Abstract
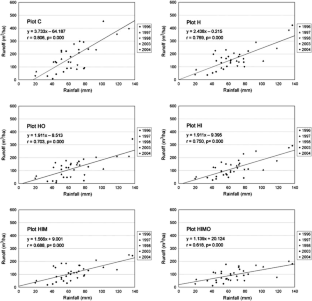
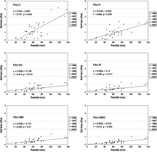
Soil erosion has long been recognized as a major environmental problem in the Three Gorges Region (TGR) where slope farming is commonly practiced but the local topography is hilly. In consideration of the poor socioeconomic position of local farmers, low cost hedgerows had been introduced as a soil conservation measure to the TGR in the late 1980s. A collaborative research programme was initiated by the Chinese University of Hong Kong, the Chinese Academy of Science, the Huazhong Agricultural University, and the Bureau of Soil and Water Conservation of Zigui County to study the potential of adopting hedgerows in the TGR. Six experimental plots (10 m × 2 m, gradient = 25°) were constructed at Zigui County, Hubei Province to study effects of hedgerows on erosion, nutrient loss and crop productivity. Results indicated that there were significant relationships between rainfall and runoff, and rainfall and soil loss, respectively. Conventional slope farming could not be considered a sustainable agricultural practice because it resulted in severe erosion and low crop yield. Hedgerows per se seemed not to be effective in reducing soil loss and boosting crop productivity, but performances could be greatly improved when they combined with the use of fertilizers. Current farming and fertilization practices, however, generally did not meet N demands of crops. Results and findings of this paper will contribute towards a technical reference for the promotion and adoption of hedgerows in the TGR.





Similar content being viewed by others
References
Ahmed S (1995) Agriculture-fertilizer Interface in Asia: Issues of growth and sustainability. Lebanon, New York
Barton AP, Fullen MA, Mitchell DJ, Hocking TJ, Liu L, Zhu WB et al (2004) Effects of soil conservation measures on erosion rates and crop productivity on subtropical Ultisols in Yunnan Province, China. Agric Ecosyst Environ 104(2):343–357
Baudry J, Bunce RGH, Burel F (2000) Hedgerows: an international perspective on their origin, function and management. J Environ Manage 60(1):7–22. doi:10.1006/jema.2000.0358
Brady NC (1990) The nature and properties of soil, 10th edn. Macmillan, 621 pp
Casermeiro MA, Molina JA, De-La-Cruz-Caravaca MT, Hernando-Costa J, Hernando-Massanet MI, Moreno PS (2004) Influence of scrubs on runoff and sediment loss in soils of Mediterranean climate. Catena 57(1):91–107. doi:10.1016/S0341-8162(03)00160-7
Chau KC (1995) The Three Gorges Project of China: resettlement prospects and problems. Ambio 24(2):98–102
Chen GJ, Li DJ (1997) Evaluation of existing natural environment quality in the Three Gorges Reservoir area. In: The Three Gorges Project Ecology and Environment Study Group (ed) Studies on the ecological and environmental impacts of the Three Gorges Project and the remedies. Science Publication, Beijing, pp 167–184 (in Chinese)
Chen Q, Zhang X, Zhang H, Christie P, Li X, Horlacher D et al (2004) Evaluation of current fertilizer practice and soil fertility in vegetable production in the Beijing region. Nutr Cycl Agroecosyst 69(1):51–58. doi:10.1023/B:FRES.0000025293.99199.ff
Defoer T, De Groote H, Hilhorst T, Kante S, Budelman A (1998) Participatory action research and quantitative analysis for nutrient management in Southern Mali: a fruitful marriage? Agric Ecosyst Environ 71:215–228. doi:10.1016/S0167-8809(98)00142-X
Di-Cenzo PD, Luk SH (1997) Gully erosion and sediment transport in a small subtropical catchment, south China. Catana 29:161–176. doi:10.1016/S0341-8162(96)00053-7
Ding SW, Cai CF, Huang L, Dong Z, Cai QG, Zhang GY (2000) Influence of rock feature and structure on some properties of purple soil of slope land in Zigui Basin. J Huazhong Agric Univ 19(2):129–133 (in Chinese)
Drechsel P, Gyiele LA (1999) The economic assessment of soil nutrient depletion. Analytical issues for framework development. Issues in Sustainable Land Management no.7. IBSRAM/SWNM, Bangkok, 88 pp
Evans R (1995) Some methods of directly assessing water erosion of cultivated land—a comparison of measurements made on plots and in field. Prog Phys Geogr 19(1):115–129. doi:10.1177/030913339501900106
Fullen MA, Mitchell DJ, Barton AP, Hocking TJ, Liu L, Wu B et al (1999) Soil erosion and conservation in Yunan Province, China. Ambio 28(2):125–129
Ghinassi G, Neri L (1998) Effect of mulching with black polyethylene sheets on sweet pepper evapotranspiration losses. In: Pereira LS, Gowing J (eds) Water and the Environment: Innovation Issues in Irrigation and Drainage. E & FN Spon, New York
Greenfield JC (1989) Vetiver grass (Vetiveria spp.): The ideal plant for vegetative soil and moisture conservation. Asia Technical Department, Agriculture Division, The World Bank, Washington, DC
Hatano R, Shinano T, Taigen Z, Okubo M, Zuoei L (2002) Nitrogen budgets and environmental capacity in farm systems in a large-scale karst region, southern China. Nutr Cycl Agroecosyst 63(2–3):139–149. doi:10.1023/A:1021159000784
Hoang Fagerström MH, Nilsson SI, Van Noordwijk M, Phien T, Olsson M, Hansson A et al (2002) Does Tephrosia candida as fallow species, hedgerow or mulch improve nutrient cycling and prevent nutrient losses by erosion on slopes in northern Viet Nam? Agric Ecosyst Environ 90(3):291–304. doi:10.1016/S0167-8809(01)00208-0
Hurlbert SH (1984) Pseudoreplication and the design of ecological field experiments. Ecol Monogr 54(2):187–211. doi:10.2307/1942661
Isaac L, Wood CW, Shannon DA (2003) Pruning management effects on soil carbon and nitrogen in contour hedgerow cropping with Leucaena leucocephala (Lam.) De Wit on sloping land in Haiti. Nutr Cycl Agroecosyst 65:253–263. doi:10.1023/A:1022600720226
Kang BT (1993) Alley cropping: past achievement and future directions. Agrofor Syst 23(2–3):141–156. doi:10.1007/BF00704912
Kothyari BP, Verma PK, Joshi BK, Kothyari UC (2004) Rainfall-runoff-soil and nutrient loss relationships for plot size areas of Bhetagad watershed in Central Himalaya, India. J Hydrol (Amst) 293(1–4):137–150. doi:10.1016/j.jhydrol.2004.01.011
Lal R (1989) Agroforestry systems and soil surface management of a tropical alfisol: II Water runoff, soil erosion, and nutrient loss. Agrofor Syst 8:239–242. doi:10.1007/BF00129651
Mo P (1997) Effect of integrated farm practices on sustainable agriculture in Zigui County, the Three Gorges Region of China. Unpublished M.Phil. Thesis, Department of Geography, The Chinese University of Hong Kong, Hong Kong
Ng SL, Tang CW, Cai QG, Ding SW (2008) Costs and benefits of adopting contour hedgerows as soil conversation measures in Central China. Manuscript in preparation
Rai SC, Sharma E (1998) Comparative assessment of runoff characteristics under different land use patterns within a Himalayan watershed. Hydrol Process 12(13–14):2235–2248. doi :10.1002/(SICI)1099-1085(19981030)12:13/14<2235::AID-HYP732>3.0.CO;2-5
Ritsema CJ (2003) Introduction: soil erosion and participatory land use planning on the Loess Plateau in China. Catena 54(1–2):1–5. doi:10.1016/S0341-8162(03)00052-3
Schertz DL (1983) The basis for soil loss tolerance. Soil Water Conserv 38:10–14
Shi P, Li W (1999) Rehabilitation of degraded mountain ecosystem in Southwestern China: an integrated approach. Ambio 28(5):390–397
Shi ZH, Cai CF, Ding SW, Wang TW, Chow TL (2004) Soil conservation planning at the small watershed level using RUSLE with GIS: a case study in the Three Gorges Area of China. Catena 55:33–48. doi:10.1016/S0341-8162(03)00088-2
Tang Y, Xie J, Chen K, He Y, Sun H (2001) Contour hedgerow intercropping technology and its application in the sustainable management of sloping africultural lands in the mountains. Res Soil Water Conserv 8(1):104–109 (in Chinese)
Wang DJ, Liu Q, Lin JH, Sun RJ (2004) Optimum nitrogen use and reduced nitrogen loss for production of rice and wheat in the Yangtze Delta region. Environ Geochem Health 26(2):221–227. doi:10.1023/B:EGAH.0000039584.35434.e0
Wijnhoud JD, Konboon Y, Lefroy RDB (2003) Nutrient budgets: sustainability assessment of rainfed lowland rice-based systems in northeast Thailand. Agric Ecosyst Environ 100(2–3):119–127. doi:10.1016/S0167-8809(03)00180-4
Wu G, Su RP (1998) Development patterns of eco-agriculture in immigrant settlement region of the Three Gorge Reservoir area. Chin J Appl Ecol 9(6):665–668 (in Chinese)
Young A (1989) Agroforestry for soil conservation. International Council for Research in Agroforestry. C.A.B. International, 276 pp
Zhang B, Yang YS, Zepp H (2004) Effect of vegetation restoration on soil and water erosion and nutrient losses of a severly eroded clayey Plinthudult in southeastern China. Catena 57:77–90. doi:10.1016/j.catena.2003.07.001
Zuazo VHD, Martinez JRF, Raya AM (2004) Impact of vegetative cover on runoff and soil erosion at hillslope scale in Lanjaron, Spain. Environmentalist 24(1):39–48. doi:10.1023/B:ENVR.0000046345.44569.35
Acknowledgements
This research was supported by a Grant (4217/02H) from the Hong Kong Research Grants Council. The authors would like to thank the staff of the Bureau of Soil and Water Conservation of Zigui County for assistance in the field and the laboratory. Thanks are given to students of Huazhong Agricultural University, who assisted in field and laboratory works. The authors would also like to thank Dr. Chong Feng Bu for helpful discussions and contribution.
Author information
Authors and Affiliations
Corresponding author
Rights and permissions
About this article
Cite this article
Ng, S.L., Cai, Q.G., Ding, S.W. et al. Effects of contour hedgerows on water and soil conservation, crop productivity and nutrient budget for slope farmland in the Three Gorges Region (TGR) of China. Agroforest Syst 74, 279–291 (2008). https://doi.org/10.1007/s10457-008-9158-x
Received:
Accepted:
Published:
Issue Date:
DOI: https://doi.org/10.1007/s10457-008-9158-x


