Abstract
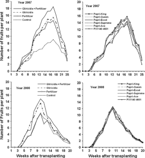
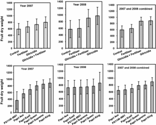
The production of paprika (Capsicum annum L.) under small-scale farm conditions in southern Africa is constrained by low soil fertility and lack of appropriate cultivars. The objective of this study was to determine the growth responses and fruit yields of six cultivars of paprika to organic and inorganic nutrient sources. The study was conducted in 2007 and 2008 at Chitedze Agricultural Research Station in Malawi. A combination of six paprika cultivars and four nutrient sources, namely (1) organic input from Gliricidia, (Gliricidia sepium) biomass, (2) inorganic fertilizer, (3) integrated nutrient input (Gliricidia biomass + inorganic fertilizer), and (4) control (no nutrient input) were compared. Each combination was replicated five times. A split-plot design was used where nutrient sources formed the main plot and cultivars the sub-plots. Plant height differed due to nutrient source in 2007 and 2008, while differences due to cultivar were minor. The control plots produced the shortest plants (height < 50 cm), while plots receiving the integrated nutrient input produced the tallest plants (height > 60 cm). Numbers of branches and fruits per plant differed due to nutrient source and cultivar during most of the study period. Plants receiving either organic inputs (Gliricidia biomass) alone or the integrated nutrient input alone had significantly higher stem, leaf and fruit weight compared with the control. Average fruit yield was lower in control plots than in plots receiving the organic input alone or the integrated nutrient input. Among cultivars, Papri-King, Papri-Supreme and Papri-Queen produced higher dry fruit yield. The ASTA and RAL colour rating was within the internationally accepted range for fruit from the treatments.
This is a preview of subscription content, access via your institution.




References
Akinnifesi FK, Makumba W, Sileshi G, Ajayi OC, Mweta D (2007) Synergistic effect of inorganic N and P fertilizers and organic inputs from Gliricidia sepium on productivity of intercropped maize in Southern Malawi. Plant Soil 294:203–217
Anon (2009) http://qodebreaker.blogspot.com/2009/11/140kg-paprika-farming-in-malawi.html. Accessed 20 Jan 2011
ASTA (American Spice Trade Association) (1985) Official Analytical Methods. ASTA, New Jersey
Birch CPD (1999) A new generalized logistic sigmoid growth equation compared with the Richards growth equation. Ann Bot 83:713–723
Chen Y, Nelson RL (2006) Variation in early plant height in wild soybean. Crop Sci 46:865–869
Chianu JN, Tsujii H (2005) Integrated nutrient management in farming systems of the savannas of northern Nigeria: what future? Outlook Agric 34:197–202
Damgaard C, Weiner J (2008) Modelling the growth of individuals in crowded plant populations. J Plant Ecol 1:111–116
Denning G, Kabambe P, Sanchez P, Malik A, Flor R, Harawa R, Nkhoma P, Zamba C, Banda C, Magombo C, Keating M, Wangila J, Sachs J (2009) Input subsidies to improve smallholder maize productivity in Malawi: toward an African green revolution. PLoS Biol 7:e1000023
De-Viloria ZA, De-Arteaga R, Torrealba LTD (2002) Growing of pepper (Capsicum annum) in response to different levels of NPK and sowing density. J Hortsci 72:1062–1066
EL-Shehawy SA (2009) On calculating the Hougaard measure of skewness in a nonlinear regression model with two parameters. J Math Stat 5:360–364
Giné X, Goldberg J, Yang D (2010) Identification strategy: a field experiment on dynamic incentives in rural credit markets. Bureau for Research and Economic Analysis of Development (BREAD) working paper no. 263: 37
Guertal EA (2000) Preplant slow-release nitrogen fertilizers produce similar bell pepper yields as split applications of soluble fertilizer. Agron J 92:388–393
Keyser JC (2002) The costs and profitability of tobacco compared to other crops in Zimbabwe. Economics of tobacco control paper no 1. The World Bank, Washington DC
Kuntashula E, Mafongoya PL, Sileshi G, Lungu S (2004) Potential of biomass transfer technologies in sustaining vegetable production in the wetlands (dambos) of eastern Zambia. Expl Agric 40:37–51
Kuntashula E, Sileshi G, Mafongoya PL, Banda J (2006) Farmer participatory evaluation of the potential for organic vegetable production in the wetlands of Zambia. Outlook Agric 35:299–305
Langmead P (2005) Appraisal of diversification opportunities: the Zambian paprika case study. Agricultural management, marketing and finance service (AGSF) working document 1. FAO, Rome
Mafongoya PL, Nair PKR, Dzowela BH (1998) Mineralisation of nitrogen from decomposing leaves of multipurpose trees as affected by their chemical composition. Biol Fertil Soils 27:143–148
Mavengahama S, Ogunlela VB, Mariga IK (2008) Effective hardening of paprika (Capsicum annuum L.) seedlings for good field establishment and fruit yield in the smallholder system. Agric Trop Subtrop 41:110–116
Mwinga D, Kwesiga FR, Kamara CS (1994) Decomposition of leaves of six multipurpose tree species in Chipata, Zambia. Forest Ecol Manage 64:209–216
Ogunlela VB, Koomen I (2005) Paprika (Capsicum annuum L.) field establishment and crop productivity under varying planting density and ammonium nitrate topdressing. J Food Agric Environ 3:185–189
Rao MR, Mathuva MN (2000) Legumes for improving maize yields and income in semi-arid Kenya. Agric Ecosyst Environ 78:123–137
Sakala AR, Rao PSC, Sakala WD (2003) Evaluating soil physical and chemical characteristics for describing nutrient leaching in agricultural soils. Malawi J Agric Sci 2:8–20
SAS (2003) SAS/STAT, Release 9.1. SAS Institute Inc, Cary
Sileshi G, Akinnifesi FK, Ajayi OC, Place F (2008) Meta-analysis of maize yield response to planted fallow and green manure legumes in sub-Saharan Africa. Plant Soil 307:1–19
Snapp SS, Mafongoya PL, Waddington S (1998) Organic matter technologies for integrated nutrient management in smallholder cropping systems of southern Africa. Agric Ecosyst Environ 71:185–200
Vanlauwe B (2004) Integrated soil fertility management research at TSBF: the framework, the principles and their application. In: Bationo A (ed) Managing nutrient cycles to sustain soil fertility in sub-Saharan Africa. Academy Science, Nairobi
Yodpetch C (1997) Study on the optimum fertilizer rates on yield and quality of three long cayene peppers (Capsicum annuum L.). Kasetsart J 32:37–45
Zeide B (1993) Analysis of growth equations. Forest Sci 39:594–616
Author information
Authors and Affiliations
Corresponding author
Rights and permissions
About this article
Cite this article
Sileshi, G.W., Akinnifesi, F.K., Gondwe, F.M. et al. Effect of organic fertilizer on the growth and fruit yield of six paprika (Capsicum annum L.) cultivars in Malawi. Agroforest Syst 83, 361–372 (2011). https://doi.org/10.1007/s10457-011-9415-2
Received:
Accepted:
Published:
Issue Date:
DOI: https://doi.org/10.1007/s10457-011-9415-2
Keywords
- Biomass transfer
- Inorganic fertilizer
- Gliricidia sepium
- Integrated nutrient management