Abstract
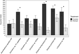
The 1983 die-off of the long-spined sea urchin Diadema antillarum was linked to dramatic increases in macroalgal biomass and abundance on Caribbean coral reefs. D. antillarum densities have only recently begun to recover, and on some reefs this has led to a decrease in algae and an increase in coral recruits. Given the historic importance of this herbivore and the patchiness of its distribution on modern Caribbean reefs, a better understanding of its feeding preferences for different macroalgae is fundamental to reef ecology and management. This study investigated the feeding preferences of D. antillarum for different macroalgae and benthic cyanobacteria that were most common at our study sites on reefs of the U.S. Virgin Islands, although most of these algae occur throughout the Caribbean. Many of these algae are chemically rich, and some are known to be chemically defended against generalist grazers. Previous studies have suggested that D. antillarum has a greater capacity than herbivorous fishes and other herbivores to consume chemically defended algae. However, in this series of experiments, D. antillarum was more selective than expected in its food choices and avoided eating some macroalgae and cyanobacteria commonly found on shallow reefs of the U.S. Virgin Islands. Types of algae and their chemical extracts that deterred feeding include common brown algae (Dictyota and Lobophora spp.) and cyanobacteria (Dichothrix sp.). These feeding preferences have implications for coral reef ecosystems because some macroalgae and cyanobacteria can have negative effects on the survival of other organisms on reefs, including corals.
Access this article
We’re sorry, something doesn't seem to be working properly.
Please try refreshing the page. If that doesn't work, please contact support so we can address the problem.




Similar content being viewed by others
Data availability
Figshare.
Code availability
Not applicable—no custom code.
References
Arnold SN, Steneck RS, Mumby PJ (2010) Running the gauntlet: inhibitory effects of algal turfs on the processes of coral recruitment. Mar Ecol Prog Ser 414:91–105
Blanco FM, Clero Alonso L, González Sansón G, Pina Amargós F (2011) Influence of Diadema antillarum populations (Echinodermata: Diadematidae) on algal community structure in Jardines de la Reina, Cuba. Rev Biol Trop 59:1149–1163
Box SJ, Mumby PJ (2007) Effect of macroalgal competition on growth and survival of juvenile Caribbean corals. Mar Ecol Prog Ser 342:139–149
Campbell JE, Craft JD, Muehllehner N, Langdon C, Paul VJ (2014) Responses of calcifying algae (Halimeda spp.) to ocean acidification: implications for herbivores. Mar Ecol Prog Ser 514:43–56
Capper A, Erickson AA, Ritson-Williams R, Becerro MA, Arthur KA, Paul VJ (2016) Palatability and chemical defences of benthic cyanobacteria to a suite of herbivores. J Exp Mar Biol Ecol 474:100–108
Carpenter RC (1988) Mass mortality of a Caribbean sea urchin: immediate effects on community metabolism and other herbivores. Proc Natl Acad Sci USA 85:511–514
Chadwick NE, Morrow KM (2011) Competition among sessile organisms on coral reefs. In: Dubinsky Z, Stambler N (eds) Coral reefs: an ecosystem in transition. Springer, Netherlands, Dordrecht, pp 347–371
Chen J, Li H, Zhao Z, Xia X, Li B, Zhang J, Yan X (2018) Diterpenes from the marine algae of the genus Dictyota. Mar Drugs 16:159. https://doi.org/10.3390/md16050159
Craft JD, Paul VJ, Sotka EE (2013) Biogeographic and phylogenetic effects on feeding resistance of generalist herbivores toward plant chemical defenses. Ecology 94:18–24
Cronin G, Hay ME (1996) Susceptibility to herbivores depends on recent history of both the plant and animal. Ecology 77:1531–1543
Cronin G, Paul VJ, Hay ME, Fenical W (1997) Are tropical herbivores more resistant than temperate herbivores to seaweed chemical defenses? Diterpenoid metabolites from Dictyota acutiloba as feeding deterrents for tropical versus temperate fishes and urchins. J Chem Ecol 23:289–302
Czarnecki O, Henning M, Lippert I, Welker M (2006) Identification of peptide metabolites of Microcystis (Cyanobacteria) that inhibit trypsin-like activity in planktonic herbivorous Daphnia (Cladocera). Environ Microbiol 8:77–87
Dührkop K, Nothias L-F, Fleischauer M, Reher R, Ludwig M, Hoffmann MA, Petras D, Gerwick WH, Rousu J, Dorrestein PC, Böcker S (2020) Systematic classification of unknown metabolites using high-resolution fragmentation mass spectra. Nat Biotechnol. https://doi.org/10.1038/s41587-020-0740-8
Edmunds PJ, Carpenter RC (2001) Recovery of Diadema antillarum reduces macroalgal cover and increases abundance of juvenile corals on a Caribbean reef. Proc Natl Acad Sci USA 98:5067–5071
Erickson AA, Paul VJ, Van Alstyne KL, Kwiatkowski LM (2006) Palatability of macroalgae that use different types of chemical defenses. J Chem Ecol 32:1883–1895
Ferreira EB, Cavalcanti PP, Nogueira DA (2018) ExpDes: experimental Designs R package version 1.2.0. https://CRAN.R-project.org/package=ExpDes
Gunasekera SP, Miller MW, Kwan JC, Luesch H, Paul VJ (2010) Molassamide, a depsipeptide serine protease inhibitor from the marine cyanobacterium Dichothrix utahensis. J Nat Prod 73:459–462
Hay ME, Fenical W, Gustafson K (1987) Chemical defense against diverse coral-reef herbivores. Ecology 68:1581–1591
Hay ME, Kappel QE, Fenical W (1994) Synergisms in plant defenses against herbivores: interactions of chemistry, calcification, and plant quality. Ecology 75:1714–1726
Idjadi JA, Haring RN, Precht WF (2010) Recovery of the sea urchin Diadema antillarum promotes scleractinian coral growth and survivorship on shallow Jamaican reefs. Mar Ecol Prog Ser 403:91–100
Iwasaki A, Sumimoto S, Ohno O, Suda S, Suenaga K (2014) Kurahamide, a cyclic depsipeptide analog of dolastatin 13 from a marine cyanobacterial assemblage of Lyngbya sp. Bull Chem Soc Jpn 87:609–613
Kerr JNQ, Paul VJ (1995) Animal-plant defense association: the soft coral Sinularia sp. (Cnidaria, Alcyonacea) protects Halimeda spp. from herbivory. J Exp Mar Biol Ecol 186:183–205
Kramer P, McField MD, Alvarez-Filip L, Drysdale I, Flores MR, Giro A, Pott R (2015) 2015 Report Card for the Mesoamerican Reef. Healthy Reefs Initiative. https://www.healthyreefs.org/cms/report-cards/
Kubanek J, Jensen P, Keifer P, Sullards M, Collins D et al (2003) Seaweed resistance to microbial attack: a targeted chemical defense against marine fungi. Proc Natl Acad Sci USA 100:6916
Kuffner IB, Walters LJ, Becerro MA, Paul VJ, Ritson-Williams R, Beach KS (2006) Inhibition of coral recruitment by macroalgae and cyanobacteria. Mar Ecol Prog Ser 323:107–117
Kuster CJ, von Elert E (2013) Interspecific Differences between D. pulex and D. magna in tolerance to cyanobacteria with protease inhibitors. PLoS One 8:62658
Lessios HA (1988) Mass mortality of Diadema antillarum in the Caribbean: what have we learned? Ann Rev Ecol Syst 19:371–393
Lessios HA (1995) Diadema antillarum 10 years after mass mortality still rare, despite help from a competitor. Proc Royal Soc B 259:331–337
Lessios HA (2016) The great Diadema antillarum die-off: 30 years later. Ann Rev Mar Sci 8:267–283
Lessios HA, Robertson DR, Cubit JD (1984) Spread of Diadema mass mortality through the Caribbean. Science 226:335–337
Levitan DR (1988) Algal-urchin biomass responses following mass mortality of Diadema antillarum Philippi at St John, US Virgin Islands. J Exp Mar Biol Ecol 119:167–178
Liddell WD, Ohlhorst SL (1986) Changes in benthic community composition following the mass mortality of Diadema at Jamaica. J Exp Mar Biol Ecol 95:271–278
Littler MM, Taylor PR, Littler DS (1983) Algal resistance to herbivory on a Caribbean barrier reef. Coral Reefs 2:111–118
Maciá S, Robinson MP, Nalevanko A (2007) Experimental dispersal of recovering Diadema antillarum increases grazing intensity and reduces macroalgal abundance on a coral reef. Mar Ecol Prog Ser 348:173–182
Matthew S, Ratnayake R, Becerro MA, Ritson-Williams R, Paul VJ, Luesch H (2010) Intramolecular modulation of serine protease inhibitor activity in a marine cyanobacterium with antifeedant properties. Mar Drugs 8:1803–1816
McAvoy AC, Jaiyesimi O, Threatt PH, Seladi T, Goldberg JB, da Silva RR, Garg N (2020) Differences in cystic fibrosis-associated Burkholderia spp. bacteria metabolomes after exposure to the antibiotic trimethoprim. Acs Infect Dis 6:1154–1168
Morrison D (1988) Comparing fish and urchin grazing in shallow and deeper coral reef algal communities. Ecology 69:1367–1382
Paul VJ, Hay ME (1986) Seaweed susceptibility to herbivory: chemical and morphological correlates. Mar Ecol Prog Ser 33:255–264
Pennings SC, Pablo SR, Paul VJ (1997) Chemical defenses of the tropical, benthic marine cyanobacterium Hormothamnion enteromorphoides: diverse consumers and synergisms. Limnol Oceanogr 42:911–917
R Core Team (2015) R: a language and environment for statistical computing. R Foundation for Statistical Computing, Vienna, Austria
Rasher DB, Hay ME (2010) Chemically rich seaweeds poison corals when not controlled by herbivores. Proc Natl Acad Sci USA 107:9683–9688
Sammarco PW (1980) Diadema and its relationship to coral spat mortality: grazing, competition, and biological disturbance. J Exp Mar Biol Ecol 45:245–272
Sammarco PW (1982a) Echinoid grazing as a structuring force in coral communities: whole reef manipulations. J Exp Mar Biol Ecol 61:31–55
Sammarco PW (1982b) Effects of grazing by Diadema antillarum Philippi (Echinodermata: Echinoidea) on algal diversity and community structure. J Exp Mar Biol Ecol 65:83–105
Sammarco PW, Levinton JS, Ogden JC (1974) Grazing and control of coral reef community structure by Diadema antillarum Philippi (Echinodermata: Echinoidea): a preliminary study. J Mar Res 32:47–53
Solandt J-L, Campbell AC (2001) Macroalgal feeding characteristics of the sea urchin Diadema antillarum Philippi at Discovery Bay, Jamaica. Carib J Sci 37:227–238
Targett NM, Coen LD, Boettcher AA, Tanner CE (1992) Biogeographical comparisons of marine algal polyphenolics: evidence against a latitudinal trend. Oecologia 89:464–470
van RuyterSteveninckde E, Bak R (1986) Changes in abundance of coral-reef bottom components related to mass mortality of the sea urchin Diadema antillarum. Mar Ecol Prog Ser 34:87–94
Vieira C (2020) Lobophora–coral interactions and phase shifts: summary of current knowledge and future directions. Aquat Ecol 54:1–20
Vieira C, Thomas OC, Culioli G, Genta-Jouve G, Houlbreque F, Gaubert J, De Clerck O, Payri CE (2016) Allelopathic interactions between the brown algal genus Lobophora (Dictyotales, Phaeophycea) and scleractinian corals. Sci Rep 6:18637. https://doi.org/10.1038/srep18637
Vieira C, Morrow K, D’Hondt S, Camacho O, Engelen AH, Payri CE, De Clerck O (2020) Diversity, ecology, biogeography, and evolution of the prevalent brown algal genus Lobophora in the Greater Caribbean Sea, including the description of five new species. J Phycol 56:592–607
von Elert E, Agrawal MK, Gebauer C, Jaensch H, Bauer U, Zitt A (2004) Protease activity in gut of Daphnia magna: Evidence for trypsin and chymotrypsin enzymes. Comp Biochem Physiol B 137:287–296
Wang M et al (2016) Sharing and community curation of mass spectrometry data with Global Natural Products Social Molecular Networking. Nat Biotechnol 34:828–837
Acknowledgements
Funding for this study was provided by the U.S. Geological Survey (USGS), via Cooperative Agreement No. 07ERAG0079, with a grant from the USGS Eastern Region State Partnership Program awarded to VJP, Ilsa Kuffner, Linda Walters, and Teresa Turner. We thank the other PIs of this grant for their assistance throughout this project. VJP received additional support from the Smithsonian Hunterdon Oceanographic Fund. Algae were collected in St. Thomas under permit by the Department of Planning and Natural Resources, Division of Fish and Wildlife, which permitted scientific collections (STT-034–08 and STT-041–09 to Dr. Teresa Turner). Collections in St. John were made under National Park Service Permit, Virgin Islands National Park #VIIS-2008-SCI-0012 and #VIIS-2009-SCI-0017 to Dr. Ilsa Kuffner. We thank Teresa Turner, Ilsa Kuffner and Raphael Ritson-Williams for assistance collecting algae, Jonathan Craft for assistance collecting sea urchins and conducting feeding assays, and Dr. Sarath Gunasekera for help with extraction and chemical separations of Dichothrix sp. Raphael Ritson-Williams, Chivas Owle and Victoria Pittman assisted with the extraction of the algae. This is Smithsonian Marine Station contribution #1162.
Funding
U.S. Geological Survey (USGS), via Cooperative Agreement No. 07ERAG0079, with a grant from the USGS Eastern Region State Partnership Program awarded to VJP, I. Kuffner, L. Walters, and T. Turner. Additional support provided by the Smithsonian Hunterdon Oceanographic Fund.
Author information
Authors and Affiliations
Contributions
VJP conceptualized and supervised the study. LJS, SJH, and VJP contributed to the data collection and analysis of the feeding experiments. JMD and NG conducted LC–MS and metabolomics analysis. The first draft of the manuscript was written by LJS and all authors edited subsequent versions of the manuscript. All authors read and approved the final manuscript.
Corresponding author
Ethics declarations
Conflicts of interest
The authors have no conflicts of interest to declare that are relevant to the content of this article.
Consent to participate
All authors participated in data collection and analysis.
Consent for publication
All authors agree with the content and gave consent for publication.
Ethical approval
None required. All permits were in place to conduct scientific research in the USVI and Virgin Islands National Park.
Additional information
Publisher's Note
Springer Nature remains neutral with regard to jurisdictional claims in published maps and institutional affiliations.
Handling Editor: Olivier P. Thomas.
Supplementary Information
Below is the link to the electronic supplementary material.
Rights and permissions
About this article
Cite this article
Spiers, L.J., Harrison, S.J., Deutsch, J.M. et al. The role of algal chemical defenses in the feeding preferences of the long-spined sea urchin Diadema antillarum. Aquat Ecol 55, 941–953 (2021). https://doi.org/10.1007/s10452-021-09873-2
Received:
Accepted:
Published:
Issue Date:
DOI: https://doi.org/10.1007/s10452-021-09873-2


