Abstract
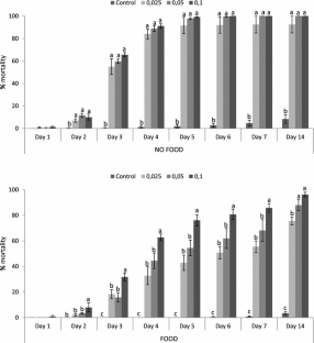
Contact toxicity of spinetoram was evaluated in laboratory bioassays on concrete, ceramic tile, galvanized steel, and plywood. The efficacy of spinetoram was assessed at dose rates of 0.025 mg (AI)/cm2, 0.05 mg (AI)/cm2, and 0.1 mg (AI)/cm2 in two series of bioassays. The first series was conducted on concrete surfaces, with adults of Rhyzopertha dominica (F.), Sitophilus oryzae (L.), S. granarius (L.), Tribolium confusum Jacquelin du Val, Oryzaephilus surinamensis (L.), and Cryptolestes ferrugineus (Stephens). The second series was conducted at the same dose rates on all surfaces against adults of R. dominica, S. oryzae, and T. confusum. An equal number of dishes with and without food were used in both bioassay series. Mortality was assessed daily for 7 days for T. confusum and after this interval all live adults were removed and transferred to untreated surfaces with food and held under the same conditions. After the first week of daily evaluation, delayed mortality was evaluated 7 days later. For all the other species, mortality was measured after 5 days of exposure. The results of the first series of bioassays showed that T. confusum was the least susceptible to spinetoram-treated concrete surfaces. In contrast, all the other species were found susceptible, regardless of the dose and the presence of food. Regarding the comparison of different surfaces, our results illustrate that, with the exception of T. confusum, there were no significant differences among surfaces. The results of the present study indicate that spinetoram was effective against various species on several types of surfaces, and the presence of food did not influence its efficacy in most cases.
This is a preview of subscription content, access via your institution.


References
Arthur FH (1997) Differential effectiveness of deltamethrin dust on plywood, concrete, and tile surfaces against three stored-product beetles. J Stored Prod Res 33:167–173
Arthur FH (1998) Residual toxicity of cyfluthrin wettable powder against Tribolium confusum (Coleoptera: Tenebrionidae) exposed for short time intervals on concrete. J Stored Prod Res 34:19–25
Arthur FH (2000a) Impact of food source on survival of red flour beetles and confused flour beetles (Coleoptera: Tenebrionidae) exposed to diatomaceous earth. J Econ Entomol 93:1347–1356
Arthur FH (2000b) Impact of accumulated food on survival of Tribolium castaneum on concrete treated with cyfluthrin wettable powder. J Stored Prod Res 36:15–23
Arthur FH (2008) Efficacy of chlorfenapyr against Tribolium castaneum and Tribolium confusum (Coleoptera: Tenebrionidae) adults exposed on concrete, vinyl tile, and plywood surfaces. J Stored Prod Res 44:145–151
Arthur FH (2012) Aerosols and contact insecticides as alternatives to methyl bromide in flour mills, food production facilities, and food warehouses. J Pest Sci 85:323–329
Arthur FH, Liu S, Zhao B, Phillips TW (2009) Residual efficacy of pyriproxyfen and hydroprene applied to wood, metal and concrete for control of stored-product insects. Pest Manag Sci 65:791–797
Athanassiou CG, Arthur FH, Throne JE (2010) Effects of short exposures to spinosad-treated wheat or maize on four stored-grain insects. J Econ Entomol 103:197–202
Athanassiou CG, Kavallieratos NG, Arthur FH, Throne JE (2013) Efficacy of a combination of beta-cyfluthrin and imidacloprid and beta-cyfluthrin alone for control of stored-product insects on concrete. J Econ Entomol 106:1064–1070
Bert BL, Larson LL, Schoonover JR, Sparks TC, Thompson GD (1997) Biological properties of spinosad. Down Earth 52:6–13
Biondi A, Mommaerts V, Smagghe G, Viñuela E, Zappalà L, Desneux N (2012) The non-target impact of spinosyns on beneficial arthropods. Pest Manag Sci 68:1523–1536
Dripps JE, Boucher RE, Chloridis A, Cleveland CB, DeAmicis CV, Gomez LE, Paroonagian DL, Pavan LA, Sparks TC, Watson GB (2011) The spinosyn insecticides. In: Lopez O, Fernandez-Bolanos JG (eds) Green trends in insect control. Royal Society of Chemistry, Cambridge, pp 163–212
Giga DP, Canhao J Sr (1991) Relative toxicity and persistence of pyrethroid deposits on different surfaces for the control of Prostephanus truncatus (Horn) and Sitophilus zeamais (Motsch.). J Stored Prod Res 27:153–160
Hertlein MB, Thompson GD, Subramanyam B, Athanassiou CG (2011) Spinosad: a new natural product for stored grain protection. J Stored Prod Res 47:131–146
Holmstrup M, Bindesbøl A-M, Oostingh GJ, Duschl A, Scheil V, Köhler H-R, Spurgeon DJ (2010) Interactions between effects of environmental chemicals and natural stressors: a review. Sci Total Environ 408:3746–3762
Jankov D, Inđić D, Kljajić P, Almaši R, Andrić G, Vuković S, Grahovac M (2013) Initial and residual efficacy of insecticides on different surfaces against rice weevil Sitophilus oryzae (L.). J Pest Sci 86:211–216
Nayak MK, Collins PJ, Kopittke RA (2002) Comparative residual toxicities of carbaryl, deltamethrin and permethrin as structural treatments against three liposcelidid psocid species (Psocoptera: Liposcelididae) infesting stored commodities. J Stored Prod Res 38:247–258
Sall J, Lehman A, Creighton L (2001) JMP start statistics. A guide to statistics and data analysis using JMP and JMP IN software. Duxbury Press, Belmont, CA
Sehgal B, Subramanyam B, Arthur FH, Gill BS (2013) Variation in susceptibility of laboratory and field strains of three stored-grain insect species to β-cyfluthrin and chlorpyrifos-methyl plus deltamethrin applied to concrete surfaces. Pest Manag Sci. doi:10.1002//ps.3580
Sparks TC, Crouse GD, Dripps JE, Anzeveno P, Martynow J, Deamicis CV, Gifford J (2008) Neural network-based QSAR and insecticide discovery: spinetoram. J Comput Aided Mol Des 22:393–401
Thompson GD, Dutton R, Sparks TC (2000) Spinosad-a case study: an example from a natural products discovery programme. Pest Manag Sci 56:696–702
Toews MD, Subramanyam B (2003) Contribution of contact toxicity and wheat condition to mortality of stored-product insects exposed to spinosad. Pest Manag Sci 59:538–544
Toews MD, Subramanyam B, Rowan JM (2003) Knockdown and mortality of adults of eight species of stored-product beetles exposed to four surfaces treated with spinosad. J Econ Entomol 96:1967–1973
Vassilakos TN, Athanassiou CG (2012) Effect of short exposures to spinetoram against three stored-product beetle species. J Econ Entomol 105:1088–1094
Vassilakos TN, Athanassiou CG, Saglam O, Chloridis AS, Dripps JE (2012) Insecticidal effect of spinetoram against six major stored grain insect species. J Stored Prod Res 51:69–73
Acknowledgments
We would like to thank Dow Agrosciences for providing the spinetoram formulations for experimentation. Mention of trade names is only for scientific information and does not imply recommendation by the University of Thessaly.
Author information
Authors and Affiliations
Corresponding author
Additional information
Communicated by M. Traugott.
Rights and permissions
About this article
Cite this article
Vassilakos, T.N., Athanassiou, C.G., Chloridis, A.S. et al. Efficacy of spinetoram as a contact insecticide on different surfaces against stored-product beetle species. J Pest Sci 87, 485–494 (2014). https://doi.org/10.1007/s10340-014-0574-6
Received:
Accepted:
Published:
Issue Date:
DOI: https://doi.org/10.1007/s10340-014-0574-6
Keywords
- Biopesticide
- Spinosyns
- Stored product insects
- Surface treatment
- Contact toxicity
- Efficacy