Abstract
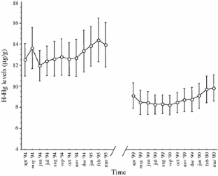
Since 1995, the Caruso Project used an Ecosystem Approach to Human Health to examine mercury (Hg) exposure in fish-eating communities in the Brazilian Amazon and develop interventions to maximise nutrition from traditional diet and minimise toxic risk. In 1995, 2000 and 2006, this study followed fish consumption, Hg levels, and visual and motor functions in 31 villagers. Questionnaires gathered information on socio-demographics and diet. Hair Hg (H-Hg) levels were measured. Visual acuity, colour vision, manual dexterity and grip strength were assessed. Data was analysed using general linear models of repeated measures. Total fish consumption, similar in 1995 and 2000, decreased in 2006. Carnivorous fish consumption initially decreased and then remained stable, whereas non-carnivorous fish consumption first increased and then decreased. H-Hg declined from 17.6 to 7.8 μg/g. Visual functions showed a significant decrease over time, with those with H-Hg ≥ 20 μg/g in 1995 showing greater loss. Motor functions showed initial improvement and then returned to the 1995 performance level. Decrease in Hg exposure is attributed to the intervention and socio-economic changes in the village. While there may be a certain reversibility of motor deficits, visual capacities may decrease progressively with respect to exposure prior to the intervention.





Similar content being viewed by others
Explore related subjects
Discover the latest articles and news from researchers in related subjects, suggested using machine learning.References
Beliveau A, Lucotte M, Davidson R, Lopes LO, Paquet S. 2009. Early Hg mobility in cultivated tropical soils one year after slash-and-burn of the primary forest, in the Brazilian Amazon. Sci Total Environ 407(15):4480-4489.
Bloom N, Fitzgerald WF. 1988. Determination of volatile mercury species at the picogram level by low-temperature gas chromatography with cold-vapour atomic fluorescence detection. Analytica Chimica Acta 208:151-161.
Bowman KJ. 1982. A method for quantitative scoring of the Farnsworth-Munsell Panel D-15. Acta Ophtalmologica 60:907-912.
Burbacher TM, Grant KS, Mayfield DB, Gilbert SG, Rice DC. 2005. Prenatal methylmercury exposure affects spatial vision in adult monkeys. Toxicol Appl Pharmacol 208(1):21-28.
Castoldi AF, Onishchenko N, Johansson C, Coccini T, Roda E, Vahter M, et al. 2008. Neurodevelopmental toxicity of methylmercury: Laboratory animal data and their contribution to human risk assessment. Regul Toxicol Pharmacol 51(2):215-229.
Chevrier C, Sullivan K, White RF, Comtois C, Cordier S, Grandjean P. 2009. Qualitative assessment of visuospatial errors in mercury-exposed Amazonian children. Neurotoxicology 30(1):37-46.
Cordier S, Garel M, Mandereau L, Morcel H, Doineau P, Gosme-Seguret S, et al. 2002. Neurodevelopmental investigations among methylmercury-exposed children in French Guiana. Environ Res 89(1):1-11.
Counter SA. 2003. Neurophysiological anomalies in brainstem responses of mercury-exposed children of Andean gold miners. J Occup Environ Med 45(1):87-95.
da Costa GM, dos Anjos LM, Souza GS, Gomes BD, Saito CA, Pinheiro Mda C, et al. 2008. Mercury toxicity in Amazon gold miners: visual dysfunction assessed by retinal and cortical electrophysiology. Environ Res 107(1):98-107.
Demeda K. 2010. Quanto vale uma “onça”? Os significados das relações entre os Brasilienses e as suas paisagens na região do Tapajós, Oeste do Pará Belém, Brasil:Universidade Federal do Pará.
Dolbec J, Mergler D, Sousa Passos CJ, Sousa de Morais S, Lebel J. 2000. Methylmercury exposure affects motor performance of a riverine population of the Tapajos river, Brazilian Amazon. Int Arch Occup Environ Health 73(3):195-203.
Farant JP, Brissette D, Moncion L, Bigras L, Chartrand A. 1981. Improved cold-vapor atomic absorption technique for the microdetermination of total and inorganic mercury in biological samples. Journal of Analytical Toxicology 5(1):47-51.
Farella N, Lucotte M, Davidson R, Daigle S. 2006. Mercury release from deforested soils triggered by base cation enrichment. Sci Total Environ 368(1):19-29.
Fearnside PM. 2002. Avanca Brasil: environmental and social consequences of Brazil’s planned infrastructure in Amazonia. Environ Manage 30(6):735-747.
Feitosa-Santana C, Barboni MT, Oiwa NN, Paramei GV, Simoes AL, Da Costa MF, et al. 2008. Irreversible color vision losses in patients with chronic mercury vapor intoxication. Vis Neurosci 25(3):487-491.
Feitosa-Santana C, Costa MF, Lago M, Ventura DF. 2007. Long-term loss of color vision after exposure to mercury vapor. Braz J Med Biol Res 40(3):409-414.
Ferreira E, Zuanon J, Santos G. 1998. Peixes comerciais do Médio Amazonas, Região de Santarém(PA). Brasília:IBAMA.
Fillion M, Mergler D, Sousa Passos CJ, Larribe F, Lemire M, Guimaraes JR. 2006. A preliminary study of mercury exposure and blood pressure in the Brazilian Amazon. Environ Health 5:29.
Forget G, Lebel J. 2003. Approche écosystémique à la santé humaine. In: Environnement et santé publique: Fondements et pratiques (Gérin M, Gosselin P, Cordier S, Viau C, Quénel P, Dewailly É, eds). Sainte-Hyacinthe, Québec:Edisem, 593-638.
Grandjean P, White RF, Nielsen A, Cleary D, de Oliveira Santos EC. 1999. Methylmercury neurotoxicity in Amazonian children downstream from gold mining. Environ Health Perspect 107(7):587-591.
Guimaraes JR, Roulet M, Lucotte M, Mergler D. 2000. Mercury methylation along a lake-forest transect in the Tapajos river floodplain, Brazilian Amazon: seasonal and vertical variations. Sci Total Environ 261(1-3):91-98.
Hänninen H, Lindstrom K. 1979. Behavioral test battery for toxicopsychological studies. Helsinki: Institute of Occupational Health.
Harada M. 1997. Neurotoxicity of methylmercury; Minamata and the Amazon. In: Mineral and Metal Neurotoxicology (Yasui M, Strong M, Ota K, Verity M, eds). Boca Raton, Florida:CRC Press, 177-188.
Lacerda LD, Bidone ED, Guimaraes AF, Pfeiffer WC. 1994. Mercury concentrations in fish from the Itacaiunas-Parauapebas River system, Carajas region, Amazon. An Acad Bras Cienc 66(3):373-379.
Langolf GD, Chaffin DB, Henderson R, Whittle HP. 1978. Evaluation of workers exposed to elemental mercury using quantitative tests of tremor and neuromuscular functions. Am Ind Hyg Assoc J 39(12):976-984.
Lanthony P. 1978. The new color test. Documenta Ophthalmologica 46(1):191-199.
Lebel J, Mergler D, Branches F, Lucotte M, Amorim M, Larribe F, et al. 1998. Neurotoxic effects of low-level methylmercury contamination in the Amazonian Basin. Environ Res 79(1):20-32.
Lebel J, Mergler D, Lucotte M, Amorim M, Dolbec J, Miranda D, et al. 1996. Evidence of early nervous system dysfunction in Amazonian populations exposed to low-levels of methylmercury. Neurotoxicology 17(1):157-167.
Lebel J, Roulet M, Mergler D, Lucotte M, Larribe F. 1997. Fish diet and mercury exposure in a riparian amazonian population. Water, Air and Soil Pollution 97:31-44.
Lemire M, Fillion M, Barbosa F Jr, Guimaraes JR, Mergler D (2010a) Elevated levels of selenium in the typical diet of Amazonian riverside populations. Science of the Total Environment 408(19):4076–4084
Lemire M, Fillion M, Frenette B, Mayer A, Philibert A, Passos CJ, et al. (2010b) Selenium and mercury in the Brazilian Amazon: opposing influences on age-related cataracts. Environment Health Perspectives 118(11):1584–1589
Lemire M, Fillion M, Frenette B, Passos CJ, Guimarães JR, Barbosa Jr F, et al. (2011) Selenium from dietary sources and motor functions in the Brazilian Amazon. Neurotoxicology [Epub ahead of print]
Malm O, Branches FJ, Akagi H, Castro MB, Pfeiffer WC, Harada M, et al. 1995. Mercury and methylmercury in fish and human hair from the Tapajos river basin, Brazil. Sci Total Environ 175(2):141-150.
Mertens F, Saint-Charles J, Lucotte M, Mergler D. 2008. Emergence and robustness of a community discussion network on mercury contamination and health in the Brazilian Amazon. Health Educ Behav 35(4):509-521.
Mertens F, Saint-Charles J, Mergler D, Passos CJ. 2005. Network Approach for Analyzing and Promoting Equity in Participatory Ecohealth Research. EcoHealth 2:113-126.
Miller JM, Chaffin DB, Smith RG. 1975. Subclinical psychomotor and neuromuscular changes in workers exposed to inorganic mercury. Am Ind Hyg Assoc J 36(10):725-733.
Murata K, Weihe P, Renzoni A, Debes F, Vasconcelos R, Zino F, et al. 1999. Delayed evoked potentials in children exposed to methylmercury from seafood. Neurotoxicol Teratol 21(4):343-348.
Murray TP, Sánchez-Choy J. 2001. Health, biodiversity, and natural resource use on the Amazon frontier: an ecosystem approach. Cadernos de Saúde Pública 17(Suppl.):181-191.
Nielsen NO. 2001. Ecosystem approaches to human health. Cad Saude Publica 17 Suppl:69-75.
Ninomiya T, Imamura K, Kuwahata M, Kindaichi M, Susa M, Ekino S. 2005. Reappraisal of somatosensory disorders in methylmercury poisoning. Neurotoxicol Teratol 27(4):643-653.
Passos CJ, Da Silva DS, Lemire M, Fillion M, Guimaraes JR, Lucotte M, et al. 2008. Daily mercury intake in fish-eating populations in the Brazilian Amazon. J Expo Sci Environ Epidemiol 18(1):76-87.
Passos CJ, Mergler D. 2008. Human mercury exposure and adverse health effects in the Amazon: a review. Cad Saude Publica 24 Suppl 4:s503-520.
Passos CJ, Mergler D, Fillion M, Lemire M, Mertens F, Guimaraes JR, et al. 2007. Epidemiologic confirmation that fruit consumption influences mercury exposure in riparian communities in the Brazilian Amazon. Environ Res 105(2):183-193.
Passos CJ, Mergler D, Gaspar E, Morais S, Lucotte M, Larribe F, et al. 2003. Eating tropical fruit reduces mercury exposure from fish consumption in the Brazilian Amazon. Environ Res 93(2):123-130.
Pfeiffer WC, de Lacerda LD, Malm O, Souza CM, da Silveira EG, Bastos WR. 1989. Mercury concentrations in inland waters of gold-mining areas in Rondonia, Brazil. Sci Total Environ 87-88:233-240.
Rice DC. 1989. Delayed neurotoxicity in monkeys exposed developmentally to methylmercury. Neurotoxicology 10(4):645-650.
Rice DC. 1998. Age-related increase in auditory impairment in monkeys exposed in utero plus postnatally to methylmercury. Toxicol Sci 44(2):191-196.
Rice DC, Gilbert SG. 1992. Exposure to methyl mercury from birth to adulthood impairs high-frequency hearing in monkeys. Toxicol Appl Pharmacol 115(1):6-10.
Rice DC, Hayward S. 1999. Comparison of visual function at adulthood and during aging in monkeys exposed to lead or methylmercury. Neurotoxicology 20(5):767-784.
Rodrigues AR, Souza CR, Braga AM, Rodrigues PS, Silveira AT, Damin ET, et al. 2007. Mercury toxicity in the Amazon: contrast sensitivity and color discrimination of subjects exposed to mercury. Braz J Med Biol Res 40(3):415-424.
Roulet M, Lucotte M, Canuel R, Farella N, Courcelles M, Guimarães JRD, et al. 2000. Increase in mercury contamination recorded in lacustrine sediments following deforestation in the central Amazon. Chemical Geology 165:243-261.
Roulet ML, M., Farella N, Serique G, Coelho H, Passos CJS, de Jesus da Silva E, et al. 1999. Effects of recent human colonization on the presence of mercury in Amazonian ecosystems. Water, Air and Soil Pollution 112:297-313.
Sampaio da Silva D, Lucotte M, Paquet S, Davidson R. 2009. Influence of ecological factors and of land use on mercury levels in fish in the Tapajos River basin, Amazon. Environ Res 109(4):432-446.
Stevens J. 1996. Applied multivariate statistics for the social sciences. Mahwah, NJ:Lawrence Erlbaum.
Takeuchi T, Eto K, Tokunaga H. 1989. Mercury level and histochemical distribution in a human brain with Minamata disease following a long-term clinical course of twenty-six years. Neurotoxicology 10(4):651-657.
USEPA. 2001. Water Quality Criterion for the Protection of Human Health: Methylmercury (Technology OoSa, Water Oo, eds):U.S. Environmental Protection Agency Washington, DC 20460.
Vandervoort AA. 2002. Aging of the human neuromuscular system. Muscle Nerve 25(1):17-25.
Webb JC, Mergler D, Parkes MW, Saint-Charles J, Spiegel J, Waltner-Toews D, et al. 2010. Tools for thoughtful action: the role of ecosystem approaches to health in enhancing public health. Can J Public Health 101(6):439-441.
WHO (1989) Environmental Health Criteria 86: Mercury: environmental aspects. Geneva.
Yokoo EM, Valente JG, Grattan L, Schmidt SL, Platt I, Silbergeld EK. 2003. Low level methylmercury exposure affects neuropsychological function in adults. Environ Health 2(1):8.
Acknowledgments
We thank all the villagers that participated to this study, as well as the Brazilian field assistants. We are particularly grateful to the precious administrative work of Marie-Ève Thibault. We also thank the International Development Research Center (IDRC) and the Canadian Institutes of Health Research (CIHR) for their funding, and Health Canada for giving access to their laboratory facilities.
Author information
Authors and Affiliations
Corresponding author
Rights and permissions
About this article
Cite this article
Fillion, M., Philibert, A., Mertens, F. et al. Neurotoxic Sequelae of Mercury Exposure: An Intervention and Follow-up Study in the Brazilian Amazon. EcoHealth 8, 210–222 (2011). https://doi.org/10.1007/s10393-011-0710-1
Received:
Revised:
Accepted:
Published:
Issue Date:
DOI: https://doi.org/10.1007/s10393-011-0710-1


