Abstract
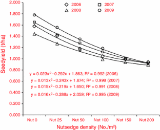
Purple nutsedge (~nutsedge) is an important perennial weed, which infests soybean in India and causes high yield losses. Selective pre-emergence herbicides hardly control nutsedge. Post-emergent application of imazethapyr is effective against nutsedge with almost 70 % efficiency. Information on the interference effect of nutsedge across densities on soybean and its economic threshold (ET) is hardly available, but would be useful for its management, and saving herbicide treatments with lower densities. An experiment was designed to evaluate the interference of nutsedge in pure stands, and that of natural weed infestations on soybean. Moreover, it was aimed to determine ET of nutsedge in soybean. The dry weights of weeds in the treatments ‘natural weeds including nutsedge’ and the one of nutsedges in the pure stand density of nutsedge 200 plants/m2 were similar and higher than weed biomass in other nutsedge densities. The ‘natural weed infestation both including and excluding nutsedge’ and the treatment of 200 nutsedge plants/m2 caused greater reductions in soybean yields and were the most competitive. The ET of nutsedge in soybean was 19–22 (~mean 21) plants/m2, considering 70 % efficiency of the herbicide imazethapyr. It predicts that a density of 21 nutsedge plants/m2 can cause 9.1–11.5 % yield losses, which are an economic loss under this situation. This ET would help in making decisions for nutsedge management and fitting models and could be used for other similar sites with nutsedge dominance. This ET, considering several production factors, is more precise and reliable than the ET determined with only yield losses.
This is a preview of subscription content, access via your institution.



References
Cheema MS, Akhtar M (2006) Evaluation of economic threshold level of wild oat (Avena fatua L.) in wheat under superimposed application of fenoxaprop-p-ethyl. Pakistan J Weed Sci Res 12(4):257–264
Coble HD, Mortensen DA (1992) The threshold concept and its application to weed science. Weed Technol 6:191–195
Cousens R (1985) A simple model relating yields loss to weed density. Ann Appl Biol 107:239–252
Cousens R (1987) Theory and reality of weed control thresholds. Plant Prot Q 2:13–20
Cussans GW, Cousens RD, Wilson BJ (1986) Thresholds for weed control – The concepts and their interpretation. In: Proceedings, European Weed Research Society (EWRS) Symposium on Economic Weed Control. Stuttagart-Hohenheim, Germany, 253–260
Das TK (2001) Overview weed dynamics in crop field. Pestic Inf 27(3):35–46
Das TK (2008) Weed science: basics and applications, 1st edn. Jain Brothers Publishers, New Delhi 901p
Das TK, Yaduraju NT (2002) Bioefficacy of glufosinate-ammonium under zero tillage in mustard and on Cynodon dactylon (L.) Pers and Cyperus rotundus L. under non-crop situation. Pestic Res J 14(1):16–21
Das TK, Yaduraju NT (2008) Effect of soil solarization and crop husbandry practices on weed species competition and dynamics in soybean–wheat cropping system. Indian J Weed Sci 40(1&2):1–5
Dev I, Yaduraju NT, Ahuja KN (1997) Efficacy of glyphosate with or without additives/herbicides for the control of purple nutsedge (Cyperus rotundus L.) in soybean. Indian J Weed Sci 29(3&4):155–158
Dodamani BM, Das TK (2013) Density and nitrogen effects on interference and economic threshold of common lambsquarters in wheat. J Pest Sci 86:611–619
Edenfield MW, Brecke BJ, Colvin DL, Dusky JA, Shilling DG (2005) Purple nutsedge (Cyperus rotundus) control with glyphosate in soybean and cotton. Weed Technol 19:947–953
Gomez AK, Gomez AA (1984) Statistical procedures for agricultural research, 2nd edn. Wiley, New York
Grichar WJ, Sestak DC (2000) Effect of adjuvants on control of nutsedge (Cyperus esculentus and C.rotundus) by imazapic and imazethapyr. Crop prot 19:461–465
Hazra D, Das TK, Yaduraju NT (2011) Interference and economic threshold of horse purslane (Trianthema portulacastrum L.) in soybean cultivation in northern India. Weed Biol Manag 11(2):72–82
Holm LG, Plucknett DG, Pancho JV, Herberger JP (1991) The world’s worst weeds: distribution and biology. Krieger Publishing Co, Malabar, p 550
Jordan-Molero JE, Stoller EW (1978) Seasonal development of yellow and purple nutsedges (Cyperus esculentus and Cyperus rotundus) in Illinois. Weed Sci 26:614–618
Keeley PE (1987) Interference and interaction of purple and yellow nutsedges (Cyperus rotundus and C. esculentus) with crops. Weed Technol 1:74–81
Kumar Mukesh, Das TK, Yaduraju NT (2012) An integrated approach for management of Cyperus rotundus (purple nutsedge) in soybean–wheat cropping system. Crop Prot 33:74–81
Miles JE, Kawabata O, Nishimoto RK (2002) Modeling purple nutsedge sprouting under soil solarization. Weed Sci 50:64–71
Mukesh Kumar, Das TK, Yaduraju NT (2012) An integrated approach for management of Cyperus rotundus (purple nutsedge) in soybean–wheat cropping system. Crop Prot 33:74–81
Nelson KA, Renner KA (2002) Yellow nutsedge (Cyperus esculentus) control and tuber production with glyphosate and ALS inhibiting herbicides. Weed Technol 16:512–519
Nelson KA, Smoot RL (2010) Yellow nutsedge (Cyperus esculentus) interference in soybean. Weed Technol 24(1):39–43
Norris RF (1992) Case history for weed competition/population ecology. Barnyard grass (Echinochloa crusgalli) in sugarbeet (Beta vulgaris). Weed Technol 6:220–227
Rambakudzibga AM (1999) Aspects of the growth and development of Cyperus rotundus under arable crop canopies: implications for integrated control. Weed Res 39(6):507–514
Rogers HH, Runiona GB, Priora SA, Pricea AJ, Torberta HA, Gjerstadb DH (2008) Effects of elevated atmospheric CO2 on invasive plants: comparison of purple and yellow nutsedge (Cyperus rotundus L. and C. esculentus L.). J Environ Qual 37(2):395–400
Santos BM, Morales-Payan JP, Stall WM, Bewick TA, Shilling DG (1997) Effects of shading on the growth of nutsedges (Cyperus spp.). Weed Sci 45:670–673
Swanton CJ, Weise SF (1991) Integrated weed management: the rationale and approach. Weed Technol 5(3):657–663
Thomas AG, Légère A, Leeson JY, Stevenson FC, Holm FA, Gradin B (2011) Weed community response to contrasting integrated weed management systems for cool dryland annual crops. Weed Res 51:41–50
Thornton PK, Fawcett RH (1993) Weed control and the economic threshold. In: proceedings, International Symposium on “Integrated weed management for sustainable agriculture” 18–20 November. Indian Soc. of Weed Sci Hisar, India 1:17–27
USDA (2013) India soybean oilseed area harvested and production by year. United States Department of Agriculture (USDA). Available from URL: http://www.indexmundi.com/agriculture/?country=in&commodity=soybean-oilseed&graph=production. Accessed 27 Mar 2013
Vyas MD, Jain AK (2003) Effect of pre- and post-emergence herbicides on weed control and productivity of soybean. Indian J Agron 48(4):309–311
Webster TM, Grey TL, Davis JW, Culpepper AS (2008) Glyphosate hinders purple nutsedge (Cyperus rotundus) and yellow nutsedge (Cyperus esculentus) tuber production. Weed Sci 56:735–742
Wilkerson GG, Wiles LJ, Bennett AC (2002) Weed management decision models: pitfalls, perceptions, and possibilities of the economic threshold approach. Weed Sci 50:411–424
Zimdahl RL (2004) Weed-crop competition: a review, 2nd edn. Blackwell Publishing Ltd, Ames
Acknowledgments
The authors are grateful to the Division of Agronomy, Indian Agricultural Research Institute, New Delhi for necessary services and supplies provided during the course of investigation, and Indian Agricultural Statistics Research Institute, New Delhi for post-experiment data analysis and fitting models.
Author information
Authors and Affiliations
Corresponding author
Additional information
Communicated by M. Traugott.
Rights and permissions
About this article
Cite this article
Das, T.K., Paul, A.K. & Yaduraju, N.T. Density-effect and economic threshold of purple nutsedge (Cyperus rotundus) in soybean. J Pest Sci 87, 211–220 (2014). https://doi.org/10.1007/s10340-013-0536-4
Received:
Accepted:
Published:
Issue Date:
DOI: https://doi.org/10.1007/s10340-013-0536-4
Keywords
- Cyperus rotundus
- Economic threshold
- Interference
- Purple nutsedge
- Soybean
- Weed