Abstract
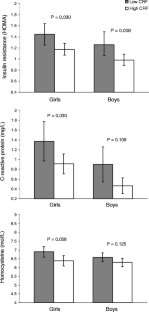
The purpose of this study was to improve the understanding of the relationship between cardiorespiratory fitness (CRF) and the early aetiology of cardiovascular disease. We examined if the levels of traditional and novel cardiovascular disease risk factors were influenced by the levels of CRF in children. A total of 339 randomly selected children aged 9–10 years participated in the Swedish part of the European Youth Heart Study (EYHS). CRF was estimated by a maximal ergometer bike test and dichotomized into low and high categories. Additional measured outcomes included fasting triglycerides, high density lipoprotein cholesterol (HDLc), C-reactive protein, homocysteine, blood pressure, body mass index, sum of five skinfolds and waist circumference. Homeostasis model assessment (HOMA) was computed from insulin and glucose measurements. Body mass index, skinfold thickness, waist circumference and insulin resistance (HOMA) levels were lower both in girls and boys with high CRF compared to those with low CRF. In girls, the levels of C-reactive protein were significantly lower in those with high CRF compared with those with low CRF, while HDLc levels showed the opposite pattern. The levels of triglycerides and homocysteine showed a tendency to be lower in girls having low CRF compared to those with high CRF. The results indicate that the levels of several traditional and novel cardiovascular disease risk factors are positively influenced by the levels of CRF in school-aged children. The data call for the development, testing and implementation of preventive strategies with stronger emphasis on CRF, especially for those children with low CRF. They also reinforce the need to include CRF testing in pan-European Health Monitoring Systems, also among younger individuals.
This is a preview of subscription content, access via your institution.



References
Andersen L, Hasselstrøm H, Gronfeldt V, Hansen S, Froberg K (2004) The relationship between physical fitness and clustered risk, and tracking of clustered risk from adolescence to young adulthood: 8 years follow-up in the Danish Youth and Sport Study. Int J Behav Nutr Phys Act 1:6
Blair SN, Kohl HW 3rd, Paffenbarger RS Jr, Clark DG, Cooper KH, Gibbons LW (1989) Physical fitness and all-cause mortality. A prospective study of healthy men and women. JAMA 262:2395–2401
Brage S, Wedderkopp N, Ekelund U, Franks PW, Wareham NJ, Andersen LB, Froberg K (2004) Features of the metabolic syndrome are associated with objectively measured physical activity and fitness in Danish children: the European Youth Heart Study (EYHS). Diabetes Care 27:2141–2148
Carnethon MR, Gulati M, Greenland P (2005) Prevalence and cardiovascular disease correlates of low cardiorespiratory fitness in adolescents and adults. JAMA 294:2981–2988
Castillo-Garzon M, Ruiz JR, Ortega FB, Gutierrez-Sainz A (2007) A Mediterranean diet is not enough for health: physical fitness is an important additional contributor to health for the adults of tomorrow. World Rev Nutr Diet 97:114–138
Cruz ML, Goran MI (2004) The metabolic syndrome in children and adolescents. Curr Diab Rep 4:53–62
Cruz ML, Shaibi GQ, Weigensberg MJ, Spruijt-Metz D, Ball GD, Goran MI (2005) Pediatric obesity and insulin resistance: chronic disease risk and implications for treatment and prevention beyond body weight modification. Annu Rev Nutr 25:435–468
Friedewald WT, Levy RI, Fredrickson DS (1972) Estimation of the concentration of low-density lipoprotein cholesterol in plasma, without use of the preparative ultracentrifuge. Clin Chem 18:499–502
Gulati M, Pandey DK, Arnsdorf MF, Lauderdale DS, Thisted RA, Wicklund RH, Al-Hani AJ, Black HR (2003) Exercise capacity and the risk of death in women: the St James Women Take Heart Project. Circulation 108:1554–1559
Gulati M, Black HR, Shaw LJ, Arnsdorf MF, Merz CN, Lauer MS, Marwick TH, Pandey DK, Wicklund RH, Thisted RA (2005) The prognostic value of a nomogram for exercise capacity in women. N Engl J Med 353:468–475
Hansen HS, Froberg K, Nielsen JR, Hyldebrandt N (1989) A new approach to assessing maximal aerobic power in children: the Odense School Child Study. Eur J Appl Physiol Occup Physiol 58:618–624
LaMonte MJ, Blair SN (2006) Physical activity, cardiorespiratory fitness, and adiposity: contributions to disease risk. Curr Opin Clin Nutr Metab Care 9:540–546
Lohman TG, Roche AF, Martorell R (1991) Anthropometric standardization reference manual. Human Kinetics, Champaign, IL
Matthews DR, Hosker JP, Rudenski AS, Naylor BA, Treacher DF, Turner RC (1985) Homeostasis model assessment: insulin resistance and beta-cell function from fasting plasma glucose and insulin concentrations in man. Diabetologia 28:412–419
McGill HC Jr, McMahan CA, Herderick EE, Malcom GT, Tracy RE, Strong JP (2000) Origin of atherosclerosis in childhood and adolescence. Am J Clin Nutr 72:1307S–1315S
Mesa JL, Ortega FB, Ruiz JR, Castillo MJ, Hurtig-Wennlöf A, Sjöström M, Gutiérrez A (2006a) The importance of cardiorespiratory fitness for healthy metabolic traits in children and adolescents: the AVENA Study [notification]. J Publ Health 14:178–180
Mesa JL, Ruiz JR, Ortega FB, Warnberg J, Gonzalez-Lamuno D, Moreno LA, Gutierrez A, Castillo MJ (2006b) Aerobic physical fitness in relation to blood lipids and fasting glycaemia in adolescents: Influence of weight status. Nutr Metab Cardiovasc Dis 16:285–293
Mora S, Redberg RF, Cui Y, Whiteman MK, Flaws JA, Sharrett AR, Blumenthal RS (2003) Ability of exercise testing to predict cardiovascular and all-cause death in asymptomatic women: a 20-year follow-up of the lipid research clinics prevalence study. JAMA 290:1600–1607
Moreno LA, Mesana MI, Fleta J, Ruiz JR, Gonzalez-Gross M, Sarria A, Marcos A, Bueno M, Group AS (2005) Overweight, obesity and body fat composition in Spanish adolescents. The AVENA Study. Ann Nutr Metab 49:71–76
Mota J, Flores L, Flores L, Ribeiro JC, Santos MP (2006) Relationship of single measures of cardiorespiratory fitness and obesity in young schoolchildren. Am J Hum Biol 18:335–341
Myers J, Prakash M, Froelicher V, Do D, Partington S, Atwood JE (2002) Exercise capacity and mortality among men referred for exercise testing. N Engl J Med 346:793–801
Ortega FB, Ruiz JR, Castillo MJ, Moreno LA, Gonzalez-Gross M, Warnberg J, Gutierrez A (2005) [Low level of physical fitness in Spanish adolescents. Relevance for future cardiovascular health (AVENA study)]. Rev Esp Cardiol 58:898–909
Pate RR, Davis MG, Robinson TN, Stone EJ, McKenzie TL, Young JC (2006) Promoting physical activity in children and youth: a leadership role for schools: a scientific statement from the American Heart Association Council on Nutrition, Physical Activity, and Metabolism (Physical Activity Committee) in collaboration with the Councils on Cardiovascular Disease in the Young and Cardiovascular Nursing. Circulation 114:1214–1224
Poortvliet E, Yngve A, Ekelund U, Hurtig-Wennlöf A, Nilsson A, Hagströmer M, Sjöström M (2003) The European Youth Heart Survey (EYHS): an international study that addresses the multi-dimensional issues of CVD risk factors. Forum Nutr 56:254–256
Raitakari OT, Juonala M, Kahonen M, Taittonen L, Laitinen T, Maki-Torkko N, Jarvisalo MJ, Uhari M, Jokinen E, Ronnemaa T, Akerblom HK, Viikari JS (2003) Cardiovascular risk factors in childhood and carotid artery intima-media thickness in adulthood: the Cardiovascular Risk in Young Finns Study. JAMA 290:2277–2283
Reed KE, Warburton DE, Lewanczuk RZ, Haykowsky MJ, Scott JM, Whitney CL, McGavock JM, McKay HA (2005) Arterial compliance in young children: the role of aerobic fitness. Eur J Cardiovasc Prev Rehabil 12:492–497
Ruiz JR, Ortega FB, Meusel D, Harro M, Oja P, Sjöström M (2006) Cardiorespiratory fitness is associated with features of metabolic risk factors in children. Should cardiorespiratory fitness be assessed in a European health monitoring system? The European Youth Heart Study. J Public Health 14:94–102
Ruiz JR, Sola R, Gonzalez-Gross M, Ortega FB, Vicente-Rodriguez G, García-Fuentes M, Gutierrez A, Sjöström M, Pietrzik K, Castillo MJ (2007a) Cardiovascular fitness is negatively associated with homocysteine levels in female adolescents. Arch Pediatr Adolesc Med 161:166–171
Ruiz JR, Ortega FB, Rizzo NS, Villa L, Hurtig-Wennlöf A, Oja L, Sjöström M (2007b) High cardiorespiratory fitness is associated with low metabolic risk score in children; The European Youth Heart Study. Pediatrics Res 61:330–335
Strong JP, Malcom GT, Newman WP 3rd, Oalmann MC (1992) Early lesions of atherosclerosis in childhood and youth: natural history and risk factors. J Am Coll Nutr 11(Suppl):51S–54S
The Cooper Institute for Aerobics Research (1999) FITNESSGRAM test administration manual. Human Kinetics, Champaign, IL
Wennlöf AH, Yngve A, Sjöström M (2003) Sampling procedure, participation rates and representativeness in the Swedish part of the European Youth Heart Study (EYHS). Public Health Nutr 6:291–299
Acknowledgements
The study was supported by grants from the Stockholm County Council (MS). JRR and FBO were supported by a grant from Ministerio de Educación y Ciencia de España (AP2003-2128, AP2004-2745) and CSD (109/UPB31/03 and 13UPB20/04).
Conflict of interest statement
None of the authors had any conflict of interest.
Author information
Authors and Affiliations
Corresponding author
Rights and permissions
About this article
Cite this article
Ruiz, J.R., Ortega, F.B., Meusel, D. et al. Traditional and novel cardiovascular risk factors in school-aged children: A call for the further development of public health strategies with emphasis on fitness. J Public Health 15, 171–177 (2007). https://doi.org/10.1007/s10389-007-0098-0
Received:
Accepted:
Published:
Issue Date:
DOI: https://doi.org/10.1007/s10389-007-0098-0
Keywords
- Cardiorespiratory fitness
- Physical activity
- Metabolic syndrome
- Young people