Abstract
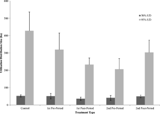
Abundance and distribution of feral swine (Sus scrofa) in the USA have increased dramatically during the last 30 years. Effective measures are needed to control and eradicate feral swine populations without displacing animals over wider areas. Our objective was to investigate effects of repeated simulated removal activities on feral swine movements and space use. We analyzed location data from 21 feral swine that we fitted with Global Positioning System harnesses in southern MO, USA. Various removal activities were applied over time to eight feral swine before lethal removal, including trapped-and-released, chased with dogs, chased with hunter, and chased with helicopter. We found that core space-use areas were reduced following the first removal activity, whereas overall space-use areas and diurnal movement distances increased following the second removal activity. Mean geographic centroid shifts did not differ between pre- and post-periods for either the first or second removal activities. Our information on feral swine movements and space use precipitated by human removal activities, such as hunting, trapping, and chasing with dogs, helps fill a knowledge void and will aid wildlife managers. Strategies to optimize management are needed to reduce feral swine populations while preventing enlarged home ranges and displacing individuals, which could lead to increased disease transmission risk and human-feral swine conflict in adjacent areas.



Similar content being viewed by others
References
Anderson SJ, Stone CP (1993) Snaring to control feral pigs Sus scrofa in a remote Hawaiian rain forest. Biol Conserv 63:195–201
Barrett RH, Stone CP (1993) Hunting as a control method for wild pigs in Hawaii Volcanoes National Park: a report for resource management. Hawaii Volcanoes National Park Service, US Department of the Interior, HI, USA
Bates D, Maechler M, Bolker B, Walker S (2014) lme4: linear mixed-effects models using Eigen and S4. R package version 1.1-7. http://CRAN.R-project.org/package=lme4
Benhamou S (2011) Dynamic approach to space and habitat use based on biased random bridges. PLoS One 6:e14592
Benhamou S, Cornelis D (2010) Incorporating movement behavior and barriers to improve kernel home range space use estimates. J Wildlife Manag 74:1353–1360
Bieber C, Ruf T (2005) Population dynamics in wild boar Sus scrofa: ecology, elasticity of growth rate and implications for the management of pulsed resource consumers. J Appl Ecol 42:1203–1213
Calenge C (2006) The package adehabitat for the R software: a tool for the analysis of space and habitat use by animals. Ecol Model 197:516–519
Campbell TA, Long DB, Leland BR (2010) Feral swine behavior relative to aerial gunning in southern Texas. J Wildlife Manag 74:337–341
Campbell TA, Long DB, Lavelle MJ, Leland BR, Blankenship TL, VerCauteren KC (2012) Impact of baiting on feral swine behavior in the presence of culling activities. Prev Vet Med 104:249–257
Chambers M (1999) Conserving a resource. In: Coats M (ed) Proceedings of the first national feral swine conference. Texas Animal Health Commission, Austin, pp 115–116
Choquenot D, Kilgour RJ, Lukins BL (1993) An evaluation of feral pig trapping. Wildl Res 20:15–22
Choquenot D, Hone J, Saunders G (1999) Using aspects of predator–prey theory to evaluate helicopter shooting for feral pig control. Wildl Res 26:251–261
Coblentz BE, Baber DW (1987) Biology and control of feral pigs on Isla Santiago, Galapagos, Ecuador. J Appl Ecol 24:403–418
Development Core Team R (2013) R: a language and environment for statistical computing. The R Foundation for Statistical Computing, Vienna
Dexter N (1996) The effect of an intensive shooting exercise from a helicopter on the behavior of surviving feral hogs. Wildl Res 23:435–441
Dickson JG, Mayer JJ, Dickson JD (2003) Wild hogs. In: Dickson JG (ed) Wildlife of southern forests: habitat and management. Hancock House Publishers, Blaine, pp 191–208
Diong CH (1980) Responses of feral pigs to trap types and food baits. In: Smith CW (ed) Proceedings of the Third Conference in Natural Sciences Hawaii Volcanoes National Park. University of Hawaii at Manoa, Honolulu, pp 91–100
ESRI (2013) Environmental Systems Research Institute. Redlands, CA, USA
Giurgiutiu D, Banis C, Hunt E, Mincer J, Nicolardi C, Weltman A, Stanek D, Mathews S, Siegenthaler C, Blackmore C, Tiller R, De B, Stauffer K (2009) Brucella suis infection associated with feral swine hunting—three states, 2007–2008. Morb Mortal Wkly Rep 58:618–621
Hess SC, Jeffrey JJ, Ball DL, Babich L (2006) Efficacy of feral pig removals at Hakalau Forest National Wildlife Refuge, Hawaii. Trans West Section Wildl 42:53–67
Hoffman DM (2009) Efficacy of shooting as a control method for feral hogs. In: Mayer JJ, Brisbin IL Jr. (ed) Wild pigs: biology, damage, control techniques and management. Savannah River National Laboratory SRNL-RP-2009-00869, Aiken, SC, USA, pp 289–291
Hone J (1983) A short-term evaluation of feral pig eradication in Willandra in Western New South Wales. Aust Wildl Res 10:269–275
Jay-Russell MT, Hake AF, Rivadeneira P, Virchow DR, Bergman DL (2014) Enteric human pathogens of wild boar, feral swine, and javelin (order: Artiodactyla). Proc 26th Vertebr Pest Conf 26:291–295
Katahira LK, Finnegan P, Stone CP (1993) Feral pigs in montane mesic habitat at Hawaii Volcanoes National Park. Wildl Soc B 21:269–274
Keuling O, Stier N, Roth M (2008) How does hunting influence activity and spatial usage in wild boar Sus scrofa L.? Eur J Wildl Res 54:729–737
Keuling O, Baubet E, Duscher A, Ebert C, Fischer C, Monaco A, Podgórski T, Prevot C, Ronnenberg K, Sodeikat G, Stier N, Thurfjell H (2013) Mortality rates of wild boar Sus scrofa L. in central Europe. Eur J Wildl Res 59:805–814
Kreith M (2007) Wild pigs in California: the issues. Agricultural Issues Center Brief No. 33, Davis, CA, USA.
Maillard D, Fournier P (1995) Effects of shooting with hounds on size of resting range of wild boar (Sus scrofa L.) groups in Mediterranean habitat. IBEX J Mt Ecol 3:102–107
Massei G, Roy S, Bunting R (2011) Too many hogs? A review of methods to mitigate impact by wild boar and feral hogs. Hum Wildl Interactions 5:79–99
Massei G, Kindberg J, Licoppe A, Gacic D, Sprem N, Kamler J, Baubet E, Hohmann U, Monaco A, Ozolins J, Cellina S, Podgorski T, Fonseca C, Markov N, Pokorny B, Rosell C, Nahlik A (2015) Wild boar population up, number of hunters down? A review of trends and implications for Europe. Pest Manag Sci 71:492–500
Mayer JJ (2009) Overview of wild pig damage. In: Mayer JJ, Brisbin IL Jr., (ed) Wild pigs: biology, damage, control techniques and management. Savannah River National Laboratory SRNL-RP-2009-00869, Aiken, SC, USA, pp 221–246
McCann BE, Garcelon DK (2008) Eradication of feral hogs from Pinnacles National Monument. J Wildl Manag 72:1287–1295
McIlroy JC, Gifford EJ (1997) The ‘Judas’ pig technique: a method that could enhance control programmes against feral hogs, Sus scrofa. Wildl Res 24:483–491
McIlroy JC, Saillard RJ (1989) The effect of hunting with dogs on the numbers and movements of feral pigs, Sus scrofa, and the subsequent success of poisoning exercises in Namadgi National Park, A.C.T. Aust Wildl Res 16:353–363
Meng XJ, Lindsay DS, Sriranganathan N (2009) Wild boars as sources for infectious diseases in livestock and humans. Philos Trans R Soc B 364:2697–2707
Parkes JP, Ramsey DS, Macdonald N, Walker K, McKnight S, Cohen BS, Morrison SA (2010) Rapid eradication of feral pigs (Sus scrofa) from Santa Cruz Island, California. Biol Conserv 143:634–641
Pimentel D (2007) Environmental and economic costs of vertebrate species invasions into the United States. In: Witmer GW, Pitt WC, Fagerstone KA (eds) Managing vertebrate invasive species: proceedings of an international symposium. USDA/APHIS/WS/National Wildlife Research Center, Fort Collins, pp 2–8
Saunders G, Bryant H (1988) The evaluation of feral pig eradication program during simulated exotic disease outbreak. Aust Wildl Res 15:73–81
Scillitani L, Monaco A, Toso S (2010) Do intensive drive hunts affect wild boar (Sus scrofa) spatial behavior in Italy? Some evidences and management implications. Eur J Wildl Res 56:307–318
Seward N, VerCauteren K, Witmer G, Engeman R (2004) Feral swine impacts on agriculture and the environment. Sheep Goat Res J 19:34–40
Shapiro L, Eason C, Bunt C, Hix S, Aylett P, MacMorran D (2015) Efficacy of encapsulated sodium nitrite as a new tool for feral pig management. J Pest Sci 1–7
Sodeikat G, Pohlmeyer K (2003) Escape movements of family groups of wild boar Sus scrofa influenced by drive hunts in Lower Saxony, Germany. Wildl Biol 9:43–49
Toigo C, Servanty S, Gaillard JM, Brandt S, Baubet E (2008) Disentangling natural from hunting mortality in an intensively hunted wild boar population. J Wildl Manag 72:1532–1539
West BC, Cooper AL, Armstrong JB (2009) Managing wild pigs: a technical guide. Hum Wildl Interactions Monogr 1:1–55
Witmer GW, Sanders RB, Taft AC (2003) Feral swine—are they a disease threat to livestock in the United States? Proc Wildl Damage Manag Conf 10:316–325
Zivin J, Hueth BM, Zilberman D (2000) Managing a multiple-use resource: the case of feral pig management in California rangeland. J Environ Econ Manag 39:189–204
Acknowledgments
We thank the many coworkers and volunteers who assisted with the project design and data collection, especially C. Arias, J. Blair, and other staff from the Missouri Department of Conservation. Research was funded in part by the Missouri Department of Conservation, USDA/APHIS/Wildlife Services (MO), and the National Wildlife Research Center.
Author information
Authors and Affiliations
Corresponding author
Ethics declarations
Ethical approval
Study procedures were approved by a review board of Missouri Department of Conservation staff.
Conflict of interest
The authors declare that they have no competing interests.
Rights and permissions
About this article
Cite this article
Fischer, J.W., McMurtry, D., Blass, C.R. et al. Effects of simulated removal activities on movements and space use of feral swine. Eur J Wildl Res 62, 285–292 (2016). https://doi.org/10.1007/s10344-016-1000-6
Received:
Revised:
Accepted:
Published:
Issue Date:
DOI: https://doi.org/10.1007/s10344-016-1000-6


