Abstract
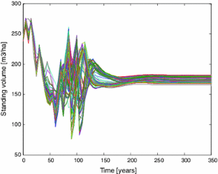
Transformation from even-aged to uneven-aged forest management is currently taking place throughout Europe. Climate change is, however, expected to change growth conditions—possibly quite radically. Using a deterministic approach, it was the objective of this study to investigate the influence of such changes on optimal transformation strategies for an even-aged stand of European Beech in Denmark. For a range of growth change scenarios, represented by changes in site index, optimal harvest policies were determined using a matrix modelling approach and a differential evolution algorithm. Transition probabilities were updated continuously based on stand level variables and the transition matrix was thus dynamic. With optimal transformation policies, stand development followed similar pathways during the transformation phase irrespective of climate change scenario. Optimal transformation policies were thus robust, suggesting that a good policy would work well under different outcomes of climate change, i.e., acting under erroneous assumptions about change would not lead to major economic loss. For the chosen case stand, the net present value (NPV) of the transformation phase (first 100 years) contributed 80–90 % of the total expectation value at a 2 % discount rate. To assess the robustness of the optimisation procedure and understand the nature of the response surface, 100 replications per scenario were carried out. Variation between replications peaked during the later stages of the transformation phase indicating several pathways for transformation, which were characterised by almost identical levels of profitability.




Similar content being viewed by others
Explore related subjects
Discover the latest articles and news from researchers in related subjects, suggested using machine learning.References
Albert M, Schmidt M (2010) Climate sensitive modelling of site-productivity relationships for Norway spruce (Picea abies (L.) Karst.) and common beech (Fagus sylvatica L.). Forest Ecol Manag 259:739–749
Bolte A, Hilbrig L, Grundmann B, Kampf F, Brunet J, Roloff A (2010) Climate change impacts on stand structure and competitive interactions in a southern Swedish spruce-beech forest. Eur J For Res 129:261–276
Bontemps J, Hervé J, Dhôte J (2009) Long term changes in forest productivity: a consistent assessment in even-aged stands. For Sci 55(6):549–569
Buongiorno J (2001) Quantifying the implications of transformation from even to uneven-aged forest stands. For Ecol Manag 151:121–132
Christensen JH, Hewitson B, Busuioc A, Chen A, Gao X, Held I, Jones R, Kolli RK, Kwon W-T, Laprise R, Magaña Rueda V, Mearns L, Menéndez CG, Räisänen J, Rinke A, Sarr A, Whetton P (2007) Regional climate projections. In: Solomon S, Qin D, Manning M, Chen Z, Marquis M, Averyt KB, Tignor M, Miller HL (eds) Climate Change 2007: The physical science basis. Contribution of working group I to the fourth assessment report of the intergovernmental panel on climate change. Cambridge University Press, Cambridge
D′Amato AW, Bradford JB, Fraver S (2011) Forest management for mitigation and adaptation from longterm silviculture experiments. For Ecol Manag 262:803–816
Danish Nature Agency (2012) Hvordan drives statsskovene? (How are the state forests managed?), Danish Nature Agency (in Danish). http://www.naturstyrelsen.dk/Naturbeskyttelse/Skov/Statsskovene/Drift/. Accessed 24 Jan 2012
Friedrichs DA, Trouet V, Büntgen U, Frank DC, Esper J, Neuwirth B, Löffler J (2009) Species-specific climate sensitivity of tree growth in Central-West Germany. Trees 23:729–739
Geßler A, Keitel C, Kreuzwieser J, Matyssek R, Seiler W, Rennenberg H (2007) Potential risks for European beech (Fagus sylvatica L.) in a changing climate. Trees 21:1–11
Hanewinkel M (2001) Economic aspects of the transformation from even-aged pure stands of Norway spruce to uneven-aged mixed stands of Norway spruce and beech. For Ecol Manag 151:181–193
Hanewinkel M, Pretzsch H (2000) Modelling the conversion from even-aged to uneven-aged stands of Norway spruce (Picea abies L. Karst.) with a distance-dependent growth simulator. For Ecol Manag 134:55–70
Hawkins E, Sutton R (2011) The potential to narrow uncertainty in projections of regional precipitation change. Clim Dyn 37:407–418
Hendrix EMT, Tóth BG (2010) Introduction to nonlinear and global optimization. Springer, New York
IPCC (2007) IPCC fourth assessment report: climate change 2007 (AR4), [online], IPCC, [Quoted 23/1-2012], http://www.ipcc.ch/publications_and_data/ar4/wg1/en/contents.html
Jacobsen JB, Helles F (2006) Adaptive and non-adaptive harvesting in uneven-aged beech forest with stochastic prices. For Policy Econ 8:223–238
Kenk G, Guehne S (2001) Management of transformation in central Europe. For Ecol Manag 151:107–119
Knoke T, Plusczyk N (2001) On the economic consequences of transformation of a spruce (Picea abies (L.) Karst) dominated stand from regular into irregular age structure. For Ecol Manag 151:163–179
Knoke T, Moog M, Plusczyk N (2001) On the effect of volatile stumpage prices on the economic attractiveness of a silvicultural transformation strategy. For Policy Econ 2:229–240
Knoke T, Stang S, Remler N (2006) Ranking the importance of quality variables for the price of high quality beech timber (Fagus sylvatica L.). Ann For Sci 63(4):399–413
Larsen JB, Johannsen VK, Thomsen IM (2011) Expected climate change and options for european silviculture—Denmark: Country Report in the frame of Cost Action FP0703, Forest & Landscape. University of Copenhagen, Copenhagen
López I, Fullana C, Ortuño SF, Martín AJ (2008) Choosing Fagus sylvatica L. matrix model dimension by sensitivity analysis of the population growth rate with respect to the width of the diameter classes. Ecol Model 218:307–314
Madsen SF (1987) Vedmassefunktioner ved forskellige aflægningsgrænser og nøjagtighedskrav for nogle vigtige danske skovtræarter (Volume equations for some important Danish tree species. Standard and form class equations. Total and merchantable volumes). Det forstlige Forsøgsvæsen i Danmark 41:41–242
Meilby H, Tarp P (2006) Optimal conversion of European beech—models and preliminary results. Paper presented at The biennial meeting of the Scandinavian Society of Forest Economics, Uppsala, Sverige. 8–11. May, 2006. Uppsala: Scandinavian Society of Forest Economics, pp 197–205
Möhring B, Rüping U (2008) A concept for the calculation of financial losses when changing the forest management strategy. For Policy Econ 10:98–107
Morsing M (2001) Simulating selection system management of European beech (Fagus Sylvatica L.). Ph.D.-dissertation, Royal Veterinary and Agricultural University, Frederiksberg, Denmark, pp 1–176
Nord-Larsen T (2006) Modeling individual-tree growth from data with highly irregular measurement intervals. For Sci 52:198–208
Nord-Larsen T, Bechsgaard A, Holm M, Holten-Andersen P (2003) Economic analysis of near-natural stand management in Northern Germany. For Ecol Manag 184:149–165
Price M, Price C (2006) Creaming the best, or creatively transforming? Might felling the biggest trees first be a win–win strategy? For Ecol Manag 224:297–303
Scharnweber T, Manthey M, Criegee C, Bauwe A, Schröder C, Wilmking M (2011) Drought matters—Declining precipitation influences growth of Fagus sylvatica L. and Quercus robur L. in north–eastern Germany. Forest Ecol Manag 262:947–961
Schou E, Jacobsen JB, Kristensen KL (2012) An economic evaluation of strategies for transforming even-aged into near-natural forestry in a conifer-dominated forest in Denmark. For Policy Econ 20:89–98
Solberg S, Dobbertin M, Reinds GJ, Lange H, Andreassen K, Fernandez PG, Hildingsson A, de Vries W (2009) Analyses of the impact of changes in atmospheric deposition and climate on forest growth in European monitoring plots: a stand growth approach. For Ecol Manag 258:1735–1750
Spiecker H, Hansen J, Klimo E, Skovsgaard JP, Sterba H, von Teuffel K (eds) (2004) Norway spruce Conversion: Options and Consequences. European Forest Institute Research Report. S. Brill Academic, Leiden
Statistics Denmark, 2010. Consumer price index, [online], Statistics Denmark. http://www.dst.dk/da/Statistik/Konjunkturindikatorer/seneste/Indkomst/Priser/Forbrugerprisindeks.aspx. Accessed 17 July 2010
Sterba H, Zingg A (2001) Target diameter harvesting—a strategy to convert even-aged forests. For Ecol Manag 151:95–105
Tarp P, Helles F, Holten-Andersen P, Larsen JB, Strange N (2000) Modelling near-natural silvicultural regimes for beech: an economic sensitivity analysis. For Ecol Manag 130:187–198
Tarp P, Buongiorno J, Helles F, Larsen JB, Meilby H, Strange N (2005) Economics of converting an even-aged Fagus sylvatica stand to an uneven-aged stand using target diameter harvesting. Scand J For Res 2005(20):63–74
The Danish Forest Association, 2010. Prisstatistik (Price statistics), [online], The Danish Forest Association [Accessed 2010].http://danskskovforening.dk/site/prisstatistik/
The Danish Forest Association, Hedeselskabet, Skovdyrkerforeningerne, The Danish Forest and Nature Agency, 2003. Skovøkonomisk Tabelværk til Windows, Version 1.1 [Forest Economic Tables for Windows, Version 1.1], Dansk Skovforening, Frederiksberg (in Danish)
van Hulst R (1979) On the dynamics of vegetation: Markov Chains as models of succession. Vegetatio 40(1):3–14
Vanclay J (1994) Modelling forest growth and yield. Cab International, Wallington, pp 1–77
Zell J, Hanewinkel M, Seeling U (2004) Financial optimisation of target diameter harvesting of European beech (Fagus sylvatica) considering the risk of decrease of timber quality due to red heartwood. Forest Policy Econ 6:579–593
Acknowledgments
Comments made by two anonymous reviewers helped improving the manuscript. The study was conducted partly as a component of the MOTIVE project (‘MOdels for adapTIVE forest management’) funded by the European Community’s Seventh Framework Programme (FP7/2007-2013) under grant agreement no. 226544.
Author information
Authors and Affiliations
Corresponding author
Additional information
Communicated by C. Ammer.
Rights and permissions
About this article
Cite this article
Schou, E., Meilby, H. Transformation of even-aged European beech (Fagus sylvatica L.) to uneven-aged management under changing growth conditions caused by climate change. Eur J Forest Res 132, 777–789 (2013). https://doi.org/10.1007/s10342-013-0702-5
Received:
Revised:
Accepted:
Published:
Issue Date:
DOI: https://doi.org/10.1007/s10342-013-0702-5


