Abstract
Social and cultural contexts influence power dynamics and shape gender perceptions, roles, and decisions regarding the management of agrobiodiversity for dealing with and adapting to climate change. Based on a feminist political ecology framework and a mixed method approach, this research performs an empirical analysis of two case studies in the northern of India, one in the Himalayan Mountains and another in the Indian-Gangetic plains. It explores context-specific (i) influence of gender roles and responsibilities on on-farm agrobiodiversity management (ii) gendered expertise and knowledge related to agrobiodiversity and (iii) gendered preferences for practices and institutional arrangements for agrobiodiversity conservation linked to adaptation to climate change. In the Himalayan mountains women actively participate in crop and seed management decisions and tasks, and maintain informal institutions for seed and services exchanges in the case of crisis, which simultaneously favours high levels of agrobiodiversity and enhances women’s social status. By contrast, in the Indio-Gangetic plains, where women from better-off households are socially secluded and women from poorer households work mainly as labourer to respond to high out-migration of men, they exercise less public control over agrobiodiversity, with their role being mainly invisible at the homestead and related to post-production tasks. We finally discuss as improved understanding of the links between gendered spaces, crops, tasks, social status, and agrobiodiversity management can facilitate the design of gender-sensitive policy interventions for conservation and adaptation to climate change.
This is a preview of subscription content, access via your institution.


(Source: Survey)

(Source: Survey)

(Source: Survey)

(Source: FGDs)
Notes
In both zones people distinguished between seed and crop. Seed selection is only interpreted as for next cropping.
A collective validation of interviews regarding the gendered division of tasks related to agriculture and specifically to seed management activities was also carried out in order to evaluate the possible bias of responses in individual interviews.
Food self-sufficiency is here defined and measured in terms of the ability to provide food from own reserves in a normal year. We have used food self-sufficiency as a proxy for food security, while recognizing that measuring “food security” per se is more complex.
For this category, we know from supplementary information collected in the area (i.e., participant observation and interviews) that wage labour is mainly carried out by women and girls except for tasks related to land preparation.
Due to time and resource constraints, it was not possible to conduct an individual knowledge survey. However, during the FGDs men and women were asked separately to free-list and describe (i.e., use, agroecological conditions, characteristics) all species and varieties used in the past and currently.
Abbreviations
- CCAFS:
-
Climate change, agriculture and food security research program
- CGIAR:
-
Consultative group on international agricultural research
- FGD:
-
Focus group discussion
- ICAR:
-
Indian council of agricultural research
- NBPGR:
-
National bureau of plant genetic resources
- VPKAS:
-
Vivekananda Parvatiya Krishi Anusandhan Sansthan
References
Agarwal, B. 2001. Participatory exclusions, community forestry and gender: An analysis and conceptual framework. World Development 29 (10): 1623–1648.
Agarwal, B. 2002. Bargaining, gender equality and legal change: The case of india’s inheritance laws. Discussion Paper No. 165. Sussex: Institute of Development Studies (IDS).
Agarwal, B. 2010. Does women’s proportional strength affect their participation? Governing local forests in South Asia. World Development 38 (1): 98–112.
Aggarwal, P. K., S. K. Bandyopadhyay, H. Pathak, N. Kalra, S. Chander, and S. Kumar. 2000. Analysis of yield trends of the rice–wheat system in north-western India. Outlook on Agriculture 29: 259–268.
Aguilar, L. 2009. Climate connections women and climate change: Vulnerabilities and adaptive capacities. In State of the world 2009: Into a warming world. Washington, D.C: The Worldwatch Institute.
Arora-Jonsson, S. 2011. Virtue and vulnerability: Discourses on women, gender and climate change. Global Environmental Change 21 (2): 744–751.
Arora-Jonsson, S. 2014. Forty years of gender research and environmental policy: Where do we stand? Women’s Studies International Forum 47: 295–308.
Auffhammer, M., V. Ramanathan, and J. R. Vincent. 2012. Climate change, the monsoon, and rice yield in India. Climatic Change 111 (2): 411–424. https://doi.org/10.1007/s10584-011-0208-4.
Badola, R., and S. A. Hussain. 2003. Conflict in paradise: Women and protected areas in the Indian Himalaya. Mountain Research and Development 23 (3): 234–237.
Bee, B. 2013. Who Reaps what is Sown? A feminist inquiry into climate change adaptation in two Mexican Ejidos. ACME: An International Journal for Critical Geographies 12 (1): 131–154.
Bellon, M. R. 2004. Conceptualizing interventions to support on-farm genetic resource conservation. World Development 32 (1): 159–172.
Bellon, M. R., and J. van Etten. 2014. Climate change and on-farm conservation of crop landraces in centres of diversity. In Plant genetic resources and climate change, eds. M. Jackson, B. Ford-Lloyd, and M. Parry, pp 137–150. Wallingford: CAB International.
Bellon, M. R., J. L. Pham, and M. T. Jackson. 1997. Genetic conservation: A role for rice farmers. In Plant conservation: The in situ approach, eds. N. Maxted, B. V. Ford-Lloyd, and J. G. Hawkes, London: Chapman and Hall.
Berkes, F., J. Colding, and C. Folke. 2000. Rediscovery of traditional ecological knowledge as adaptive management. Ecological Applications 10 (5): 1251–1262.
Bhattarai, B., R. Beilin, and R. Ford. 2015. Gender, agrobiodiversity, and climate change: A study of adaptation practices in the Nepal Himalayas. World Development 70: 122–132.
Brody, A., J. Demetriades, and E. Esplen. 2008. Gender and climate change: Mapping the linkages. A scoping study on knowledge and gaps. Brighton, UK: Institute of Development studies (IDS).
Buechler, S. 2015. Climate-water challenges and adaptation strategies of women in a Riparian Community in Sonora, Mexico. In A political ecology of women, water and global environmental change, eds. Stephanie Buechler, and Anne-Marie Hanson, London: Routledge.
Buechler, S. 2016. Gendered vulnerabilities and grassroots adaptation initiatives in homegardens and small orchards in Northwest Mexico. Ambio 45 (3): 322–334.
Buechler, S., and A. M. Hanson, eds. 2015. A political ecology of women, water and global environmental change. London: Routledge Taylor and Francis Group.
Carey, M., M. Jackson, A. Antonello, and J. Rushing. 2016. Glaciers, gender, and science. A feminist glaciology framework for global environmental change research. Progress in Human Geography 40 (6): 770–793.
Carr, E. R. 2008. Men’s crops and women’s crops: The importance of gender to the understanding of agricultural and development outcomes in Ghana’s Central Region. World Development 36: 900–915.
Carr, E. R., and M. C. Thompson-Hall. 2014. Gender and climate change adaptation in agrarian settings: Current thinking, new directions, and research frontiers. Geography Compass 8/3: 182–197.
Chant, S. 2010. Gendered poverty across space and time: Introduction and overview. In The international handbook of gender and poverty: Concepts, research, policy. Cheltenham: Edward Elgar.
Colls, A., N. Ash, and N. Ninni Ikkala. 2009. Ecosystem-based adaptation: A natural response to climate change. Gland: IUCN.
Crane, T. A. 2010. Of models and meanings: Cultural resilience in social-ecological systems. Ecology and Society 15: 19.
Dankelman, I., ed. 2010. Gender and climate change: An introduction. London: Earthscan.
Deb, D. 2009. Biodiversity and complexity of rice farm ecosystems: An empirical assessment. The Open Ecology Journal 2: 112–129.
Díaz-Reviriego, I., Á. Fernández-Llamazares, M. Salpeteur, P. L. Howard, and V. Reyes-García. 2016. Gendered medicinal plant knowledge contributions to adaptive capacity and health sovereignty in Amazonia. Ambio 45: 263–275.
Djoudi, H., and M. Brockhaus. 2011. Is adaptation to climate change gender neutral? Lessons from communities dependent on livestock and forests in northern Mali. International Forestry Review 13 (2): 123–135.
Djoudi, H., B. Locatelli, C. Vaast, K. Asher, M. Brockhaus, and B. Sijapati Basnett. 2016. Beyond dichotomies: Gender and intersecting inequalities in climate change studies. Ambio 45 (3): 248–262.
Food Agriculture Organization (FAO). 2010. Roles of women in agriculture. Prepared by the SOFA team and Cheryl Doss. Rome: FAO.
Garikipati, S. 2009. Landless but not Assetless: Female agricultural labour on the road to better status, evidence from India. Journal of Peasant Studies 36 (3): 517–545.
Giri, K., and I. Darnhofer. 2010. Out migrating men: A window of opportunity for women’s participation in community forestry? Scandinavian Journal of Forest Research 25 (9): 55–61.
Howard, P. L. 2003. Women and the plant world: An exploration. In Women and plants: Gender relations in biodiversity management and conservation, ed. P. Howard, London: Zed Press and Palgrave-Macmillan.
Howard, P. L. 2006. Gender Bias in Ethnobotany: Propositions and evidence of a distorted science and promises of a brighter future. Distinguished Economic Botanist Lecture. New Royal Botanical Gardens.
Howard, P. L., and G. N. Nabanoga. 2007. Are There Customary Rights to Plants? An Inquiry among the Baganda (Uganda) with special attention to Gender. World Development 35: 1542–1563.
Indian Council of Agricultural Research (ICAR). 2007. State of plant genetic resources for food and agriculture in India (1996–2006): A Country Report. New Delhi: National Bureau of Plant Genetic Resources, ICAR.
Intergovernamental Panel on Climate Change (IPCC). 2014. Climate change 2014: Synthesis report. Contribution of working groups I, II and III to the Fifth assessment report of the intergovernmental panel on climate change Core Writing Team, R. K. Pachauri, and L. A. Meyer (eds.). Geneva: IPCC.
Jewitt, S. 2000. Unequal knowledges in Jharkhand, India: Deromanticizing women’s agroecological expertise. Development and Change 31: 961–985.
Johns, T., and B. R. Shapits. 2004. Biocultural diversity in the sustainability of developing countries food systems. Food and Nutrition Bulletin 25: 143–154.
Joshi, D. 2014. Feminist Solidarity? Women’s Engagement in Politics and the Implications for Water Management in the Darjeeling Himalaya. Mountain Research and Development 34 (3): 243–254.
Lambrou, Y., and G. Piana. 2005. Gender: the missing component in the response to climate change. Rome: FAO.
Leach, M. 1992. Women’s crops in women’s spaces. Gender relations in Mende rice farming. In Bush base: Forest farm culture, environment and development, eds. E. Croll, and D. Parkin., London: Routledge.
Love, B., and D. Spaner. 2007. Agrobiodiversity: Its value, measurement, and conservation in the context of sustainable agriculture. Journal of Sustainable Agriculture 31 (2): 53–65.
MacGregor, S. 2010. Gender and climate change: From impacts to discourses. Journal of the Indian Ocean Region 6: 223–238. https://doi.org/10.1080/19480881.2010.536669.
Maharjan, A., S. Bauer, and B. Knerr. 2012. Do rural women who stay behind benefits from male out-migration. Case study in the hills of Nepal. Gender Technology and Development 16: 9–123.
Mahmud, S., N. M. Shah, and S. Becker. 2012. Measurement of women’s empowerment in rural Bangladesh. World Development 40 (3): 610–619.
Mehta, M. 1996. “Our lives are no different from that of our buffaloes”: Agricultural change and gendered spaces in a central Himalayan valley. In Feminist political ecology: Global issues and local experiences, eds. D. Rocheleau, B. Thomas-Slayter, and E. Wangari, 180–208. New York: Routledge.
Mehta, M. 2008. Gender Assessment of Uttarakhand Livelihoods Improvements Project in the Himalayas. ICIMOD.
Mehta, P. S., K. S. Negi, and S. N. Ohja. 2010. Native plant genetic resources and traditional foods of Uttarakhand Himalaya for sustainable food security and livelihoods. Indian Journal of natural products and resources 1 (1): 89–96.
Meinzen-Dick, R., C. Kovarik, and A. R. Quisumbing. 2014. Gender and sustainability. Annual Review of Environment and Resources 39: 29–55.
Molden, D., R. Verma, and E. Sharma. 2014. Gender equality as a key strategy for achieving equitable and sustainable development in mountains: The case of the Hindu Kush–Himalayas. Mountain Research and Development 34 (3): 297–300.
Momsen, J. H. 2007. Gender and Agrobiodiversity. Introduction to the special issue. Singapore Journal of Tropical Geography 28 (1): 1–6.
Nautiyal, A. 2003. Women and Development in the Garhwal Himalayas. AJWS 9(4): 93–113.
Nautiyal, S., V. Bisht, K. S. Rao, and R. K. Maikhuri. 2008. The role of cultural values in agrobiodiversity conservation: A case study from Uttarakhand, Himalaya. Journal Human Ecology 23 (1): 1–6.
Nellemann, C., R. Verma, and L. Hislop, eds. 2011. Women at the frontline of climate change: Gender risks and hopes. Arendal: UNEP Grid Arendal.
Nelson, V., and T. Stathers. 2009. Resilience, power, culture, and climate: A case study from semi-arid Tanzania, and new research directions. Gender and Development 17 (1): 81–94.
Nielsen, J. Ø., and A. Reenberg. 2010. Cultural barriers to climate change adaptation: A case study from Northern Burkina Faso. Global Environmental Change 20 (1): 142–152.
Nightingale, A. 2003. A feminist in the forest: Situated knowledges and mixing methods in natural resource management. ACME: An International E-Journal for Critical Geographies 2 (1): 77–90.
Oakley, E., and J. H. Momsen. 2007. Women and seed management: A study of two villages in Bangladesh. Singapore Journal of Tropical Geography 28: 90–106.
Ogra, M. V. 2008. Human–wildlife conflict and gender in protected area borderlands: A case study of costs, perceptions, and vulnerabilities from Uttarakhand (Uttaranchal), India. Geoforum 39 (3): 1408–1422.
Onta, N., and B. P. Resurreccion. 2011. The role of gender and caste in climate adaptation strategies in Nepal. Mountain Research and Development 31 (4): 351–356.
Padmanabhan, M. 2007. The making and unmaking of gendered crops in northern Ghana. Singapore Journal of Tropical Geography 28 (1): 57–70.
Padmanabhan, M. 2011. Women and men as conservers, users and managers of agrobiodiversity. Journal of Socio-Economics 40 (6): 968–976.
Paris, T., A. Singh, J. Luis, and M. Hossain. 2005. Labour outmigration, livelihood of rice farming households and women left behind: A case study in eastern Uttar Pradesh. Economic and Political Weekly 40: 2522–2529.
Pathak, H., J. K. Ladha, P. K. Aggarwal, S. Peng, S. Das, Y. Singh, B. Singh, S. K. Kamra, B. Mishra, A. Sastri, H. P. Aggarwal, D. K. Das, and R. K. Gupta. 2003. Trends of climatic potential and on-farm yields of rice and wheat in the Indo-Gangetic Plains. Field Crops Research 80: 223–234.
Pinetti, C. 2006. Seed diversity in the drylands: Women and farming in South India. Gatekeeper series 126. London: International Institute for Environment and Development (IIED).
Pokhriyal, H. C. 1994. Human environment and socio-economic development in the Himalayas: An institutional study of natural and human resource management in the Garhwal and Kumaon Himalayas. New Delhi: B.R. Publishing.
Ramdas, S. R., and Yakshi, and G. Deepika 2001. Changing livelihoods, livestock, and local knowledge systems: Women stake their claim in Andhra Pradesh and Maharashtra. Indian Journal of Gender Studies 8 (2): 152–174.
Ravera, F., I. Iniesta-Arandia, B. Martín-López, U. Pascual, and P. Bose. 2016a. Gender perspectives in resilience, vulnerability and adaptation to global environmental change. Ambio 45 (3): 235–247.
Ravera, F., B. Martín-López, U. Pascual, and A. Drucker. 2016b. The diversity of gendered adaptation strategies to climate change of Indian farmers: A bottom-up feminist intersectional approach. Ambio 45 (3): 335–351.
Resurrección, B. P. 2013. Persistent women and environment linkages in climate change and sustainable development agendas. Women’s Studies International Forum 40: 33–43.
Reyes-García, V., S. Vila, L. Aceituno-Mata, L. Calvet-Mir, T. Garnatje, A. Jesch, J. J. Lastra, M. Parada, M. Rigat, J. Vallès, and M. Pardo-de-Santayana. 2010. Gendered homegardens: A study in three mountain areas of the Iberian Peninsula. Economic Botany 64 (3): 235–247.
Rocheleau, D. 1995. Maps, number, text and context: Mixing methods in feminist political ecology. Professional Geographer 47 (4): 458–466.
Rocheleau, D., and R. Roth. 2007. Rooted networks, relational webs and powers of connection: Rethinking human and political ecologies. Geoforum 38: 433–437.
Sahai, S. 2000. Farmers’ rights and food security. Economic and Political Weekly 11: 878–880.
Schöley, M., and M. Padmanabhan. 2017. Formal and informal relations to rice seed systems in Kerala, India: Agrobiodiversity as a gendered social-ecological artifact. Agriculture and Human Values 34: 969–982.
Sunderland, T., R. Achdiawan, A. Angelsen, R. Babigumira, A. Ickowitz, F. Paumgarten, V. Reyes-García, and G. Shively. 2014. Challenging perceptions about men, women and forest product use: A global comparative study. World Development 64 (81): S56–S66.
Thompson-Hall, M., E. Carr, and U. Pascual. 2016. Enhancing and expanding intersectional research for climate change adaptation in Agrarian settings. Ambio 45 (3): 373–382.
Tschakert, P. 2012. From impacts to embodied experiences: Tracing political ecology in climate change research. Geografisk Tidsskrift-Danish Journal of Geography 112: 37–41.
United Nations Development Program (UNDP). 2012. Gender and climate change Asia and Pacific. Gender and adaptation. UNDP policy brief 2.
United Nations Framework Convention on Climate Change (UNFCCC). 2011. Ecosystem-based approaches to adaptation: Compilation of information. Report FCCC/SBSTA/2011/2.
Vermeulen, S., J. Pramod, K. Aggarwal, A. Ainslie, C. Angelone, B. M. Campbell, A. J. Challinor, J. W. Hansen, J. Ingram, A. Jarvis, P. Kristjanson, Charlotte Lau, G. Nelson, P. K. Thornton, and E. K. Wollenberg. 2011. Options for support to agriculture and food security under climate change. Environmental Science and Policy 14: 136–144.
Vignola, R., B. Locatelli, C. Martínez, and P. Imbach. 2009. Ecosystem-based adaptation to climate change: What role for policy-makers, society and scientists? Mitigation and Adaptation of Strategies for Global Change 14: 691–696.
Wilson, M. 2003. Exchange, patriarchy and status: Women’s homegardens in Bangladesh. In Women and plants: Gender relations in biodiversity management and conservation, ed. Howard P., London: Zed Press and Palgrave-Macmillan.
Yapa, L. 1996. Improved seeds and constructed scarcity. In Liberation ecologies: Environment, development, social movements, eds. R. Peet, and M. Watts, London: Routledge.
Zimmerer, K. S. 2014. Conserving agrobiodiversity amid global change, migration, and nontraditional livelihood networks: The dynamic uses of cultural landscape knowledge. Ecology and Society 19 (2): 1.
Acknowledgements
This work was carried out in collaboration with Bioversity International and the Basque Centre for Climate Change. We would like to thank Dr. Prem Mathur and the entire staff of Bioversity International, India for their logistical support and assistance with data collection. We would like to acknowledge the farmers from villages in Uttarakhand and Bihar who participated in the research, as well as expressing our gratitude to Dr. Sahai and colleagues from Gene Campaign, Dr. Solanki and the staff of Rajendra Agricultural University at Pusa Campus in Bihar staff at VPKAS, Almora and staff at the NBPGR Regional Station in Bowali, Uttarakhand for their support in undertaking the field work. I would especially like to thank Ms. Puja Bisht, Ms. Kamini Kumari, Ms. Marya Zabeen and Mr. Avinash Kumar for their dedication during survey interviews and focus group discussions. Funding for this research was provided by the CGIAR Research Program on Climate Change, Agriculture and Food Security (CCAFS), which is carried out with support from CGIAR Fund Donors and through bilateral funding agreements. For details please visit https://ccafs.cgiar.org/donors. The views expressed in this document cannot be taken to reflect the official opinions of these organizations. The first author received funds by the Ministry of Economy, Industry and Competitiveness (Spain) (IJCI-2015-25586) and AXA Research Fund (2017–2019).
Author information
Authors and Affiliations
Corresponding author
Additional information
Publisher’s Note
Springer Nature remains neutral with regard to jurisdictional claims in published maps and institutional affiliations.
Appendix 1
Appendix 1
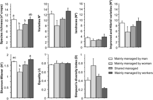
See Fig. 6.
Rights and permissions
About this article
Cite this article
Ravera, F., Reyes-García, V., Pascual, U. et al. Gendered agrobiodiversity management and adaptation to climate change: differentiated strategies in two marginal rural areas of India. Agric Hum Values 36, 455–474 (2019). https://doi.org/10.1007/s10460-018-09907-w
Accepted:
Published:
Issue Date:
DOI: https://doi.org/10.1007/s10460-018-09907-w
Keywords
- Adaptation
- Climate change
- Feminist political ecology
- Gender
- India
- On-farm agrobiodiversity
