Abstract
Background
Maintaining and improving quality of life (QOL) in older people are among the goals of clinical management, achieved mainly through preventive care.
Objective
To analyze the association of individual-level disability and country-level health funding characteristics with the utilization of preventive care measures, including flu vaccines, eye exams, and dental care.
Design and setting
Data from the cross-sectional SHARE study (pre-COVID wave 8) were analyzed using a multi-level econometric approach. Explanatory variables included Activities of Daily Living (ADL) and Instrumental Activities of Daily Living (IADL) disability reported by individuals and government health expenditure (GHE).
Subjects
The study included 46,498 participants 50 years and older residing in 27 high/middle income countries.
Results
Preventive care utilization greatly varied between countries; flu vaccinations ranged from 3–60%, eye exams from 17–77%, and dental care from 14–86%. Disability prevalence ranged from 7 to 26%. Individual-level analysis revealed a negative correlation between disability and all preventive care measures. Country-level analysis showed a positive and significant correlation between GHE and preventive care. The disability and GHE interaction analysis showed that for eye exams and dental care, higher GHE and lower disability led to higher utilization of preventive care. Contrastingly, in the case of flu vaccines in high GHE countries, higher disability correlated with higher care utilization.
Conclusions
Our findings emphasize the role of healthcare funding in enhancing preventive care use among older adults, though disparities remain for those with disabilities. Tailored policies addressing disability and healthcare investment can improve QOL through accessible preventive care among disabled populations.
Similar content being viewed by others
Avoid common mistakes on your manuscript.
Background
Introduction
As life expectancy worldwide is rising, the maintenance and improvement of the quality of life (QOL) of older adults are among the goals of clinical management (Netuveli and Blane 2008). This goal is achieved mainly through preventive care, looking not only to prevent premature morbidity and mortality but also to minimize discomfort, disability, and dependency caused by existing disease (Goldberg and Chavin 1997), thus having an impact on QOL. The current study analyzed data from the SHARE survey (Bergmann et al. 2022), focusing on preventive care measures that maintain and improve QOL of older individuals. The study objective is to analyze the association of self-perceived Activities of Daily Living (ADL) and Instrumental Activities of Daily Living (IADL) disability and country-level health funding characteristics with the use of preventive care measures using a multi-level econometric analysis.
Seasonal influenza, visual impairment, and oral health are significant public health concerns of older adults, with preventive healthcare playing a crucial role in reducing morbidity and mortality, particularly among people with chronic conditions. Despite the importance of preventive measures such as vaccinations, eye exams, and dental care, access to these services is influenced by individual and country-level factors, creating disparities in healthcare utilization.
Seasonal influenza remains a major public health challenge worldwide, causing about one billion infections, 3–5 million cases of severe illness, and up to 650,000 respiratory deaths annually (WHO 2023). Owing to influenza-related complications that may lead to health and functional deterioration (Andrew et al. 2019), vaccination is widely recognized as the most effective preventive measure, particularly for high-risk populations, including older adults and those with chronic health conditions. Flu vaccination can significantly reduce the risks of morbidity, hospitalization, and mortality (Baxter et al. 2010), and it is strongly recommended annually for at-risk individuals (ACIP 2023; EMA 2024; WHO 2024a).
Flu vaccine utilization varies across populations and is influenced by several factors. Individual characteristics, such as income, education, and occupational status, as well as country-level factors such as healthcare systems, public funding, and the availability of primary care practitioners, play key roles in determining vaccination rates (Liao et al. 2021; Parekh et al. 2022; Ecdc 2023; Jemna et al. 2024). This highlights a complex interplay between individual circumstances and broader systemic factors that can either facilitate or hinder access to vaccination.
Vision impairment is another major health issue that disproportionately affects the QOL of older people. According to the WHO, at least 2.2 billion people globally experience some form of vision impairment, with over one billion cases being preventable or treatable, particularly in low- and middle-income countries (WHO 2019). Among age-related conditions contributing to visual impairment are macular degeneration, cataracts, glaucoma, and diabetic retinopathy (Kergoat et al. 2015; WHO 2019). A combination of eye diseases is more frequent with age (Reitmeir et al. 2017). The WHO recommends regular eye exams for older adults, typically annually or bi-annually, for early diagnosis and treatment (Kergoat et al. 2015; WHO 2019). Individual and country-level factors such as gender, education, rural residence, and health expenditure were previously linked to eye exam utilization (Vela et al. 2012; Ervin et al. 2022; Solomon et al. 2022; Bhatnagar et al. 2024).
Poor oral health can significantly impact QOL, affecting essential functions such as speaking and breathing. Among older adults, oral health becomes even more critical, as they are at higher risk for oral diseases, including infections that can lead to complications such as tooth loss, the spread of infection to artificial joints and endocardial implants, and heart disease (Coll et al. 2020). It is estimated that 3.5 billion people suffer from oral diseases worldwide, particularly in low and middle-income countries (WHO 2024b). In long-term care facilities, residents usually enter with the majority of their natural teeth, and residents with good oral care require fewer healthcare dollars (Haumschild and Haumschild 2009). Although preventive care is vital to maintaining oral and overall health in older adults, access to dental care varies significantly, correlated to individual characteristics, such as income and education, more than to the existence of public insurance (Manski et al. 2016).
Disability and utilization of preventive care
Disability, whether physical or cognitive, also impacts access to preventive healthcare. Measures such as the ADL and IADL scales are commonly used to assess the functional limitations of individuals (Katz et al. 1963; Lawton and Brody 1969). Several studies have looked at the effect of disabilities on preventive care utilization. Diab and Johnston found that people with mild and moderate disability were more likely to receive influenza and pneumonia vaccinations than people without disabilities, yet people with severe disabilities were less frequent (Diab and Johnston 2004). Bocquier and colleagues found that among at-risk groups, people with disabilities were more frequently vaccinated (Bocquier et al. 2017). Other studies reported low flu vaccination rates among people with disability (Chang et al. 2016; Akmatov et al. 2021; Castro et al. 2023). Fang and colleagues studied the association between physical disability and eye care utilization and found that older persons with high ADL scores were less likely to have eye care (OR 0.39, 95%, CI 0.25–0.62), but older persons who had IADL disabilities alone were not associated with lower utilization (OR 0.86, 95% CI 0.61–1.20) (Fang et al. 2012).
Flu vaccination, eye exams, and dental care are essential to maintain health and QOL, particularly for older adults and persons with chronic conditions. However, various individual and country-level factors influence access to these services. In this study, we aim to analyze the association of individual disability and government health expenditure (GHE) with the utilization of three preventive care measures: flu vaccines, eye exams, and dental care.
Methods
Study participants
We obtained the data from the Survey of Age Health and Retirement (SHARE) Wave 8 (before COVID-19) (SHARE-ERIC 2024), (SHARE datasets accompanying documentation https://share-eric.eu/data/data-documentation/release-guides). Data collection was done between October 2019 and March 2020. SHARE is an extensive social science panel survey used to study the effects of health, social, economic, and environmental policies on persons aged 50 years and older. SHARE is at the disposal of registered users under the terms and conditions specified on the projects’ website. Materials harmonization, which are relevant to the dataset used in our study, is disclosed in the survey release guide. Using the unique identifier, we merged the following modules of the SHARE questionnaire: Cover Screen (CV_R), Demographics (DN), Physical Health (PH), and Health Care (HC). Data resulted in approximately 46,500 individuals aged 50 and older from 27 countries participating in pre-COVID wave 8 of the SHARE.
Outcome variables
We choose three self-reported health activities, characterized as preventive and healthcare services, which are particularly important to the QOL of the older population. All three variables are binary, indicating whether the condition is met:
-
1.
Flu Vaccination: Whether the respondent met the condition of having a flu vaccination within the past 12 months.
-
2.
Eye Exam: Whether the respondent met the condition of having had an eye examination by an eye care professional within the past 2 years.
-
3.
Dental Visit: Whether the respondent met the condition of visiting a dentist or dental hygienist for a routine check-up, dentures, or stomatology consultation within the past 12 months.
Explanatory variable
The explanatory variable of our interest in this study was self-reported disability. SHARE participants were asked if they had trouble performing activities from the ADL and/or IDAL list for at least three months due to physical, mental, emotional, or memory problems. The ADL/IADL disability variable was constructed on the basis of the participants’ reports: Participants who reported no ADL disabilities AND one or no IADL disabilities received a value of zero (0). Participants who reported difficulties in at least one ADL OR at least two IADLs received a value of one (1). Participants who reported difficulties in performing at least one ADL AND at least two IADLs received a value of two (2). The ADL/IADL explanatory variable was constructed to identify participants with meaningful difficulties in performing daily activities, providing a more comprehensive measure of functional limitation. We selected these thresholds to distinguish between individuals with mild and more severe levels of disability. Specifically, participants reporting either a single ADL limitation without at least two IADL limitations, or at least two IADL limitations with no ADL limitation, were classified as having a mild disability. In contrast, those reporting at least one ADL limitation along with two or more IADL limitations were classified as having a more severe disability.
Individual-level covariates
The final estimated multivariate models included gender, age at the time of the interview, years of education, unmet needs (Brammli-Greenberg and Hovav 2023), and the number of chronic diseases. Number of children did not correlate with the outcomes and was not included in the multivariate estimation.
Unmet needs is a binary variable that takes a value of 1 for individuals who reported at least one of the following: (1) their household is able to make ends meet only with great difficulty or with some degree of difficulty; (2) during the past year they have kept their homes cold to save on heating costs; or (3) they had forgone care from a general practitioner or a specialist physician, drug treatment, dental care, optical care, home care, paid home help, or some other medical care during the previous year.
Dental and optical care can be expensive for individuals, even in countries with national healthcare coverage. Our dataset includes a specific question on forgoing treatment for these two preventive measures—dental care and optical care—which we examined as potential confounders. These two covariates are derived from the questions: “Did you forgo dental care due to the costs you would have to pay, if any?” and a similar question for optical care (SHARE-ERIC 2024). These covariates allow us to examine the association between forgoing care, specifically due to cost and the tested preventive measures.
Country-level covariates
To test the hypothesis that preventive measure utility would be higher in countries with high investment in health, we included in the analysis two country-level variables that characterize the financial investment of a country in the health system: (1) total health expenditure as a % of GDP (THE) and (2) government health expenditure as a % of GDP (GHE). Data for the year 2019 was obtained from the OECD Health Statistics Library (OECD 2019).
Statistical analysis
We used a multi-level model to account for the data structure of nesting individuals (46,500 participants) within 27 countries. The model enables the capture of variation both between individuals and between countries.
We used three sequential models to estimate the fixed and random effects. Model one examines the within-group variance, as the individual outcomes are nested within the country of residence, showing the individual’s outcome variance compared to the predicted mean outcome of the country of residence. Model two reflects the country’s mean value variation given the country’s health expenditure covariates, while all other covariates are held fixed. Model three examines the variation of the explanatory variable’s slope, which represents the rate of change (i.e., increase or decrease), as a function of the country covariates established in model two.
The three outcomes were binominal with a logit link and estimated using restricted maximum likelihood (REML). For all the regressions, we calculated the random effect parameters, the adjusted intraclass correlation (ICC), the Akaike information criterion (AIC), and the ratio between the marginal R-squared, which considers only the variance of the fixed effects, and the conditional R-squared, which considers both the fixed and random effects. The hypothesis that the intercept variance is not significantly different from zero was assessed by comparing the −2 log-likelihood difference between a model with a random intercept and one with a nonrandom intercept. The variance of the random effect slope and the correlation between the random intercept and the random slope were calculated for models (2) and (3) of the analysis. The analysis was performed using R Software (version 2023.12.1–402).
Results
The study sample consisted of 46,498 participants who are 50 years and older, residing in 27 countries. The mean age was 70.4 years old (SD 9.3), 57% of the participants were women, and the mean number of chronic diseases was 1.94. Thirty-one percent of the participants had unmet needs, 9.7% reported difficulties in at least 1 ADL OR at least 2 IADL (ADL/IADL value = 1), and 7.5% reported difficulties in performing at least 1 ADL AND at least 2 IADLs (ADL/IADL value = 2) (for the descriptive statistics of the participants, see Supplementary Table 1).
Preventive care utilization by country
Supplementary Fig. 1 demonstrates the proportion of participants in each country who reported having had a flu vaccine (average 34%, 3−60%), eye exam (average 49%, 17−77%), and dental care (average 52%, 14−86%). Figure 1 demonstrates high between-country variability. However, no country was an outlier, and therefore, all countries were included in the sample.
ADL/IADL disability by country
Country level analysis shows that the proportion of individuals with ADL/IADL disability among SHARE participants varies between 7 and 26%, with an average of 17% (Fig. 1).
Share of participants reporting ADL/IADL disability (ADL/IADL disability = 1 or 2). ADL refers to people’s everyday self-care activities, such as dressing, walking, grooming, eating, transferring to and from the bed, and toileting, which are fundamental for maintaining independence. The more ADL functions an individual is unable to perform, the worse the disability. IADL refers to ten instrumental abilities to support daily life within the home and community, often requiring more complex interactions than those used in ADLs. These abilities include navigating with a map, preparing a meal, shopping for groceries, making a phone call, taking medicine, doing house and garden work, managing money, using transportation services, and doing laundry. The more IADL functions an individual is unable to perform, the worse the disability
Model 1—individual-level analysis
Table 1 shows the results of the individual-level models. The ADL/IADL disability variable demonstrated a negative correlation with all three preventive care measures, indicating lower utilization among people with disabilities.
Flu vaccines positively and significantly correlated with age, education, and chronic diseases. Eye exams positively and significantly correlated with female gender, age, education, and chronic diseases. Dental care positively and significantly correlated with female gender, education, and chronic diseases and negatively correlated with age.
The intraclass correlation coefficient (ICC) values were the highest for dental care (0.22), followed by flu vaccination (0.2) and eye examinations (0.1).
Forgone treatment due to cost
We tested the potential confounders abovementioned and found that although the results were statistically significant, the number of participants with disability who did not have an eye exam, and also affirmed they had forgone optical care due to the cost of care was very small (158/7893). The same result was found for the dental care (312/7900). (For further detail see Supplementary Table 2 and Supplementary Table 3).
Model 2—country-level analysis
The country-level analysis in Table 2 demonstrates that THE and GHE had positive and significant fixed effects on the outcomes. Notably, the ICC declined from individual models to country-level models in both THE and GHE, pointing to the role of country characteristics in reducing in-between-country variation. The decline in the ICC between the models was most prominent for dental care. Moreover, the results indicate that higher GHE is significantly associated with an increased likelihood of utilizing preventive healthcare services. Specifically, a one-unit increase in GHE is associated with 52% higher odds of receiving dental care (OR 1.52), 28% higher odds of receiving a flu vaccination (OR 1.28), and 23% higher odds of undergoing an eye exam (OR 1.23).
As GHE demonstrated the highest OR and significance in model 2, we applied GHE in the next phase of the analysis (model 3). In this model, we introduced interaction terms between GHE and the disability variable to examine whether a country’s level of government healthcare funding explains the variation in the disability slope across countries (i.e., the differences between countries in the rate of change associated with disability).
Model 3—explanatory variable’s slope as a function of the country GHE
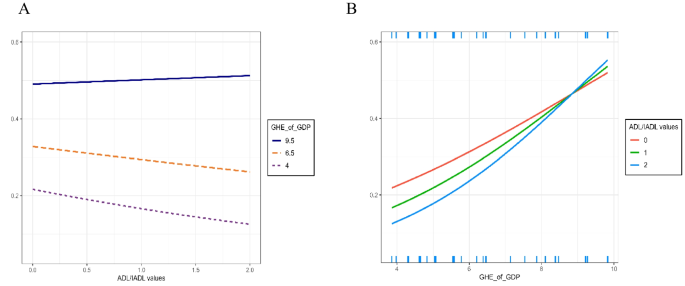
Figures 2, 3, and 4 describe the variation of disability slope as a function of the country’s GHE. The A panels show the slope of the probability of utilization of the tested outcomes for three values of GHE: 4% (low GHE), 6.5% (medium GHE), and 9.5% of GDP (high GHE). B panels show the slope of the probability of utilization of the tested outcomes for the three values of ADL/IADL disability: 0 (no disability), 1 (ADL or IADL disability), or 2 (ADL and IADL disability).
Panel A indicates higher utilization for eye exams (Fig. 2) and dental care (Fig. 3) with higher GHE, though slopes decrease with the rise of disability, confirming the disability’s negative impact. Panel B also shows lower utilization with higher ADL/IADL disability values. Nevertheless, although GHE positively correlated with usage, the utilization gap between individuals with disability and individuals with no disability persisted. Flu vaccination differs (Fig. 4). Panel A shows that higher GHE correlates with higher utilization for all people. In low and medium GHE countries, the slopes suggest utility declines as disability increases, while high (9.5%) GHE shows a positive slope linking disability and uptake. Panel B reveals greater vaccine use for lower disability in low and medium GHE countries and for higher disability in high GHE countries, converging near a GHE of 8.8, indicating a tipping point.
Discussion
The study examined the association of individual-level disability and country-level health expenditure with the utilization of QOL-oriented preventive care measures, specifically flu vaccines, eye exams, and dental care, using a two-level econometric model in three sequential models based on data from the SHARE study (Bergmann et al. 2022). This study joins other studies highlighting disparities in utilization of preventive care among individuals with disabilities (Vela et al. 2012; Jana et al. 2014; Horner-Johnson et al. 2015; Chang et al. 2016; Akmatov et al. 2021; Castro et al. 2023). We found that the significant negative correlation between ADL/IADL disability and preventive care utilization suggests that disabilities act as a barrier to preventive care, specifically to preventive care that is significant to the QOL of the older population.
The design of this study points out an interesting correlation that would otherwise have yet to be seen. Including the country of residency as a nested variable within the regression equation, as seen in the results of the ICC, underscores its contribution to the variation in utilizing the three individual outcomes. The smallest contribution of the country to the variation between individuals was for eye examination, the middle for flu vaccination, and the highest was for dental care. This finding suggests that while individual characteristics affect the utilization of preventive care outcomes, country of residency also has a significant role (Vela et al. 2012; Manski et al. 2016; Jemna et al. 2024), and factors such as cultural attitudes toward preventive care and differences in healthcare delivery systems may play a crucial role.
The observed association between country-level health expenditure and preventive care utilization underscores the importance of government investments in healthcare infrastructure. Specifically, countries with higher GHE had greater preventive care usage, particularly in dental and eye exams, which suggests that enhanced public funding can effectively reduce barriers to accessing preventive care services for older adults.
Testing the cost of eye examination and the cost of dental care to the individual, which are potential confounders in this study, supports the findings that disabled individuals have fewer eye exams and dental checkups and that the cost of treatment is not a significant barrier to treatment.
Model 3 demonstrated the negative correlation between higher disability and lower GHE on eye exams and dental care. Figure 2 demonstrated that the likelihood of having an eye exam and dental care is highest for people with no disability residing in high GHE countries, and as GHE decreases and/or disability increases, the likelihood of having preventive care diminishes. Our findings differ from those made by Manski and colleagues (Manski et al. 2016), who found no impact of country-level factors (dental insurance) on dental care usage. The difference could emerge from a different study design and their choice to focus on dental coverage as the country-level variable, while we used GHE, a more inclusive measure characterizing the investment in the country’s healthcare system.
A surprising association was observed for flu vaccines. While participants from low and middle GHE counties showed a negative effect of disability and a positive effect of GHE, participants from high GHE demonstrated a positive correlation between disability and flu vaccines, with a tipping point around GHE of 8.8%. While several articles studied flu vaccine patterns among individuals with disabilities in specific countries (Diab and Johnston 2004; Chang et al. 2016; Bocquier et al. 2017; Choi et al. 2023; Castro et al. 2023), to our knowledge, our study is the first to perform a between-country analysis that illustrates this pattern and a tipping point, which is likely to arise from a better-performing and more preventive care oriented healthcare system. Close findings were suggested by Bocquier and colleagues as well as by Diab and Johnston, who used different methodologies (Diab and Johnston 2004; Bocquier et al. 2017).
The design of this study, which examines three different preventive measures that are important to the QOL of older people, reveals a surprising pattern in the case of flu vaccines. This calls for targeted policies that address disability barriers, such as improving accessibility and ensuring adequate support services to disabled populations.
Limitations and strengths
This study has several limitations. First, the explanatory variable is self-reported, making it susceptible to bias. Additionally, ADL/IADL disability definitions vary between countries, influenced by cultural perceptions, which inherently introduces bias. While self-perception suffices for this study’s purpose, these limitations should be acknowledged. Second, the analyzed preventive care measures are drawn from the SHARE questionnaire, but other health services relevant to older adults’ QOL were not included. Further research exploring the relationship between self-perceived disability and the use of other health services is needed. Third, the data also lacks information on where preventive care is provided, its cost, and funding. These are factors that can significantly affect accessibility and availability. National programs and their inclusion of preventive measures may also influence utilization patterns across countries. Fourth, the study is based on data collected in countries participating in the SHARE. Therefore, the generalizability of the study’s results and conclusions may be limited when applied to non-European countries.
Despite these limitations, the study highlights the varying associations between public health expenditure (GHE) and preventive care utilization. It demonstrates that higher GHE can mitigate disability-related barriers for some measures (e.g., flu vaccines), while higher spending alone may not eliminate disparities in care for others.
Recommendations
The success of increasing flu vaccine utilization among people with disabilities in high-GHE countries should guide policy for other preventive care measures. Nonetheless, while high GHE improves preventive care utilization, it is insufficient alone, as shown with dental care and eye exams. Factors such as accessibility and health literacy must also be addressed. Reducing disparities between populations of people with disabilities and people without disabilities should be prioritized even in countries with high GHE. It requires a multifaceted approach combining funding, targeted interventions, and inclusive policies to ensure equitable access. International collaboration is vital. Sharing best practices and resources can help develop strategies to reduce disparities and make preventive care universally accessible.
Conclusions
This study shows that while disabilities often reduce preventive care utilization, high GHE, as demonstrated with flu vaccines, can mitigate this. Publicly funded healthcare systems can prioritize people with disabilities, ensuring they receive essential preventive care. Further research and targeted interventions are needed to enhance the utilization of other measures, such as eye exams and dental care, to improve the QOL of older adults globally.
Data availability
This paper uses data from SHARE Wave 8 (https://doi.org/10.6103/SHARE.w8.900).
Abbreviations
- ADL:
-
Activities of daily living
- AIC:
-
Akaike information criterion
- GDP:
-
Gross domestic product
- GHE:
-
Government health expenditure
- IADL:
-
Instrumental activities of daily living
- ICC:
-
Intraclass Correlation Coefficient
- OR:
-
Odds ratio
- QOL:
-
Quality of life
- REML:
-
Restricted maximum likelihood
- SHARE:
-
Survey of Health, Ageing and Retirement in Europe
- THE:
-
Total health expenditure
- WHO:
-
World Health Organization
References
ACIP (2023) prevention and control of seasonal influenza with vaccines: recommendations of the Advisory Committee on Immunization Practices (ACIP)-United States, 2023–24
Akmatov MK, Holstiege J, Steffen A, Bätzing J (2021) Utilization of influenza vaccination among chronically ill individuals in Germany: a nationwide claims-based analysis. Vaccine 39(6):952–960. https://doi.org/10.1016/J.VACCINE.2020.12.081
Andrew MK, Gilca V, Waite N, Pereira JA (2019) EXamining the knowledge, attitudes and experiences of Canadian seniors towards influenza (the EXACT survey). BMC Geriatr 19(1):1–9. https://doi.org/10.1186/S12877-019-1180-5/TABLES/3
Baxter R, Ray GT, Fireman BH (2010) Effect of influenza vaccination on hospitalizations in persons aged 50 years and older. Vaccine 28(45):7267–7272. https://doi.org/10.1016/J.VACCINE.2010.08.088
Bergmann M, Kneip T, De Luca G, Scherpenzeel A (2022) Survey participation in the eighth wave of the Survey of Health, Ageing and Retirement in Europe (SHARE) About the SHARE working paper series. SHARE working paper series. https://doi.org/10.17617/2.3390284
Bhatnagar A, Skrehot H, Ahmed M (2024) County-level analysis of eye exam access and utilization in the United States. Ophthalmic Epidemiol 31(2):152–158. https://doi.org/10.1080/09286586.2023.2216286
Bocquier A, Fressard L, Paraponaris A, Davin B, Verger P (2017) Seasonal influenza vaccine uptake among people with disabilities: a nationwide population study of disparities by type of disability and socioeconomic status in France. Prev Med (Baltim) 101:1–7. https://doi.org/10.1016/J.YPMED.2017.05.014
Brammli-Greenberg S, Hovav B (2023) Unmet needs and the effect of healthcare system generosity on prevention activity – A multilevel analysis. Soc Sci Med 116473. https://doi.org/10.1016/J.SOCSCIMED.2023.116473
Castro FF, Varadaraj V, Reed NS, Swenor BK (2023) Disparities in influenza vaccination for U.S. adults with disabilities living in community settings by race/ethnicity, 2016–2021. Disabil Health J 16(3):101477. https://doi.org/10.1016/J.DHJO.2023.101477
Chang YC, Tung HJ, Hsu SW, Chen LS, Kung PT, Huang KH, Chiou SJ, Tsai WC (2016) Use of seasonal influenza vaccination and its associated factors among elderly people with disabilities in Taiwan: a population-based study. PLoS One 11(6):e0158075. https://doi.org/10.1371/JOURNAL.PONE.0158075
Choi HK, Jeon B, Han E (2023) Seasonal influenza vaccine uptake among adults with disabilities in Korea. Disabil Health J 16(1):101372. https://doi.org/10.1016/J.DHJO.2022.101372
Coll PP, Lindsay A, Meng J, Gopalakrishna A, Raghavendra S, Bysani P, O’Brien D (2020) The prevention of infections in older adults: oral health. J Am Geriatr Soc 68(2):411–416. https://doi.org/10.1111/JGS.16154
Diab ME, Johnston MV (2004) Relationships between level of disability and receipt of preventive health services. Arch Phys Med Rehabil 85(5):749–757. https://doi.org/10.1016/J.APMR.2003.06.028
Ecdc (2023) Seasonal influenza vaccination recommendations and coverage rates in EU/EEA Member States. https://doi.org/10.2900/335933
EMA (2024) EU recommendations for 2024/2025 seasonal flu vaccine composition | European Medicines Agency. https://www.ema.europa.eu/en/news/eu-recommendations-2024-2025-seasonal-flu-vaccine-composition. Accessed 10 Jul 2024
Ervin AM, Solomon SD, Shoge RY (2022) Access to eye care in the United States: evidence-informed decision-making is key to improving access for underserved populations. Ophthalmology 129(10):1079–1080. https://doi.org/10.1016/j.ophtha.2022.07.011
Fang YT, Chen LK, Liu CY, Chou YJ, Pu C, Lin PJ, Hu HY, Huang N, Chou P (2012) The association between physical disability and eye care utilization among elderly population in Taiwan: a nationwide cohort study. Arch Gerontol Geriatr 54(2):e181–e186. https://doi.org/10.1016/J.ARCHGER.2011.10.020
Goldberg TH, Chavin SI (1997) Preventive medicine and screening in older adults. J Am Geriatr Soc 45(3):344–354. https://doi.org/10.1111/J.1532-5415.1997.TB00952.X
Haumschild MS, Haumschild RJ (2009) The importance of oral health in long-term care. J Am Med Dir Assoc 10(9):667–671. https://doi.org/10.1016/j.jamda.2009.01.002
Horner-Johnson W, Dobbertin K, Beilstein-Wedel E (2015) Disparities in dental care associated with disability and race and ethnicity. J Am Dent Assoc 146(6):366–374. https://doi.org/10.1016/J.ADAJ.2015.01.024
Jana JPB, Megan SOB, Emily SW, Amalia MGMLS, Glen W, Drum CE, Andreson E, Fujiura G, Horner-Johnson W, Iezzoni L, Krahn G (2014) Clinical preventive service use disparities among subgroups of people with disabilities: a scoping review. Disabil Health J 7(4):373–393. https://doi.org/10.1016/J.DHJO.2014.04.005
Jemna DV, David M, Bonnal L, Oros C (2024) Socio-economic inequalities in the use of flu vaccination in Europe: a multilevel approach. Health Econ Rev 14(1):1–20. https://doi.org/10.1186/S13561-024-00535-1/TABLES/5
Katz S, Ford AB, Moskowitz RW, Jackson BA, Jaffe MW (1963) Studies of illness in the aged: the index of ADL: a standardized measure of biological and psychosocial function. JAMA 185(12):914–919. https://doi.org/10.1001/JAMA.1963.03060120024016
Kergoat H, Leat SJ, Faucher C, Roy S, Kergoat MJ (2015) Primary eye care services offered to older adults. Eur Geriatr Med 6(3):241–244. https://doi.org/10.1016/J.EURGER.2014.11.011
Lawton MP, Brody EM (1969) Instrumental activities of daily living (IADL). Gerontologist Autumn 9(3):179–86
Liao CY, Mott DA, Ford JH, Look KA, Hayney MS (2021) Influenza vaccination rates and location for receiving the influenza vaccination among older adult Medicare beneficiaries. J Am Pharm Assoc 61(4):432-441.e2. https://doi.org/10.1016/j.japh.2021.02.015
Manski R, Moeller J, Chen H, Widström E, Listl S (2016) Disparity in dental attendance among older adult populations: a comparative analysis across selected European countries and the USA. Int Dent J 66(1):36–48. https://doi.org/10.1111/IDJ.12190
Netuveli G, Blane D (2008) Quality of life in older ages. Br Med Bull 85(1):113–126. https://doi.org/10.1093/BMB/LDN003
OECD (2019) Health at a Glance 2019 OECD INDICATORS. Paris
Parekh T, Javed Z, Khan SU, Xue H, Nasir K (2022) Disparities in influenza vaccination coverage and associated factors among adults with cardiovascular disease, United States, 2011–2020. Prev Chronic Dis 19. https://doi.org/10.5888/PCD19.220154
Reitmeir P, Linkohr B, Heier M, Molnos S, Strobl R, Schulz H, Breier M, Faus T, Küster DM, Wulff A, Grallert H, Grill E, Peters A, Graw J (2017) Common eye diseases in older adults of southern Germany: results from the KORA-Age study. Age Ageing 46(3):481–486. https://doi.org/10.1093/AGEING/AFW234
SHARE-ERIC (2024) Survey of Health, Ageing and Retirement in Europe (SHARE) Wave 8. Release version: 9.0.0. SHARE-ERIC data set. www.share-eric.eu
Solomon SD, Shoge RY, Ervin AM, Contreras M, Harewood J, Aguwa UT, Olivier MMG (2022) Improving access to eye care: a systematic review of the literature. Ophthalmology 129(10):e114–e126. https://doi.org/10.1016/J.OPHTHA.2022.07.012
Vela C, Samson E, Zunzunegui MV, Haddad S, Aubin MJ, Freeman EE (2012) Eye care utilization by older adults in low, middle, and high income countries. BMC Ophthalmol 12(1):1–7. https://doi.org/10.1186/1471-2415-12-5/TABLES/3
WHO (2019) World report on vision. Geneva
WHO (2023) Influenza (Seasonal). In: Influenza (Seasonal). https://www.who.int/news-room/fact-sheets/detail/influenza-(seasonal). Accessed 10 Jul 2024
WHO (2024a) Recommendations announced for influenza vaccine composition for the 2024–2025 northern hemisphere influenza season. https://www.who.int/news/item/23-02-2024-recommendations-announced-for-influenza-vaccine-composition-for-the-2024-2025-northern-hemisphere-influenza-season. Accessed 10 Jul 2024
WHO (2024b) Oral health. https://www.who.int/news-room/fact-sheets/detail/oral-health. Accessed 24 Dec 2024
Acknowledgements
The first author thanks the Lady Davis Fellowship Trust for its support.
We wish to thank the audience of the 7th International Conference on Evidence-based Policy and Long-term care (2024) and the 16th Annual Health Policy Conference (2024).
The SHARE data collection has been funded by the European Commission, DG RTD through FP5 (QLK6-CT-2001-00360), FP6 (SHARE-I3: RII-CT-2006-062193, COMPARE: CIT5-CT-2005-028857, SHARELIFE: CIT4-CT-2006-028812), FP7 (SHARE-PREP: GA N°211909, SHARE-LEAP: GA N°227822, SHARE M4: GA N°261982, DASISH: GA N°283646) and Horizon 2020 (SHARE-DEV3: GA N°676536, SHARE-COHESION: GA N°870628, SERISS: GA N°654221, SSHOC: GA N°823782, SHARE-COVID19: GA N°101015924) and by DG Employment, Social Affairs & Inclusion through VS 2015/0195, VS 2016/0135, VS 2018/0285, VS 2019/0332, VS 2020/0313, SHARE-EUCOV: GA N°101052589 and EUCOVII: GA N°101102412. Additional funding from the German Federal Ministry of Education and Research (01UW1301, 01UW1801, 01UW2202), the Max Planck Society for the Advancement of Science, the U.S. National Institute on Aging (U01_AG09740-13S2, P01_AG005842, P01_AG08291, P30_AG12815, R21_AG025169, Y1-AG-4553-01, IAG_BSR06-11, OGHA_04-064, BSR12-04, R01_AG052527-02, R01_AG056329-02, R01_AG063944, HHSN271201300071C, RAG052527A) and from various national funding sources is gratefully acknowledged (see www.share-eric.eu).
Funding
Open access funding provided by Hebrew University of Jerusalem. No funding was used for the study.
Author information
Authors and Affiliations
Contributions
Conceptualization & study design – STR, BH, SBG.
Methodology – STR, SBG.
Analysis & interpretation – STR, SBG.
Manuscript drafting – STR, BH.
Review & editing – STR, BH, SBG.
Theoretical & literature review – STR, BH.
Supervision—SBG.
Corresponding author
Ethics declarations
Ethics approval
The authors are registered users of SHARE and comply with the usage and publication requirements. Further information can be found on https://share-eric.eu/data/data-access/conditions-of-use. The study was conducted in accordance with the Declaration of Helsinki.
Conflict of interest
The authors have no conflict of interest.
Additional information
Publisher’s Note
Springer Nature remains neutral with regard to jurisdictional claims in published maps and institutional affiliations.
Supplementary Information
Below is the link to the electronic supplementary material.
Rights and permissions
Open Access This article is licensed under a Creative Commons Attribution 4.0 International License, which permits use, sharing, adaptation, distribution and reproduction in any medium or format, as long as you give appropriate credit to the original author(s) and the source, provide a link to the Creative Commons licence, and indicate if changes were made. The images or other third party material in this article are included in the article's Creative Commons licence, unless indicated otherwise in a credit line to the material. If material is not included in the article's Creative Commons licence and your intended use is not permitted by statutory regulation or exceeds the permitted use, you will need to obtain permission directly from the copyright holder. To view a copy of this licence, visit http://creativecommons.org/licenses/by/4.0/.
About this article
Cite this article
Rosenbluth, S.T., Hovav, B. & Brammli-Greenberg, S. Maintaining quality of life of people at older ages: factors affecting the utilization of preventive care. J Public Health (Berl.) (2025). https://doi.org/10.1007/s10389-025-02550-w
Received:
Accepted:
Published:
DOI: https://doi.org/10.1007/s10389-025-02550-w






