Abstract
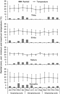
The seasonal abundance of western flower thrips (WFT) [Frankliniella occidentalis (Pergande) (Thysanoptera: Thripidae)] and its natural enemies on French beans in two agro-ecological zones (AEZs) (high and mid altitude) in Kenya, was studied in three growing cycles from January to December 2009. French beans were sampled every 2 weeks for WFT and natural enemies. Results show that colonization of French beans with WFT in both farm scales studied in the two AEZs started at 2- to 3-leaf stage. There was an increase in the population density of WFT from budding stage to podding/flowering stage, and it declined at crop senescence. The population densities of WFT on French beans were lower in the first compared with the second growing cycle and the highest in the third growing cycle. Two natural enemies of thrips, Orius spp. (Hemiptera: Anthocoridae) and Ceranisus menes (Walker) (Hymenoptera: Eulophidae), were recorded on French beans. The population density of C. menes was positively correlated with thatof WFT, while the population densities of Orius spp. and WFT were not correlated. The population density of WFT was not correlated with temperature and relative humidity, but was negatively correlated with rainfall. Our results suggest that the population density of WFT in the two AEZs differs along growing cycles and plant phenological stages. Management strategies targeted at WFT would need to start at early crop stages (3-leaf to budding stage), depending on growing cycle, to prevent further build-up of thrips population.






Similar content being viewed by others
References
Allsopp E (2010) Seasonal occurrence of western flower thrips, Frankliniella occidentalis (Pergande), on Table grapes in the Hex River Valley, South Africa. South African J Enol Vitic 31:49–57
Biobest (2012) Side-effects manual. Biobest. http://www.biobest.be/neveneffecten/3/3/
Buitenhuis R, Shipp JL (2006) Factors influencing the use of trap plants for the control of Frankliniella occidentalis (Thysanoptera: Thripidae) on greenhouse potted chrysanthemum. Environ Entomol 35:1411–1416
Feller C, Bleiholder H, Buhr L, Hack H, Hess M, Klose R, Meier U, Stauss R, Van Den Boom T, Weber E (1995) Phenological growth stages of vegetables: II. Fruiting vegetables and legumes. Nachrichtenbl Deut Pflanzenschutzd 47:217–232
Gitonga LM (1999) Bioecology of thrips in French bean growing ecosystem in Kenya. PhD Thesis, Jomo Kenyatta University of Agriculture and Technology (JKUAT), Kenya
Gitonga LM, Overholt WA, Löhr B, Magambo JK, Mueke JM (2002) Functional response of Orius albidipennis (Hemiptera: Anthocoridae) to Megalurothrips sjostedti (Thysanoptera: Thripidae). Biol Control 24:1–6
Greenberg SM, Liu T-X, Adamczyk JJ (2009) Thrips (Thysanoptera: Thripidae) on cotton in the Lower Rio Grande Valley of Texas: Species composition, seasonal abundance, damage, and control. Southwest Entomol 34:417–430
Groves RL, Walgenbach JF, Moyer JW, Kennedy GG (2002) The role of weed hosts and tobacco thrips, Frankliniella fusca in the epidemiology of tomato spotted wilt virus. Plant Dis 86:573–582
Hansen EA, Funderburk JE, Reitz SR, Ramachandran SR, Eger J, McAuslane H (2003) Within-plant distribution of Frankliniella species (Thysanoptera: Thripidae) and Orius insidiosus (Heteroptera: Anthocoridae) in Field Pepper. Environ Entomol 32:1035–1044
HCDA (Horticultural Crops Development Authority) (2010) Export statistics volumes. URL http://www.hcda.or.ke/Statistics/2010/2010%20Horticulture%20Validated%20Report.pdf/. Accessed on 16 Jan 2012
Hernandez LM, Stonedahl GM (1999) A review of the economically important species of the genus Orius (Heteroptera: Anthocoridae) in East Africa. J Nat Hist 33:543–568
Kasina MJ, Nderitu JH, Nyamasyo GN, Olubayo F, Waturu C, Obudho E, Yobera D (2006) Diurnal population trends of Megalurothrips sjostedti and Frankliniella occidentalis (Thysanoptera: Thripidae) and their natural enemies on French bean Phaseolus vulgaris (Fabaceae). Int J Trop Insect Sci 26:2–7
Katayama H (1997) Effect of temperature on development and oviposition of western flower thrips Frankliniella occidentalis (Pergande). Jpn J Appl Entomol Zool 41:225–231
Kedera C, Kuria B (2003) Invasive alien species in Kenya: identification of risks and management of invasive alien species using the IPPC framework. In: Proceedings of a Workshop in Braunschweig, Germany 22–26 Sept 2003. FAO/IPPC, Rome, pp 199–204
Kirk WDJ, Terry LI (2003) The spread of the western flower thrips Frankliniella occidentalis (Pergande). Agr For Entomol 5:301–310
Lewis T (1997) Flight and dispersal. In: Lewis T (ed) Thrips as crop pests. CABI, Oxon, pp 175–195
Lindquist RK, Casey ML, Bauerle WL, Short TL (1987) Effects of an over-head misting systems on thrips population and spider mite-predator interactions on greenhouse cucumber. Bull IOBC/WPRS 10:97–100
McDonald JR, Bale JS, Walters KFA (1998) Effect of temperature on development of the western flower thrips, Frankliniella occidentalis (Thysanoptera: Thripidae). Eur J Entomol 95:301–306
Moritz G, Mound LA, Morris DC, Goldarazena A (2004) Pest thrips of the World. An identification and information system using molecular and microscopical methods. CD-ROM published by Centre for Pest Information Technology and Transfer, The University of Queensland, Brisbane
Morsello SC, Kennedy GG (2009) Spring temperature and precipitation affect tobacco thrips, Frankliniella fusca, population growth and tomato spotted wilt virus spread within patches of the winter annual weed Stellaria media. Entomol Exp Appl 13:138–148
Nabirye J, Nampala P, Kyamanywa S, Ogenga-Latigo MW, Wilson H, Adipala E (2003) Determination of damage-yield loss relationships and economic injury levels of flower thrips on cowpea in eastern Uganda. Crop Prot 22:911–915
Nderitu JH, Wambua EM, Olubayo FM, Kasina MJ, Waturu CN (2007) Evaluation of French beans (Phaseolus vulgaris L.) cultivars and breeding lines for resistance to thrips (Thysanoptera: Thripidae) pests in Kenya. J Entomol 4:202–209
Nderitu JH, Kasina MJ, Nyamasyo GN, Waturu CN, Aura J (2008) Management of thrips (Thysanoptera: Thripidae) on French beans (Fabaceae) in Kenya: economics of insecticide application. J Entomol 5:148–155
Nderitu JH, Mwangi F, Nyamasyo GN, Kasina MJ (2009) Evaluation of cropping systems as a strategy for managing snap bean flower thrips in Kenya. Int J Sustain Crop Prod 4:22–25
Northfield TD, Paini DR, Funderburk JE, Reitz SR (2008) Annual cycles of Frankliniella spp. (Thysanoptera: Thripidae) thrips abundance on North Florida uncultivated reproductive hosts: predicting possible sources of pest outbreaks. Ann Entomol Soc Am 101:769–788
Nyasani JO, Meyhöfer R, Subramanian S, Poehling H-M (2010) Thrips species composition and abundance on French beans, associated crops and weed species in Kenya. In: Proceedings of the 9th International Symposium on Thysanoptera and Tospoviruses held at the Sea World Resort, Gold Coast, 31 August–4 Sept 2009. J Insect Sci 10:166/abstract62
Nyasani JO, Meyhöfer R, Subramanian S, Poehling H-M (2012) Effect of intercrops on thrips species composition and population abundance on French beans in Kenya. Entomol Exp Appl 142:236–246
Nyasani JO, Meyhöfer R, Subramanian S, Poehling H-M (2013) Feeding and oviposition preference of Frankliniella occidentalis for crops and weeds in Kenyan French bean fields. J Appl Entomol 137:204–213
Osekre EA, Wright DL, Marois JJ, Funderburk JE (2009) Population dynamics and within-plant distribution of Frankliniella spp. Thrips (Thysanoptera: Thripidae) in cotton. Environ Entomol 38:1205–1210
Palumbo JC, Sanchez CA, Mullis CH Jr (2002) Suppression of western flower thrips by overhead sprinkler irrigation in Romaine lettuce. http://cals.arizona.edu/pubs/crops/az1292/az1292/. Accessed 7th March 2013
R Development Core Team (2012) R: A language and environment for statistical computing. R Foundation for Statistical Computing, Vienna. ISBN 3-900051-07-0 , URL http://www.R-project.org/
Reitz SR (2008) Comparative bionomics of Frankliniella occidentalis and Frankliniella tritici. Fla Entomol 91:474–476
Rhainds M, Shipp L (2004) Dispersal by adult western flower thrips (Thysanoptera: Thripidae) in greenhouse crops. Can Entomol 136:241–254
SAS Institute (2008) SAS/STAT User’s guide. SAS Institute Inc, Cary
Schuch UK, Redak RA, Bethke JA (1998) Cultivar, fertilizer, and irrigation affect vegetative growth and susceptibility of chrysanthemum to western flower thrips. J Am Soc Hortic Sci 123:727–733
Tommasini MG, Maini S (1995) Frankliniella occidentalis and other thrips harmful to vegetable and ornamental crops in Europe. In: Loomans AJL, van Lenteren JC, Tommasini MG, Maini S, Riudavets J (eds) Biological control of thrips. Wageningen Agricultural University, Wageningen, Papers. 95.1, 1–42
Weintraub PG (2007) Integrated control of pest in tropical and subtropical sweet pepper production. Pest Manag Sci 63:753–760
Yoo HJS, O’Neil RJ (2009) Temporal relationships between the generalist predator, Orius insidiosus, and its two major prey in soybean. Biol Control 48:168–180
Yudin LS, Cho JJ, Mitchell WC (1986) Host range of western flower thrips Frankliniella occidentalis (Thysonoptera: Thripidae), with special reference to Leucaena glauca. Environ Entomol 15:292–295
Acknowledgments
This study was funded by the BMZ (The Germany Federal Ministry for Economic Cooperation and Development) through GIZ (Deutsche Gesellschaft für Internationale Zusammenarbeit) (Project No. 07.7860.5-001.00) to which we are grateful. We acknowledge the icipe, Nairobi, Kenya for providing the laboratory facilities. The authors thank the icipe Thrips IPM Project staff for their technical assistance. We thank Dr. Serguei Triapitsyn for identifying Ceranisus.
Author information
Authors and Affiliations
Corresponding author
Additional information
Communicated by M. Traugott.
Rights and permissions
About this article
Cite this article
Nyasani, J.O., Meyhöfer, R., Subramanian, S. et al. Seasonal abundance of western flower thrips and its natural enemies in different French bean agroecosystems in Kenya. J Pest Sci 86, 515–523 (2013). https://doi.org/10.1007/s10340-013-0491-0
Received:
Accepted:
Published:
Issue Date:
DOI: https://doi.org/10.1007/s10340-013-0491-0


