Skip to main content

Prevalence and associations of myopia in Hong Kong primary school students

Abstract

Purpose

To examine the prevalence of myopia in primary school children in Hong Kong, and the risk factors for myopia development.

Study design

A cross-sectional study.

Methods

Subjective refraction and axial length were measured in all participants. Structured questionnaire was completed by the parents to assess risk factors of myopia.

Results

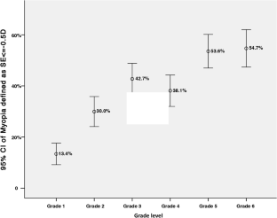
A total of 1396 children (491 boys) from Grade 1 to Grade 6 from 4 primary schools in Sham Shui Po district of Hong Kong participated. All participants underwent non-cycloplegic refraction. The overall prevalence of myopia (spherical equivalent, SE ≤ -0.5 diopter [D]) was 37.7%, which significantly increased with age, from 13.3% at grade 1 to 54.7% at grade 6. The prevalence of moderate myopia (-3.0D < SE < -6.0D) increased from 1.6% at grade 1 to 18.2% at grade 6 and the prevalence of high myopia (SE < = -6.0 D and/or AL ≥ 26.5 mm) increased from 0.94% (7/747) in grade 1-3 students to 1.85% (12/649) in grade 4-6 students. Among the students with myopia, only 23.6% of the parents knew their children had refractive errors and only 19.8% of the children wore glasses. Multivariate logistic regression analysis showed myopia development was significantly associated with older age (OR = 1.36, P = 0.008), better academic ranking in class in the preceding semester (OR = 1.01, P = 0.02) and absence of routine eye check (OR = 2.70, P = 0.001).

Conclusion

The prevalence of myopia in primary school students in Hong Kong is high. There is a low level of awareness of refractive errors among parents, and high proportion of under-correction, resulting in suboptimal vision.

This is a preview of subscription content, access via your institution.

Fig. 1
Fig. 2
Fig. 3

References

  1. Edwards MH, Lam CS. The epidemiology of myopia in Hong Kong. Ann Acad Med Singap. 2004;33:34–8.

    CAS  PubMed  Google Scholar 

  2. Lam CS, Lam CH, Cheng SC, Chan LY. Prevalence of myopia among Hong Kong Chinese schoolchildren: changes over two decades. Ophthalmic Physiol Opt. 2012;32:17–24.

    Article  Google Scholar 

  3. Morgan IG, French AN, Ashby RS, Guo X, Ding X, He M, et al. The epidemics of myopia: aetiology and prevention. Prog Retin Eye Res. 2018;62:134–49.

    Article  Google Scholar 

  4. Cheng SC, Lam CS, Yap MK. Prevalence of myopia-related retinal changes among 12-18 year old Hong Kong Chinese high myopes. Ophthalmic Physiol Opt. 2013;33:652–60.

    Article  Google Scholar 

  5. Loh KL, Lu Q, Tan D, Chia A. Risk factors for progressive myopia in the atropine therapy for myopia study. Am J Ophthalmol. 2015;159:945–9.

    CAS  Article  Google Scholar 

  6. Pineles SL, Kraker RT, VanderVeen DK, Hutchinson AK, Galvin JA, Wilson LB, et al. Atropine for the prevention of myopia progression in children: a report by the American Academy of Ophthalmology. Ophthalmology. 2017;124:1857–66.

    Article  Google Scholar 

  7. Hyman L, Gwiazda J, Hussein M, Norton TT, Wang Y, Marsh-Tootle W, et al. Relationship of age, sex, and ethnicity with myopia progression and axial elongation in the correction of myopia evaluation trial. Arch Ophthalmol. 2005;123:977–87.

    Article  Google Scholar 

  8. Tan NW, Saw SM, Lam DS, Cheng HM, Rajan U, Chew SJ. Temporal variations in myopia progression in Singaporean children within an academic year. Optom Vis Sci. 2000;77:465–72.

    CAS  Article  Google Scholar 

  9. Ip JM, Robaei D, Kifley A, Wang JJ, Rose KA, Mitchell P. Prevalence of hyperopia and associations with eye findings in 6- and 12-year-olds. Ophthalmology. 2008;115(678–85):e1.

    Google Scholar 

  10. Fan DS, Lam DS, Lam RF, Lau JT, Chong KS, Cheung EY, et al. Prevalence, incidence, and progression of myopia of school children in Hong Kong. Investig Ophthalmol Vis Sci. 2004;45:1071–5.

    Article  Google Scholar 

  11. Edwards MH. The development of myopia in Hong Kong children between the ages of 7 and 12 years: a five-year longitudinal study. Ophthalmic Physiol Opt. 1999;19:286–94.

    CAS  Article  Google Scholar 

  12. Li SM, Kang MT, Wu SS, Liu LR, Li H, Chen Z, et al. Efficacy, safety and acceptability of orthokeratology on slowing axial elongation in myopic children by meta-analysis. Curr Eye Res. 2016;41:600–8.

    Article  Google Scholar 

  13. Gong Q, Janowski M, Luo M, Wei H, Chen B, Yang G, et al. Efficacy and adverse effects of atropine in childhood myopia: a meta-analysis. JAMA Ophthalmol. 2017;135:624–30.

    Article  Google Scholar 

  14. Charm J, Cho P. High myopia-partial reduction ortho-k: a 2-year randomized study. Optom Vis Sci. 2013;90:530–9.

    Article  Google Scholar 

  15. Cho P, Tan Q. Myopia and orthokeratology for myopia control. Clin Exp Optom. 2018;102:364–77.

    Article  Google Scholar 

  16. He X, Sankaridurg P, Xiong S, Li W, Zhang B, Weng R, et al. Shanghai time outside to reduce myopia trial: design and baseline data. Clin Exp Ophthalmol. 2019;47:171–8.

    Article  Google Scholar 

  17. You QS, Wu LJ, Duan JL, Luo YX, Liu LJ, Li X, et al. Prevalence of myopia in school children in greater Beijing: the Beijing Childhood Eye Study. Acta Ophthalmol. 2014;92:e398–406.

    Article  Google Scholar 

  18. Chua SY, Sabanayagam C, Cheung YB, Chia A, Valenzuela RK, Tan D, et al. Age of onset of myopia predicts risk of high myopia in later childhood in myopic Singapore children. Ophthalmic Physiol Opt. 2016;36:388–94.

    Article  Google Scholar 

  19. Parssinen O, Kauppinen M. Risk factors for high myopia: a 22-year follow-up study from childhood to adulthood. Acta Ophthalmol. 2018;97:510–8.

    Article  Google Scholar 

  20. Chen Y, Zhang J, Morgan IG, He M. Identifying children at risk of high myopia using population centile curves of refraction. PLoS One. 2016;11:e0167642.

    Article  Google Scholar 

  21. Chen Y, Shi Y, Yang L. Tendency for evolution of high myopia in 308 Chinese school children from Xi’an city. Eye Sci. 2014;29:36–42.

    PubMed  Google Scholar 

  22. Asakuma T, Yasuda M, Ninomiya T, Noda Y, Arakawa S, Hashimoto S, et al. Prevalence and risk factors for myopic retinopathy in a Japanese population: the Hisayama Study. Ophthalmology. 2012;119:1760–5.

    Article  Google Scholar 

  23. Xiao O, Guo X, Wang D, Jong M, Lee PY, Chen L, et al. Distribution and severity of myopic maculopathy among highly myopic eyes. Investig Ophthalmol Vis Sci. 2018;59:4880–5.

    Article  Google Scholar 

  24. Resnikoff S, Pascolini D, Mariotti SP, Pokharel GP. Global magnitude of visual impairment caused by uncorrected refractive errors in 2004. Bull World Health Organ. 2008;86:63–70.

    Article  Google Scholar 

  25. Goldschmidt E, Jacobsen N. Genetic and environmental effects on myopia development and progression. Eye (Lond). 2014;28:126–33.

    CAS  Article  Google Scholar 

  26. Zhang X, Qu X, Zhou X. Association between parental myopia and the risk of myopia in a child. Exp Ther Med. 2015;9:2420–8.

    Article  Google Scholar 

  27. Lim DH, Han J, Chung TY, Kang S, Yim HW. The high prevalence of myopia in Korean children with influence of parental refractive errors: the 2008–2012 Korean National Health and Nutrition Examination Survey. PLoS One. 2018;13:e0207690.

    Article  Google Scholar 

  28. Guggenheim JA, Kirov G, Hodson SA. The heritability of high myopia: a reanalysis of Goldschmidt’s data. J Med Genet. 2000;37:227–31.

    CAS  Article  Google Scholar 

  29. Saw SM, Zhang MZ, Hong RZ, Fu ZF, Pang MH, Tan DT. Near-work activity, night-lights, and myopia in the Singapore-China study. Arch Ophthalmol. 2002;120:620–7.

    Article  Google Scholar 

  30. Huang HM, Chang DS, Wu PC. The association between near work activities and myopia in children-a systematic review and meta-analysis. PLoS One. 2015;10:e0140419.

    Article  Google Scholar 

  31. Jones-Jordan LA, Sinnott LT, Cotter SA, Kleinstein RN, Manny RE, Mutti DO, et al. Time outdoors, visual activity, and myopia progression in juvenile-onset myopes. Investig Ophthalmol Vis Sci. 2012;53:7169–75.

    Article  Google Scholar 

  32. Ip JM, Huynh SC, Robaei D, Rose KA, Morgan IG, Smith W, et al. Ethnic differences in the impact of parental myopia: findings from a population-based study of 12-year-old Australian children. Investig Ophthalmol Vis Sci. 2007;48:2520–8.

    Article  Google Scholar 

  33. Lin Z, Gao TY, Vasudevan B, Ciuffreda KJ, Liang YB, Jhanji V, et al. Near work, outdoor activity, and myopia in children in rural China: the Handan offspring myopia study. BMC Ophthalmol. 2017;17:203.

    Article  Google Scholar 

  34. Dirani M, Tong L, Gazzard G, Zhang X, Chia A, Young TL, et al. Outdoor activity and myopia in Singapore teenage children. Br J Ophthalmol. 2009;93:997–1000.

    CAS  Article  Google Scholar 

  35. Wu PC, Tsai CL, Wu HL, Yang YH, Kuo HK. Outdoor activity during class recess reduces myopia onset and progression in school children. Ophthalmology. 2013;120:1080–5.

    Article  Google Scholar 

  36. Theophanous C, Modjtahedi BS, Batech M, Marlin DS, Luong TQ, Fong DS. Myopia prevalence and risk factors in children. Clin Ophthalmol. 2018;12:1581–7.

    Article  Google Scholar 

  37. Guo Y, Liu LJ, Xu L, Lv YY, Tang P, Feng Y, et al. Outdoor activity and myopia among primary students in rural and urban regions of Beijing. Ophthalmology. 2013;120:277–83.

    Article  Google Scholar 

  38. Sun Y, Xu F, Zhang T, Liu M, Wang D, Chen Y, et al. Orthokeratology to control myopia progression: a meta-analysis. PLoS One. 2015;10:e0124535.

    Article  Google Scholar 

  39. Chia A, Lu QS, Tan D. Five-year clinical trial on atropine for the treatment of myopia 2: myopia control with atropine 0.01% eyedrops. Ophthalmology. 2016;123:391–9.

    Article  Google Scholar 

  40. Wong TY, Foster PJ, Johnson GJ, Seah SK. Education, socioeconomic status, and ocular dimensions in Chinese adults: the Tanjong Pagar Survey. Br J Ophthalmol. 2002;86:963–8.

    CAS  Article  Google Scholar 

Download references

Acknowledgements

The study was partly supported by Eye Care Charitable Foundation

Author information

Affiliations

Authors

Corresponding author

Correspondence to Ian Yat Hin Wong.

Ethics declarations

Conflicts of interest

B.N.K.Choy, None; Q.You, None; M.M.Zhu, None; J.S.M.Lai, None; A.L.K.Ng, None; I.Y.H.Wong, None.

Additional information

Publisher's Note

Springer Nature remains neutral with regard to jurisdictional claims in published maps and institutional affiliations.

Corresponding Author: Ian Yat Hin Wong

About this article

Verify currency and authenticity via CrossMark

Cite this article

Choy, B.N.K., You, Q., Zhu, M.M. et al. Prevalence and associations of myopia in Hong Kong primary school students. Jpn J Ophthalmol 64, 437–449 (2020). https://doi.org/10.1007/s10384-020-00733-4

Download citation

  • Received:

  • Accepted:

  • Published:

  • Issue Date:

  • DOI: https://doi.org/10.1007/s10384-020-00733-4

Keywords

  • Refractive error
  • Myopia
  • Hyperopia
  • Paediatric ophthalmology