Abstract
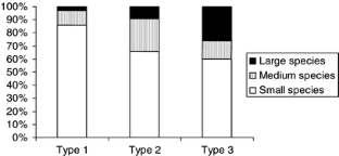
Hunting, although prohibited, is widely practiced by the rural inhabitants settled along the Transamazon highway. In 1997 and 2000, we investigated subsistence hunting in Uruará, a township located on an Amazonian pioneer front (Brazil). We analyze hunting practices, game yield, hunting efficiency and their relation to forest coverage rate. The hunting methods were stand hunting (55.5%) and beating (44.5%). Paca (Agouti paca), tatus (Dasypus novemcinctus and D. septemcinctus), and collared peccary (Pecari tajacu) were the most frequently hunted species, supplying 68% of the gross game weight. Beating was significantly more efficient than stand hunting (3 vs. 1.9 kg/hunter/h, Mann–Whitney U test, P=0.02). Hunting territories were classified in three categories according to forest coverage rate. The higher the forest coverage rate the larger was the harvested species and the more efficient the hunter (Kruskal–Wallis test P=0.01). Considering the ecological and demographic changes in this pioneer settlement, development of a viable plan for game management and forest preservation is of great importance.
This is a preview of subscription content, access via your institution.


References
Altrichter M, Boaglio GI (2004) Distribution and relative abundance of peccaries in the Argentine Chaco: assosciations with human factors. Biological Conservation 116:217–225
Bodmer RE, Robinson JG (2004) Evaluating the sustainability of hunting in the Neotropics. In: Silvius KM, Bodmer RE, Fragoso JMV (eds) People in nature: wildlife conservation in South and Central America. Columbia University Press, New York, pp 299–323
Bodmer RE, Eisenberg JF, Redford KH (1997) Hunting and the likelihood of extinction of Amazonian mammals. Conserv Biol 11:460–466
Bonaudo T, Le Pendu Y, Chardonnet P, Jori F (2001) Chasse de subsistance sur un front pionnier amazonien:le cas d’Uruara. Revue d’élevage et de mèdecine vétérinaire des pays tropicaux 54:281–286
Cullen L Jr, Bodmer RE, Valladares-Padua C, Ballou JD (2004) Mammalian densities and species extinctions in Atlantic forest fragments. In: Silvius KM, Bodmer RE, Fragoso JMV (eds) People in nature: wildlife conservation in South and Central America. Columbia University Press, New York, pp 211–226
De Oliveira ME, Pereira DG, Vivas D, Da Silva VV, Oliveira LFB (2004) Linking landscape features to mammal populations viability: the fragmented atlantic forest, Rio de Janeiro, Brazil. In: UNAP, DICE, WCS (eds) Libro de Resúmenes. VI Congreso Internacional sobre Manejo de Fauna Silvestre en la Amazonía y Latinoamérica. Iquitos, Peru, p 73
Ferreira LA (2001) Le rôle de l’élevage bovin dans la viabilité agro-ècologique et socio-économique des sytèmes de production agricoles familiaux en Amazonie brésilienne - le cas d’Uruará (Pará, Brésil), INA-PG, Paris
Fonseca GAB, Herrmann G, Leite YLR, Mittermeier RA, RylandsAB, Patton JL (1996) Lista anotada dos mamíferos do Brasil. Occas Pap Conserv Biol 4:1–38
Fragoso JM (1991) The effect of hunting on Tapirs in Belize. In: Robinson JG, Redford KH (eds) Neotropical wildlife use and conservation. University of Chicago Press, Chicago, pp 6–23
IBGE (2000) Censo Demográfico 2000-http://www.sidra.ibge.gov.br/bda/pesquisas/cdru/default.asp
INPE (2003) - http://www.obt.inpe.br/prodes/prodes_analogico.htm
Jerozolimski A, Peres CA (2003) Bringing home the biggest bacon: a cross-site analysis of the structure of hunter-kill profiles in Neotropical forests. Biol Conserv 111:415–425
Lopes MA, Ferrari SF (2000) Effects of human colonization on the abundance and diversity of mammals in eastern Brazilian Amazonia. Conserv Biol 14:1658–1665
Naughton-Treves L, Mena JL, Treves A, Alvarez N, Radeloff VC (2003) Wildlife survival beyond park boundaries: the impact of slash-and-burn agriculture and hunting on mammals in Tambopata, Peru. Conserv Biol 17:1106–1117
Peres CA (2000) Effects of subsistence hunting on vertebrate community structure in Amazonian forests. Conserv Biol 14:240–253
Peres CA (2001a) Synergistic effects of subsistence hunting and habitat fragmentation on Amazonian forest vertebrates. Conserv Biol 15:1490–1505
Peres CA (2001b) Paving the way to the future of Amazonia. Trends Ecol Evol 16:217–219
Redford KH (1993) Hunting in neotropical forests : a subsidy from Nature. In: Hladik CM, Hladik A, Linares OF, Pagezy H, Semple A, Hadley M (eds) Tropical forests, people and food: biocultural interactions and applications to development. Parthenon Publishing Group, Pearl River, pp 227–246
Santana AC, Homma AKO, Tourinho MM, Mattar PN (1997) Brasil. In: Situation y perspectivas de la seguridad alimentar en la Amazônia. En un marco de producion agropecuaria y de cooperacion intra-regional. Tratado de cooperacion Amazônica, Caracas, pp 130–214
Smith NJH (1976) Utilization of game along brazil’s Transamazon highway. Acta Amazonica 6:455–466
Tabarelli M, Da Silva MJC, Gascon C (2004) Forest fragmentation, synergisms and the impoverishment of neotropical forests. Biodivers Conserv 13:1419–1425
Thery M, Erard C, Sabatier D (1992) Les fruits dans le régime alimentaire de Penelope marail (Aves, Cracidés) en forêt guyanaise: frugivorie stricte et sélective? Revue d’Ecologie (Terre Vie) 47:383–401
Toni F (2003) Uruará : Pecuarização na fronteira agrícola. In: Toni F, Kaimowitz D (eds) Municípios e gestão florestal na Amazônia. A.S. Editores, Natal, pp 175–218
Veiga JB, Tourrand JF, Quanz D (1996) A pecuária na fronteira agrícola da Amazônia : o caso do município de Uruará, P.A., na região Transamazônica. Belém, Documentos de pesquisa n°87, EMBRAPA-CPATU, 61p
Venturieri A, Laques AE, Lombardo MA (2003) Utilização de imagens de satélite na caracterização de tipos paisagísticos na frente pioneira do município de Uruará, Amazônia Oriental, Pará. In: Anais do XI Simpósio Brasileiro de Sensoriamento Remoto, Belo Horizonte, INPE
Acknowledgments
We are especially grateful to the Embrapa-Amazônia oriental Research Centers of Belém and Uruará (Brazilian Agricultural Research Corporation) and to Cirad (French Agricultural Research Centre for International Development) that permitted the good progress of this survey. We thank Professor Jean François Tourrand for his logistical and scientific help.
Author information
Authors and Affiliations
Corresponding author
Rights and permissions
About this article
Cite this article
Bonaudo, T., Le Pendu, Y., Faure, J.F. et al. The effects of deforestation on wildlife along the transamazon highway. Eur J Wildl Res 51, 199–206 (2005). https://doi.org/10.1007/s10344-005-0092-1
Received:
Accepted:
Published:
Issue Date:
DOI: https://doi.org/10.1007/s10344-005-0092-1
Keywords
- Subsistence hunting
- Amazon region
- Game harvest
- Pioneer settlement
- Deforestation
- Hunting techniques