Abstract
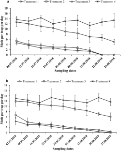
A sound IPM management for false codling moth (FCM), Thaumatotibia leucotreta, a devastating pest threatening horticultural production in Africa, is urgently needed. The compatibility of the dry conidia of virulent fungal isolate, Metarhizium anisopliae ICIPE 69 with FCM sex pheromone (Crytrack®) in the autoinoculation was assessed. The effect of the pheromone on the conidial germination was monitored for 4 weeks under field conditions. The multilocation trial was implemented in Machakos and Makueni counties in Kenya to test the efficacy of M. anisopliae ICIPE 69 and Last Call FCM® for T. leucotreta control in orange orchards. The treatments evaluated were (1) M. anisopliae ICIPE 69 (Campaign® and dry conidia); (2) Last Call FCM®; (3) M. anisopliae ICIPE 69 (Campaign® and dry conidia) and Last Call FCM®; and (4) Untreated control orchards. Results show that the conidial viability is not affected by the pheromone. For the multilocation FCM control trial, all treated orchards recorded a significant reduction in the FCM population and consequently fruit infestation, relative to the control (no intervention). FCM infested fruits were 18, 27, 5, and 49% in the treatments 1, 2, 3, and 4, respectively, in Machakos, and 24, 31, 7, and 54% for treatments 1, 2, 3 and 4 in Makueni. The highest marketable yield was recorded in orchards that received treatment 3 for both counties. The yield was 10,880.68 and 11,192.26 kg orange fruit/ha for Machakos and Makueni, respectively. The implication for the management of FCM is discussed in light of the findings of this study.








Similar content being viewed by others
References
Agale SV, Gopalakrishnan S, Ambhure KG et al (2018) Mass production of entomopathogenic fungi (Metarhizium anisopliae) using different grains as a substrate. Int J Curr Microbiol Appl Sci 7:2227–2232
Begemann GJ (2008) The mortality of Thaumatotibia leucotreta (Meyrick) final instar larvae exposed to the entomopathogenic fungus Beauveria bassiana (Balsamo) Vuillemin. Afr Entomol 16:306–308
Chow A, Dunlap CA, Jackson MA et al (2018) Field efficacy of autodissemination and foliar sprays of an entomopathogenic fungus, Isaria fumosorosea (Hypocreales: cordycipitaceae), for control of Asian citrus psyllid, Diaphorina citri (Hemiptera: Liviidae), on residential citrus. J Econ Entomol 111:2089–2100
Coombes CA, Hill MP, Moore SD et al (2013) Persistence and virulence of promising entomopathogenic fungal isolates for use in citrus orchards in South Africa. Biocontrol Sci Technol 23:1053–1066
Das BK, Mukherjee SC (2003) Toxicity of cypermethrin in Labeo rohita fingerlings: biochemical, enzymatic and haematological consequences. Comp Biochem Phys C 134:109–121
Dimbi S, Maniania NK, Lux SA et al (2003) Pathogenicity of Metarhizium anisopliae (Metsch.) Sorokin and Beauveria bassiana (Balsamo) Vuillemin, to three adult fruit fly species: Ceratitis capitata (Weidemann), C. rosa var. fasciventris Karsch and C. cosyra (Walker) (Diptera: Tephritidae). Mycopathologia 156:375–382
Dimbi S, Maniania NK, Lux SA, Mueke JM (2004) Effect of constant temperatures on germination, radial growth and virulence of Metarhizium anisopliae to three species of African tephritid fruit flies. Biocontrol 49:83–94
Dimbi S, Maniania N, Ekesi S (2013) Horizontal transmission of Metarhizium anisopliae in fruit flies and effect of fungal infection on egg laying and fertility. Insects 4:206–216
Drago B, Shah NS, Shah SH (2014) Acute permethrin neurotoxicity: variable presentations, high index of suspicion. Toxicol Rep 1:1026–1028
Ekesi S, Maniania NK, Lux SA (2002) Mortality in three African tephritid fruit fly puparia and adults caused by the entomopathogenic fungi, Metarhizium anisopliae and Beauveria bassiana. Biocontrol Sci Tech 12:7–17
Erichsen C, Schoeman AS (1994) Moth pests of avocados. South African Avocado Growers’ Assoc Yearbook 17:109–112
Furlong MJ, Pell JK (2001) Horizontal transmission of entomopathogenic fungi by the diamondback moth. Biol Control 22:288–299
Furlong MJ, Pell JK, Choo OP, Rahman SA (1995) Field and laboratory evaluation of a sex pheromone trap for the autodissemination of the fungal entomopathogen Zoophthora radicans (Entomophthorales) by the diamondback moth, Plutella xylostella (Lepidoptera: Yponomeutidae). Bull Entomol Res 85:331–337
Gilligan TM, Epstein ME, Hoffman KM (2011) Discovery of false codling moth, Thaumatotibia leucotreta (Meyrick), in California (Lepidoptera: Tortricidae). Proc Entomol Soc Wash 113:426–435
Goble TA, Dames JF, Hill MP, Moore SD (2011) Investigation of native isolates of entomopathogenic fungi for the biological control of three citrus pests. Biocontrol Sci Tech 21:1193–1211
Goettel MS, Inglis GD (1997) Fungi: hyphomycetes. In: Lacey LA (ed) Manual of techniques in insect pathology, 1st edn. Academic Press, London, pp 213–249
Henderson CF, Tilton EW (1955) Tests with acaricides against the brown wheat mite. J Econ Entomol 48:157–161
Hill MP, Fullard T (2013) Impact of insecticides on the reproductive potential of false codling moth, Thaumatotibia leucotreta (Meyrick 1913 (Lepidoptera: Tortricidae). Afr Entomol 21:310–315
Hofmeyr KL (1998) Resistance of false codling moth, Cryptophlebia leucotreta (Meyrick) (Lepidoptera: Tortricidae), to the chitin synthesis inhibitor, triflumuron. Afr Entomol 6:373–375
Inglis GD, Enkerli J, Goettel MS (2012) Laboratory techniques used for entomopathogenic fungi: Hypocreales. In: Lacey LA (ed) Manual of techniques in invertebrate pathology, 2nd edn. Academic Press, London, pp 189–253
Jaronski ST (2010) Ecological factors in the inundative use of fungal entomopathogens. Biocontrol 55:159–185
Karel AK, Ashimogo GC (1991) Economics of insect control on common beans and soybeans in Tanzania. J Econ Entomol 84:996–1000
Khan MA, Khan Z, Ahmad W et al (2015) Insect pest resistance: an alternative approach for crop protection. In: Hakeem, Khalid R (eds) Crop production and global environmental issues, 1st edn. Springer, Switzerland, pp 257–282
Kirkman W, Moore S (2007) A study of alternative hosts for the false codling moth, Thaumatotibia (= Cryptophlebia) leucotreta in the Eastern Cape. SA Fruit J 6:33–38
Klein MG, Lacey LA (1999) An attractant trap for autodissemination of entomopathogenic fungi into populations of the Japanese beetle Popillia japonica (Coleoptera: Scarabaeidae). Biocontrol Sci Technol 9:151–158
Latifian M, Rad B, Amani M (2014) Mass production of entomopathogenic fungi Metarhizium anisopliae by using agricultural products based on liquid–solid diphasic method for date palm pest control. IJFAS 3:368–372
Levi-Zada A, Fefer D, Madar R et al (2020) Evaluation of pheromone of false codling moth Thaumatotibia leucotreta in Israel by sequential SPME/GCMS analysis and field trials. J Pest Sci 93:519–529
Malan AP, von Diest JI, Moore SD, Addison P (2018) Control options for false codling moth, Thaumatotibia leucotreta (Lepidoptera: Tortricidae), in South Africa, with emphasis on the potential use of entomopathogenic nematodes and fungi. Afr Entomol 26:14–30
Maniania NK (1992) Pathogenicity of entomogenous fungi (Hyphomycetes) to larvae of the stem borers, Chilo partellus Swinhoe and Busseola fusca Fuller. Int J Trop Insect Sci 13:691–696
Maniania NK (1998) A device for infecting adult tsetse flies, Glossina spp., with an entomopathogenic fungus in the field. Biol Control 11:248–254
Maniania NK (2002) A low-cost contamination device for infecting adult tsetse flies, Glossina spp., with the entomopathogenic fungus Metarhizium anisopliae in the field. Biocontrol Sci Technol 12:59–66
Mazza G, Strangi A, Marinelli L et al (2014) Thaumatotibia leucotreta (Meyrick) (Lepidoptera Tortricidae) intercepted for the first time in Italy. Redia 97:147–149
Mfuti DK, Subramanian S, Niassy S et al (2016) Screening for attractants compatible with entomopathogenic fungus Metarhizium anisopliae for use in thrips management. Afr J Biotechnol 15:714–721
Milner RJ, Staples JA, Lutton GG (1997) The effect of humidity on germination and infection of termites by the hyphomycete, Metarhizium anisopliae. J Invertebr Pathol 69:64–69
Mkiga A, Mohamed S, du Plessis H et al (2019) Field and laboratory performance of false codling moth, Thaumatotibia leucotreta (Lepidoptera: Troticidae) on orange and selected vegetables. Insects 10(63):1–18
Mkiga AM, Mohamed SA, du Plessis H et al (2020) Metarhizium anisopliae and Beauveria bassiana: pathogenicity, horizontal transmission, and their effects on reproductive potential of Thaumatotibia leucotreta (Lepidoptera: Tortricidae). J Econ Entomol 10:1–9
Moore SD (2012) Moths and butterflies: false codling moth. Citrus Res Int IPM Prod Guidel 3:1–9
Moore SD, Richards GI, Chambers C, Hendry D (2014) An improved larval diet for commercial mass rearing of the false codling moth, Thaumatotibia leucotreta (Meyrick) (Lepidoptera: Tortricidae). Afr Entomol 22:216–219
Moore SD, Fullard T, Dames JF et al (2015) Beauveria and Metarhizium against false codling moth (Lepidoptera: Tortricidae): a step towards selecting isolates for potential development of a mycoinsecticide. Afr Entomol 23:239–242
Mwamburi LA, Laing MD, Miller RM (2015) Effect of surfactants and temperature on germination and vegetative growth of Beauveria bassiana. Braz J Microbiol 46:67–74
Nana P, Ekesi S, Nchu F, Maniania NK (2016) Compatibility of Metarhizium anisopliae with Calpurnia aurea leaf extracts and virulence against Rhipicephalus pulchellus. J Appl Entomol 140:590–597
Navarro-Llopis V, Ayala I, Sanchis J et al (2015) Field efficacy of a metarhizium anisopliae-based attractant-contaminant device to control ceratitis capitata (Diptera: Tephritidae). J Econ Entomol 108:1570–1578
Opisa S, Du Plessis H, Akutse KS et al (2018) Effects of entomopathogenic fungi and Bacillus thuringiensis-based biopesticides on Spoladea recurvalis (Lepidoptera: Crambidae). J Appl Entomol 142:617–626
Opoku-Debrah JK, Hill MP, Knox C, Moore SD (2014) Comparison of the biology of geographically distinct populations of the citrus pest, Thaumatotibia leucotreta (Meyrick)(Lepidoptera: Tortricidae), in South Africa. Afr Entomol 22:530–537
Pell JK, Macaulay EDM (1993) A pheromone trap for dispersal of the pathogen Zoophthora radicans Brefeld. (Zygomycetes: Entomophthorales) amongst populations of the Diamondback Moth, Plutella xylostella L. (Lepidoptera: Yponomeutidae). Biocontrol Sci Technol 3:315–320
Quesada-Moraga E, Santos-Quiros R, Valverde-Garcia P, Santiago-Alvarez C (2004) Virulence, horizontal transmission, and sublethal reproductive effects of Metarhizium anisopliae (Anamorphic fungi) on the German cockroach (Blattodea: Blattellidae). J Invertebr Pathol 87:51–58
Sandhu SS, Sharma AK, Beniwal V et al (2012) Myco-biocontrol of insect pests: factors involved, mechanism, and regulation. J Pathog 2012:1–10
Senthil-Nathan S (2015) A review of biopesticides and their mode of action against insect pests. In: Thangavel P, Sridevi G (eds) Environmental sustainability, 1st edn. Springer, India, pp 49–63
Shahid AA, Rao AQ, Bakhsh A, Husnain T (2012) Entomopathogenic fungi as biological controllers: new insights into their virulence and pathogenicity. Arch Biol Sci 64:21–42
Sookar P, Bhagwant S, Allymamod MN (2014) Effect of Metarhizium anisopliae on the fertility and fecundity of two species of fruit flies and horizontal transmission of mycotic infection. J Insect Sci 14:1–12
Team RC (2016) R Core Team. A language and environment for statistical computing. R Foundation for Statistical Computing, Vienna
Toledo J, Campos SE, Flores S et al (2014) Horizontal transmission of Beauveria bassiana in Anastrepha ludens (Diptera: Tephritidae) under laboratory and field cage conditions. J Econ Entomol 100:291–297
Venette RC, Davis EE, DaCosta M, et al (2003) Mini risk assessment false codling moth, Thaumatotibia (Cryptophlebia) leucotreta (Meyrick) (Lepidoptera: Tortricidae). University of Minnesota, Department of Entomology, CAPS PRA, pp 1–30
Vega FE, Dowd PF, Bartelt RJ (1995) Dissemination of microbial agents using an auto-inoculating device and several insect species as vectors. Biocontrol 5:545–552
Vega FE, Goettel MS, Blackwell M et al (2009) Fungal entomopathogens: new insights on their ecology. Fungal Ecol 2:149–159
Zagatti P, Castel Y (1987) Courtship behaviour of the false codling moth, Cryptophlebia leucotreta (Meyrick): androconial display and mating success (Lepidoptera, Tortricidae). Ann Soc Ent Fr 23(2):113–123
Zimmermann G (2007) Review on safety of the entomopathogenic fungi Beauveria bassiana and Beauveria brongniartii. Biocontrol Sci Technol 17:553–596
Acknowledgements
We gratefully acknowledge the financial support for this research by the following organizations and agencies: the specific restricted project donors Deutsche Gesellchaft fu¨r Internationale Zusammernarbeit GIZ Grant Number 14.1432.5-001.00; and Norwegian Agency for Development Cooperation’, the Section for research, innovation, and higher education grant number RAF-3058 KEN-18/0005. We also gratefully acknowledge the financial support through the core donors of ICIPE, UK’s Foreign, Commonwealth & Development Office (FCDO); the Swedish International Development Cooperation Agency (Sida); the Swiss Agency for Development and Cooperation (SDC); the Federal Democratic Republic of Ethiopia; and the Government of the Republic of Kenya.. Abdullah Mkiga was supported by a German Academic Exchange Service (DAAD) In-Region Postgraduate Scholarship.
Author information
Authors and Affiliations
Corresponding authors
Additional information
Communicated by Lara Jaber.
Publisher's Note
Springer Nature remains neutral with regard to jurisdictional claims in published maps and institutional affiliations.
Rights and permissions
About this article
Cite this article
Mkiga, A.M., Mohamed, S.A., du Plessis, H. et al. Compatibility and efficacy of Metarhizium anisopliae and sex pheromone for controlling Thaumatotibia leucotreta. J Pest Sci 94, 393–407 (2021). https://doi.org/10.1007/s10340-020-01281-z
Received:
Revised:
Accepted:
Published:
Issue Date:
DOI: https://doi.org/10.1007/s10340-020-01281-z


