Skip to main content

Modeling Recombinant Immunotoxin Efficacies in Solid Tumors

Abstract

Effectiveness of cancer therapy is improved by the use of recombinant immunotoxins (RITs) that target membrane proteins unique to malignant tumor cells. Although RIT antitumor activity in vivo can always be improved with larger doses, clinical restriction on the dose toleration makes it critical to explore how RIT antitumor activity can be maximized without resorting to dose elevation. In this work, a mathematical model was developed to explore functional correlations between the properties of several recombinant immunotoxins and their antitumor efficacies in vivo. Simulations were compared with experimental data of human tumor xenografts grown on nude mice to assess parameters critical to optimal antitumor activity. We dissected out or held constant as many parameters of the model as possible to investigate the effect of the remaining parameters on the behavior of the system as a whole. Empirical correlations between immunotoxin binding affinity and the target binding site density were obtained for several recombinant immunotoxins targeting either human A431 carcinoma or CD46 Burkitt’s lymphoma. Simulations reinforced the idea of binding site barrier for drug diffusion and suggested that optimal antitumor activity was achieved when the binding affinity is logarithmically dependent on the target binding site density.

This is a preview of subscription content, access via your institution.

Figure 1
Figure 2
Figure 3
Figure 4
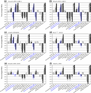
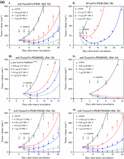
Figure 5
Figure 6
Figure 7
Figure 8
Figure 9

Abbreviations

Mab:

Monoclonal antibody

IT:

Immunotoxin

RIT:

Recombinant immunotoxin

PE:

Pseudomonas exotoxin

RSC:

Relative sensitivity coefficient

ECS:

Extracellular space

IL2Rα:

Interleukin-2 receptor α-subunit

ER:

Endoplasmic reticulum

ADP:

Adenosine diphosphate

PEG:

Polyethylene glycol

GPI:

Glycophosphatidylinositol

References

  1. Adams G. P., Schier R., McCall A. M., Simmons H. H., Horak E. M., Alpaugh R. K., Marks J. D., Weiner L. M. (2001) High affinity restricts the localization and tumor penetration of single-chain fv antibody molecules. Cancer Res 61:4750–4755

    PubMed  CAS  Google Scholar 

  2. Bang S., Nagata S., Onda M., Kreitman R. J., Pastan I. (2005) HA22 (R490A) is a recombinant immunotoxin with increased antitumor activity without an increase in animal toxicity. Clin. Cancer Res. 11:1545–1550

    PubMed  Article  CAS  Google Scholar 

  3. Benhar I., Pastan I. (1995) Identification of residues that stabilize the single-chain Fv of monoclonal antibodies B3. J. Biol. Chem. 270:23373–23380

    PubMed  Article  CAS  Google Scholar 

  4. Bera T. K., Onda M., Brinkmann U., Pastan I. (1998) A bivalent disulfide-stabilized Fv with improved antigen binding to erbB2. J. Mol. Biol. 281:475–483

    PubMed  Article  CAS  Google Scholar 

  5. Bera T. K., Viner J., Brinkmann E., Pastan I. (1999) Pharmacokinetics and antitumor activity of a bivalent disulfide-stabilized Fv immunotoxin with improved antigen binding to erbB2. Cancer Res. 59:4018–4022

    PubMed  CAS  Google Scholar 

  6. Bera T. K., Williams-Gould J., Beers R., Chowdhury P., Pastan I. (2001) Bivalent disulfide-stabilized fragment variable immunotoxin directed against mesotheliomas and ovarian cancer. Mol. Cancer Ther. 1:79–84

    PubMed  CAS  Google Scholar 

  7. Bigner D. D., Archer G. E., McLendon R. E., Friedman H. S., Fuchs H. E., Pai L. H., Herndon J. E., Pastan I. (1995) Efficacy of compartmental administration of immunotoxin LMB-1 (B3-LysPE38) in a rat model of carcinomatous meningitis. Clin. Cancer Res. 1:1545–1555

    PubMed  CAS  Google Scholar 

  8. Breward C. J. W., Byrne H. M., Lewis C. E. (2001) Modeling the interactions between tumor cells and a blood vessel in a microenvironment within a vascular tumor. Eur. J. Appl. Math. 12:529–556

    Article  CAS  Google Scholar 

  9. Brinkmann U., Pai L. H., FitzGerald D. J., Willingham M., Pastan I. (1991) B3(Fv)-PE38KDEL, a single-chain immunotoxin that causes complete regression of a human carcinoma in mice. Proc. Natl. Acad. Sci. USA 88:8616–8620

    PubMed  Article  CAS  Google Scholar 

  10. Brinkmann U., Pastan I. (1995) Recombinant immunotoxins: from basic research to cancer therapy. Methods 8:143–156

    Article  CAS  Google Scholar 

  11. Bruehlmeier M., Roelcke U., Blauenstein P., Missimer J., Schubiger P. A., Locher J. T., Pellikka R., Ametamey S. M. (2003) Measurement of the extracellular space in brain tumors using 76Br-bromide and PET. J. Nucl. Med. 44:1210–1218

    PubMed  Google Scholar 

  12. Chan C. H. T., Wang J., French R. R., Glennie M. J. (1998) Internalization of the lymphocytic surface protein CD22 is controlled by a novel membrane proximal cytoplasmic motif. J. Biol. Chem. 273: 27809–27815

    PubMed  Article  CAS  Google Scholar 

  13. Chang M. P., Bramhall J., Graves S., Bonavida B., Wisnieski B. J. (1989) Internucleosomal DNA cleavage proceeds diphtheria toxin-induced cytolysis: evidence that cell lysis is not a simple consequence of translation inhibition. J. Biol. Chem. 264:15261–15267

    PubMed  CAS  Google Scholar 

  14. Chang K., Pai L. H., Bera J. K., Pastan I., Willingham M. C. (1992) Characterization of the antigen (CAK1) recognized by monoclonal antibody K1 present on ovarian cancers and normal mesothelium. Cancer Res. 52:181–186

    PubMed  CAS  Google Scholar 

  15. Chowdhury P. S., Pastan I. (1999) Improving antibody affinity by mimicking somatic hypermutation in vitro. Nat. Biotechnol. 17:568–572

    PubMed  Article  CAS  Google Scholar 

  16. Chowdhury P. S., Viner J. L., Beers R., Pastan I. (1998) Isolation of a high-affinity stable single chain Fv specific for mesothelin from DNA-immunized mice by phage display and construction of a recombinant immunotoxin with anti-tumor activity. Proc. Natl. Acad. Sci. USA 95:669–674

    PubMed  Article  CAS  Google Scholar 

  17. Dean G. S., Pusztai L., Xu F. J., O’Briant K., DeSombre K., Conaway M., Boyer C. M., Mendelsohn J., Bast R. C. Jr (1998) Cell surface density of p185c-erbB-2determines susceptibility to anti-p185c-erbB-2-ricin A chain (RTA) immunotoxin therapy alone and in combination with anti-p170EGFR-RTA in ovarian cancer cells. Clin. Cancer Res. 4:2545–2550

    PubMed  CAS  Google Scholar 

  18. Filho I. P. T., Leunig M., Yuan F., Intaglietta M., Jain R. K. (1994) Noninvasive measurement of microvascular and interstitial oxygen profiles in a human tumor in SCID mice. Proc. Natl. Acad. Sci. USA 91:2081–2085

    Article  Google Scholar 

  19. Graff C. P., Wittrup K. D. (2003) Theoretical analysis of antibody targeting of tumor spheroids: importance of dosage for penetration, and affinity for retention. Cancer Res. 63:1288–1296

    PubMed  CAS  Google Scholar 

  20. Hassan R., Chuanchu W., Brechbiel M. W., Margylies I., Kreitman R. J., Pastan I. (1999) 111Indium-labeled monoclonal antibody K1: biodisitribution study in nude mice bearing a human carcinoma xenograft expressing mesothelin. Int. J. Cancer 80:559–563

    PubMed  Article  CAS  Google Scholar 

  21. Hessler J. L., Kreitman R. J. (1997) An early step in Pseudomonas exotoxin action is removal of the terminal lysine residue, which allows binding to the KDEL receptor. Biochemistry 36:14577–14582

    PubMed  Article  CAS  Google Scholar 

  22. Hudson T. H., Neville D. M. Jr (1987) Temporal separation of protein toxin translocation from processing events. J. Biol. Chem. 262:16484–16494

    PubMed  CAS  Google Scholar 

  23. Jackson T. L. (2002) Vascular tumor growth and treatment: consequences of polyclonality, competition and dynamic vascular support. J. Math. Biol. 44:201–226

    PubMed  Article  Google Scholar 

  24. Jackson T. L. (2003) Intracellular accumulation and mechanism of action of doxorubicin in a spatio-temporal tumor model. J. Theor. Biol. 220:201–213

    PubMed  Article  CAS  Google Scholar 

  25. Jain R. K. (2001) Delivery of molecular and cellular medicine to solid tumors. Adv. Drug Deliv. Rev. 46:149–168

    PubMed  Article  CAS  Google Scholar 

  26. Juweid M., Neumann R., Paik C., Perez-Bacete M. J., Sato J., Van Osdol W., Weinstein J. N. (1992) Micropharmacology of monoclonal antibodies in solid tumors: direct experimental evidence for a binding site barrier. Cancer Res. 52:5144–5153

    PubMed  CAS  Google Scholar 

  27. Kirpotin D., Park J. W., Hong K., Zalipsky S., Li W.-L., Carter P., Benz C. C., Papahadjopoulos D. (1997) Sterically stabilized anti-Her2 immunoliposomes: design and targeting to human breast cancer cells in vitro. Biochemistry 36:66–75

    PubMed  Article  CAS  Google Scholar 

  28. Kobayashi H., Kao C.-H., Kreitman R. J., Le N., Kim M.-K., Brechbiel M. W., Paik C. H., Pastan I., Carrasquillo J. A. (2000) Pharmacokinetics of 111In- and 125I-labeled anti-Tac single-chain Fv recombinant immunotoxin. J. Nucl. Med. 41:755–762

    PubMed  CAS  Google Scholar 

  29. Kochi S. K., Collier R. J. (1993) DNA fragmentation and cytolysis in U937 cells treated with diphtheria toxin or other inhibitors of protein synthesis. Exp. Cell Res. 208:296–302

    PubMed  Article  CAS  Google Scholar 

  30. Kreitman R. J., Bailon P., Chaudahry V. K., FitzGerald D. J., Pastan I. (1994) Recombinant immunotoxins containing anti-Tac(Fv) and derivatives of Pseudomonas exotoxin produce complete regression in mice of an interleukin-2 receptor-expression human carcinoma. Blood 83:426–434

    PubMed  CAS  Google Scholar 

  31. Kreitman R. J., Margulies I., Stetler-Stevenson M., Wang Q.-C., FitzGerald D. J. P., Pastan I. (2000) Cytotoxic activity of disulfide-stabilized recombinant immunotoxin RFB4(dsFv)-PE38 (BL22) toward fresh malignant cells from patients with B-cell leukemias. Clin. Cancer Res. 6:1476–1487

    PubMed  CAS  Google Scholar 

  32. Kreitman R. J., Pastan I. (1998) Accumulation of a recombinant immunotoxin in a tumor in vivo: fewer than 1000 molecules per cell are sufficient for complete responses. Cancer Res. 58:968–975

    PubMed  CAS  Google Scholar 

  33. Kreitman R. J., Wang Q.-C., FitzGerald D. J., Pastan I. (1999) Complete regression of human B-cell lymphoma xenografts in mice treated with recombinant anti-CD22 immunotoxin RFB4(dsFv)-PE38 at doses tolerated by cynomolgus monkeys. Int. J. Cancer 81:148–155

    PubMed  Article  CAS  Google Scholar 

  34. Krupp M. N., Connolly D. T., Lane M. D. (1982) Synthesis, turnover, and down-regulation of epidermal growth factor receptors in human A431 epidermoid carcinoma cells and skin fibroblasts. J. Biol. Chem. 257:11489–11496

    PubMed  CAS  Google Scholar 

  35. Mansfield E., Amlot P., Pastan I., FitzGerald D. J. (1997) Recombinant RFB4 immunotoxins exhibit potent cytotoxic activity for CD22-bearing cells and tumors. Blood 90:2020–2026

    PubMed  CAS  Google Scholar 

  36. Moynihan M. R., Pappenheimer A. M. (1981) Kinetics of adenosinediphosphoribosylation of elongation factor 2 in cells exposed to diphtheria toxin. Infect. Immun. 32:575–582

    PubMed  CAS  Google Scholar 

  37. Olsnes S., Sandvig K., Refsnes K., Pihl A. (1976) Rates of different steps involved in the inhibition of protein synthesis by the toxic lectins brin and ricin. J. Biol. Chem. 257:3985–3992

    Google Scholar 

  38. Onda M., Kreitman R. J., Vasmatzis G., Lee B., Pastan I. (1999) Reduction of the nonspecific animal toxicity of anti-Tac(Fv)-PE38 by mutations in the framework regions of the Fv which lower the isoelectric point. J. Immunol. 163:6072–6077

    PubMed  CAS  Google Scholar 

  39. Onda M., Nagata S., Tsutsumi Y., Vincent J. J., Wang Q.-C., Kreitman R. J., Lee B., Pastan I. (2001) Lowering the isoelectric point of the Fv portion of recombinant immunotoxins leads to decreased nonspecific animal toxicity without affecting anti-tumor activity. Cancer Res. 61:5070–5077

    PubMed  CAS  Google Scholar 

  40. Pai L. H., Janendra K. B., FitzGerald D. J., Willingham M. C., Pastan I. (1991) Anti-tumor activities of immunotoxins made of monoclonal antibody B3 and various forms of Pseudomonas exotoxin. Proc. Natl. Acad. Sci. USA 88:3358–3362

    PubMed  Article  CAS  Google Scholar 

  41. Press W. H., Teukolsky S. A., Vetterling W. T., Flannery B. P. (1996) Numerical Recipes in Fortran 90. 2nd Edition. Cambridge University Press, New York

    Google Scholar 

  42. Reiter Y., Brinkmann U., Jung S.-H., Lee B., Kasprzyk P. G., King C. R., Pastan I. (1994) Improved binding and antitumor activity of a recombinant anti-erbB2 immunotoxin by disulfide stabilization of the Fv fragment. J. Biol. Chem. 269:18327–18331

    PubMed  CAS  Google Scholar 

  43. Reiter Y., Brinkmann U., Kreitman R. J., Jung S.-H., Lee B. K., Pastan I. (1994) Stabilization of the Fv fragments in recombinant immunotoxins by disulfide bonds engineered into conserved framework regions. Biochem. 33:5451–5459

    PubMed  Article  CAS  Google Scholar 

  44. Reiter Y., Kreitman R. J., Brinkmann U., Pastan I. (1994) Cytotoxic and antitumor activity of a recombinant immunotoxin composed of disulfide-stabilized anti-Tac Fv fragment and truncated Pseudomonas exotoxin. Int. J. Cancer 58:142–149

    PubMed  Article  CAS  Google Scholar 

  45. Reiter Y., Pai L. H., Brinkmann U., Wang Q.-C., Pastan I. (1994) Antitumor activity and pharmacokinetics in mice of a recombinant immunotoxin containing a disulfide-stabilized Fv fragment. Cancer Res. 54:2714–2718

    PubMed  CAS  Google Scholar 

  46. Reiter Y., Pastan I. (1998) Recombinant Fv immunotoxins and Fv fragments as novel agents for cancer therapy and diagnosis. Trends Biotechnol. 16:513–520

    PubMed  Article  CAS  Google Scholar 

  47. Rippley R. K., Stokes C. L. (1995) Effects of cellular pharmacology on drug distribution in tissues. Biophys. J. 69:825–839

    PubMed  CAS  Article  Google Scholar 

  48. Rönnberg B. J., Middlebrook J. L. (1989) Cellular regulation of diphtheria toxin cell surface receptors. Toxicon 27:1377–1388

    PubMed  Article  Google Scholar 

  49. Salvatore G., Beers R., Margulies I., Kreitman R. J., Pastan I. (2002) Improved cytotoxicity activity toward cell lines and fresh leukemia cells of a mutant anti-CD22 immunotoxin obtained by antibody phage display. Clin. Cancer Res. 8:995–1002

    PubMed  CAS  Google Scholar 

  50. Skretting G., Torgersen M. L., Van Deurs B., Sandvig K. (1999) Endocytosis mechanisms responsible for GPI-linked diphtheria toxin receptor. J. Cell Sci. 112:3899–3909

    PubMed  CAS  Google Scholar 

  51. Sung C., Shockley T. R., Morrison P. F., Dvorak H. F., Yarmush M. L., Dedrick R. L. (1992) Predicted and observed effects of antibody and antigen density on monoclonal antibody uptake in solid tumors. Cancer Res. 52:377–384

    PubMed  CAS  Google Scholar 

  52. Tsutsumi Y., Onda M., Nagata S., Lee B., Kreitman R. J., Pastan I. (2000) Site-specific chemical modification with polyethylene glycol of recombinant immunotoxin anti-Tac(Fv)-PE38 (LMB-2) improves antitumor activity and reduces animal toxicity and immunogenicity. Proc. Natl. Acad. Sci. USA 97:8548–8553

    PubMed  Article  CAS  Google Scholar 

  53. Uchida T., Pappenheimer A. M., Harper A. A. (1973) Diphtheria toxin and related proteins. II. Kinetic studies on intoxication of Hela cells by diphtheria toxin and related proteins. J. Biol. Chem. 248:3845–3850

    PubMed  CAS  Google Scholar 

  54. Van Horssen P. J., Van Oosterhout Y. V., De Witte T., Preijers F. W. (1995) Cytotoxic potency of CD22-ricin A depends on intracellular routing rather than on the number of internalized molecules. Scand. J. Immunol. 41:563–569

    PubMed  Article  CAS  Google Scholar 

  55. Vargova L., Homola A., Zamecnik J., Tichy M., Benes V., Sykova E. (2003) Diffusion parameters of the extracellular space in human gliomas. Glia 42:77–88

    PubMed  Article  Google Scholar 

  56. Vincensini D., Dedieu V., Eliat P. A., Vincent C., Bailly C., de Certaines J., Joffre F. (2007) Magnetic resonance imaging measurements of vascular permeability and extracellular volume fraction of breast tumors by dynamic Gd-DTPA-enhanced relaxometry. Magn. Reson. Imaging 25: 293–302

    PubMed  Article  CAS  Google Scholar 

  57. Weinstein J. N., VanOsdol W. (1992) Early intervention in cancer using monoclonal antibodies and other biological ligands: micropharmacology and the “binding site barrier”. Cancer Res. 52:2747s–2751s

    PubMed  CAS  Google Scholar 

  58. Wenning L. A., Murphy R. M. (1999) Coupled cellular trafficking and diffusional limitations in delivery of immunotoxins to multicell tumor spheroids. Biotechnol. Bioeng. 62:562–575

    PubMed  Article  CAS  Google Scholar 

  59. Yuan F., Leunig M., Berk D. A., Jain R. K. (1993) Microvascular permeability of albumin, vascular surface area, and vascular volume measured in human adenocarcinoma LS174T using dorsal chamber in SCID mice. Microvasc. Res. 45:269–289

    PubMed  Article  CAS  Google Scholar 

Download references

Author information

Affiliations

Authors

Corresponding author

Correspondence to Kevin C. Chen.

Rights and permissions

Reprints and Permissions

About this article

Cite this article

Chen, K.C., Kim, J., Li, X. et al. Modeling Recombinant Immunotoxin Efficacies in Solid Tumors. Ann Biomed Eng 36, 486–512 (2008). https://doi.org/10.1007/s10439-007-9425-4

Download citation

  • Received:

  • Accepted:

  • Published:

  • Issue Date:

  • DOI: https://doi.org/10.1007/s10439-007-9425-4

Keywords

  • Recombinant immunotoxin
  • Solid tumor
  • Binding site barriers
  • Modeling
  • Simulations