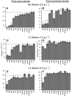
Abstract
Past studies have found a heterogeneous distribution of the amphibian chytrid fungal pathogen, Batrachochytrium dendrobatidis (Bd). Recent studies have accounted for some of this heterogeneity through a positive association between canopy cover and Bd abundance, which is attributed to the cooling effect of canopy cover. We questioned whether leaf litter inputs that are also associated with canopy cover might also alter Bd growth. Leaf litter inputs exhibit tremendous interspecific chemical variation, and we hypothesized that Bd growth varies with leachate chemistry. We also hypothesized that Bd uses leaf litter as a growth substrate. To test these hypotheses, we conducted laboratory trials in which we exposed cultures of Bd to leachate of 12 temperate leaf litter species at varying dilutions. Using a subset of those 12 litter species, we also exposed Bd to pre-leached litter substrate. We found that exposure to litter leachate and substrate reduced Bd spore and sporangia densities, although there was substantial variation among treatments. In particular, Bd densities were inversely correlated with concentrations of phenolic acids. We conducted a field survey of phenolic concentrations in natural wetlands which verified that the leachate concentrations in our lab study are ecologically relevant. Our study reinforces prior indications that positive associations between canopy cover and Bd abundance are likely mediated by water temperature effects, but this phenomenon might be counteracted by changes in aquatic chemistry from leaf litter inputs.




Similar content being viewed by others
References
Abrams MD (2003) Where has all the white oak gone? Bioscience 53:927-939
Becker CG, Zamudio KR (2011) Tropical amphibian populations experience higher disease risk in natural habitats. Proceedings of the National Academy of Science 108:9893–9898
Becker CG, Rodriguez D, Longo AV, Talaba AL, Zamudio KR (2012) Disease risk in temperate amphibian populations is higher at closed-canopy sites. PLoS ONE 7:e48205
Becker CG, Rodriguez D, Longo AV, Toledo LF, Lambertini C, Leite DS, Haddad CFB, Zamudio KR (2015) Deforestation, host community structure, and amphibian disease risk. Basic and Applied Ecology doi:10.1016/j.baae.2015.08.004
Benjamini Y, Hochberg Y (1995) Controlling the false discovery rate: a practical and powerful approach to multiple testing. Journal of the Royal Statistical Society, Series B (Methodological) 57:289-300
Bosch J, Carrascal LM, Durán L, Walker S, and Fisher MC (2007) Climate change and outbreaks of amphibian chytridiomycosis in a montane area of Central Spain; is there a link? Proceedings of the Royal Society B 274:253-260
Bradley PW, Gervasi SS, Hua J, Cothran RD, Relyea RA, Olson DH, Blaustein AR (2015) Differences in sensitivity to the fungal pathogen Batrachochytrium dendrobatidis among amphibian populations. Conservation Biology 29:1347-1356
Carey C, Cohen N, Rollins-Smith L (1999) Amphibian declines: an immunological perspective. Developmental and Comparative Immunology 23:459-472
Clesceri LS, Eaton AD (1998) Standard Methods for Examination of Water and Wastewater, 20th edn. American Public Health Association, Washington DC
Davidson EW, Larsen A, Palmer CM (2012) Potential influence of plant chemicals on infectivity of Batrachochytrium dendrobatidis. Diseases of Aquatic Organisms 101:87-93
Earl JE, Semlitsch RD (2015) Effect of tannin source and concentration from tree leaves on two species of tadpoles. Environmental Toxicology and Chemistry 34:120-126
Fisher MC, Garner TWJ (2007) The relationship between the emergence of Batrachochytrium dendrobatidis, the international trade in amphibians and introduce amphibian species. Fungal Biology Reviews 21:2-9
Fox J, Weisberg S (2010) An R companion to applied regression. 2nd edition. Sage Publishing, Thousand Oaks.
Freda J, Dunson WA (1986) Effects of low pH and other chemical variables on the local distribution of amphibians. Copeia 2:454-466
Graça MAS, Bärlocher F, Gessner MO (2005) Methods to Study Litter Decomposition: A Practical Guide. Springer, Dordrecht
Johnson PCD (2014) Extension of Nakagawa & Schielzeth’s \( {\text{R}}^{ 2}_{\text{GLMM}} \) to random slopes models. Methods in Ecology and Evolution 5:944-946
Kuiters AT, Sarink HM (1986) Leaching of phenolic compounds from leaf and needle litter of several deciduous and coniferous trees. Soil Biology and Biochemistry 5:475-480
Laurance WF (2008) Global warming and amphibian extinctions in eastern Australia. Austral Ecology 33:1-9
Lavergne S, Molofsky J (2004) Reed canary grass (Phalaris arundinacea) as a biological model in the study of plant invasions. Critical Reviews in Plant Sciences 23:415-429
Lenker MA, Savage AE, Becker CG, Rodriguez D, Zamudio KR (2014) Batrachochytrium dendrobatidis infection dynamics vary seasonally in upstate New York, USA. Diseases of Aquatic Organisms 111:51-60
Li S, Shah NP (2013) Effects of various heat treatments on phenolic profiles and antioxidant activities of Pleurotus eryngii extracts. Journal of Food Science 78:C1122-C1129
Lips KR, Brem F, Brenes R, Reeve JD, Alford RA, Voyles J, Carey C, Livo L, Pessier AP, Collins JP (2006) Emerging infectious disease and the loss of biodiversity in a Neotropical amphibian community. Proceedings of the National Academic of Sciences 103:3165-3170
Liu X, Rohr JR, Li Y (2013) Climate, vegetation, introduced hosts and trade shape a global wildlife pandemic. Proceedings of the Royal Society B 280:20122506
Maerz JC, Brown CJ, Chapin CT, Blossey B (2005) Can secondary compounds of an invasive plant affect larval amphibians? Functional Ecology 19:970-975
Martin LJ, Blossey B (2013) Intraspecific variation overrides origin effects in impacts of litter-derived secondary compounds on larval amphibians. Oecologia 173:449-459
McArthur MD, Richardson JS (2007) Microbial utilization of dissolved organic carbon leached from riparian litterfall. Canadian Journal of Fisheries and Aquatic Science 59:1668-1676
Moser WK, Barnard EL, Billings RF, Crocker SJ, Dix ME, Gray AN, Ice GG, Kim M, Reid R, Rodman SU, McWilliams WH (2009) Impacts of nonnative invasive species on US forests and recommendations for policy and management. Journal of Forestry 107:320-327
Nicolai V (1988) Phenolic and mineral content of leaves influences decomposition in European forest ecosystems. Oecologia 75:575-579
Ostrofsky ML (1993) Effect of tannins on leaf processing and conditioning rates in aquatic ecosystems: an empirical approach. Canadian Journal of Fisheries and Aquatic Sciences 50:1176-1180
Ostrofsky ML (1997) Relationship between chemical characteristics of autumn-shed leaves and aquatic processing rates. Journal of the North American Benthological Society 16:750-759
Pinheiro J, Bates D, DebRoy S, Sarkar D (2013) nlme: linear and nonlinear mixed effect models. R package version 3.1-103. R Foundation for Statistical Computing, Vienna
Piotrowski JS, Annis SL, Longcore JE (2004) Physiology of Batrachochytrium dendrobatidis, a chytrid pathogen of amphibians. Mycologia 96:9-15
Polis GA, Anderson WB, Holt RD (1997) Toward an integration of landscape and food web ecology: the dynamics of spatially subsidized food webs. Annual Review of Ecology and Systematics 28:289-316
Pounds JA, Bustamante MR, Coloma LA, Consuegra JA, Fogden MPL, Foster PN, La Marca E, Masters KL, Merino-Viteri A, Puschendorf R, Ron SR, Sánchez-Azofeifa GA, Still CJ, Young BE (2006) Widespread amphibian extinctions from epidemic disease driven by global warming. Nature 439:161-167
R Development Core Team (2014) R: A language and environment for statistical computing. R Foundation for Statistical Computing, Vienna, Austria. Version 3.1.2.
Raffel TR, Michel PJ, Sites EW, Rohr JR (2010) What drives chytrid infections in newt populations? Associations with substrate, temperature, and shade. EcoHealth 7:526-536
Raffel TR, Romansic JM, Halstead NT, McMahon TA, Venesky MD, Rohr JR (2013) Disease and thermal acclimation in a more variable and unpredictable climate. Nature Climate Change 3:146-151
Rubbo MJ, Belden LK, Kiesecker JM (2008) Differential responses of aquatic consumers to variations in leaf-litter inputs. Hydrobiologia 605:37-44
Skelly DK, Golon J (2003) Assimilation of natural benthic substrates by two species of tadpoles. Hydrobiologia 59:37-42
Stephens JP, Berven KA, Tiegs SD (2013) Anthropogenic changes to leaf litter input affect the fitness of a larval amphibian. Freshwater Biology 58:1631-1646
Stoler AB, Relyea RA (2011) Living in the litter: the influence of tree litter on wetland communities. Oikos 120:862-872
Stoler AB, Relyea RA (2016) Leaf litter species identity alters the structure of pond communities. Oikos 120(6):862-872
Stout J (1989) Effects of condensed tannins on leaf processing in mid-latitude and tropical streams: a theoretic approach. Canadian Journal of Fisheries and Aquatic Sciences 46:1097-1106
Tuchman NC, Wetzel RG, Rier ST, Wahtera KA, Teer JA (2002) Elevated atmospheric CO2 lowers leaf litter nutritional quality for stream ecosystem food webs. Global Change Biology 8:163-170
Whiles MR, Lips KR, Pringle CM, Kilham SS, Bixby RJ, Brenes R, Connelly S, Colon-Gaud JC, Hunte-Brown M, Huryn AD, Montgomery C, Peterson S (2006) The effects of amphibian population declines on the structure and function of neotropical stream ecosystems. Frontiers in Ecology and the Environment 4:27-34
Acknowledgments
We thank Karie Altman, Shannon Bellinger, Aaron Fetzer, and Jeffrey Stephens for assistance with conducting the experiment. This study was funded by an NSF grant to TRR (IOS-1121529).
Author information
Authors and Affiliations
Corresponding author
Rights and permissions
About this article
Cite this article
Stoler, A.B., Berven, K.A. & Raffel, T.R. Leaf Litter Inhibits Growth of an Amphibian Fungal Pathogen. EcoHealth 13, 392–404 (2016). https://doi.org/10.1007/s10393-016-1106-z
Received:
Revised:
Accepted:
Published:
Issue Date:
DOI: https://doi.org/10.1007/s10393-016-1106-z


