2005) New microsatellite multiplex PCR for Candida albicans strain typing reveals microevolutionary changes. J Clin Microbiol 43:3869–3876. doi:10.1128/JCM.43.8.3869-3876.2005

    Article  CAS  PubMed  Google Scholar 

  • Shore P, Sharrocks A (1995) The MADS-box family of transcription factors. Eur J Biochem 229:1–13. doi:10.1111/j.1432-1033.1995.tb20430.x

    Article  CAS  PubMed  Google Scholar 

  • Staib P, Kretschmar M, Nichterlein T, Hof H, Morschhauser J (2002) Host versus in vitro signals and intrastrain allelic differences in the expression of a Candida albicans virulence gene. Mol Microbiol 44:1351–1366. doi:10.1046/j.1365-2958.2002.02967.x

    Article  CAS  PubMed  Google Scholar 

  • Tietz HJ, Hopp M, Schmalreck A, Sterry W, Czaika V (2001) Candida africana sp. nov., a new human pathogen or a variant of Candida albicans? Mycoses 44:437–445. doi:10.1046/j.1439-0507.2001.00707.x

    Article  CAS  PubMed  Google Scholar 

  • Vandenbussche M, Theissen G, Van de Peer Y, Gerats T (2003) Structural diversification and neo-functionalization during floral MADS-box gene evolution by C-terminal frameshift mutations. Nucleic Acids Res 31:4401–4409. doi:10.1093/nar/gkg642

    Article  CAS  PubMed  Google Scholar 

  • Wang L, Fan C, Topol SE, Topol EJ, Wang Q (2003) Mutation of MEF2A in an inherited disorder with features of coronary artery disease. Science 302:1578–1581. doi:10.1126/science.1088477

    Article  CAS  PubMed  Google Scholar 

  • Watanabe Y, Irie K, Matsumoto K (1995) Yeast RLM1 encodes a serum response factor-like protein that may function downstream of the Mpk1 (Slt2) mitogen-activated protein kinase pathway. Mol Cell Biol 15:5740–5749

    CAS  PubMed  Google Scholar 

  • Zhang N, Harrex AL, Holland BR, Fenton LE, Cannon RD, Schmid J (2003) Sixty alleles of the ALS7 open reading frame in Candida albicans: ALS7 is a hypermutable contingency locus. Genome Res 13:2005–2017. doi:10.1101/gr.1024903

    Article  CAS  PubMed  Google Scholar 

Download references

Acknowledgments

We thank Claude Pujol and Timothy Lott for providing part of the strains used in this study. We are also indebted to Adelaide Alves (Hospital de S. Marcos, Braga) and Cidália Pina-Vaz (Hospital de S. João, Porto) for providing the clinical isolates. Magda Graça is gratefully acknowledged for operating the nucleic acid sequencer. This research was supported by Fundação para a Ciência e Tecnologia (FCT), Portugal, through a multi-year contract with Centro de Biologia da Universidade do Minho.

Author information

Affiliations

Authors

Corresponding author

Correspondence to Célia Pais.

Rights and permissions

Reprints and Permissions

About this article

Cite this article

Sampaio, P., Nogueira, E., Loureiro, A.S. et al. Increased number of glutamine repeats in the C-terminal of Candida albicans Rlm1p enhances the resistance to stress agents. Antonie van Leeuwenhoek 96, 395 (2009). https://doi.org/10.1007/s10482-009-9352-5

Download citation

  • Received:

  • Accepted:

  • Published:

  • DOI: https://doi.org/10.1007/s10482-009-9352-5

Keywords

  • Allelic frequency
  • Candida albicans
  • RLM1 gene
  • Stress resistance