Skip to main content

Segmentation and texture analysis of structural biomarkers using neighborhood-clustering-based level set in MRI of the schizophrenic brain

Abstract

Objective

Schizophrenia (SZ) is a psychiatric disorder that especially affects individuals during their adolescence. There is a need to study the subanatomical regions of SZ brain on magnetic resonance images (MRI) based on morphometry. In this work, an attempt was made to analyze alterations in structure and texture patterns in images of the SZ brain using the level-set method and Laws texture features.

Materials and methods

T1-weighted MRI of the brain from Center of Biomedical Research Excellence (COBRE) database were considered for analysis. Segmentation was carried out using the level-set method. Geometrical and Laws texture features were extracted from the segmented brain stem, corpus callosum, cerebellum, and ventricle regions to analyze pattern changes in SZ.

Results

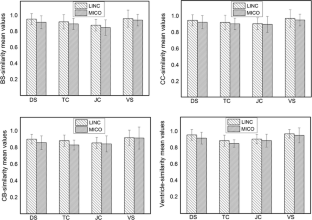
The level-set method segmented multiple brain regions, with higher similarity and correlation values compared with an optimized method. The geometric features obtained from regions of the corpus callosum and ventricle showed significant variation (p < 0.00001) between normal and SZ brain. Laws texture feature identified a heterogeneous appearance in the brain stem, corpus callosum and ventricular regions, and features from the brain stem were correlated with Positive and Negative Syndrome Scale (PANSS) score (p < 0.005).

Conclusion

A framework of geometric and Laws texture features obtained from brain subregions can be used as a supplement for diagnosis of psychiatric disorders.

This is a preview of subscription content, access via your institution.

Fig. 1
Fig. 2
Fig. 3
Fig. 4
Fig. 5
Fig. 6
Fig. 7
Fig. 8
Fig. 9
Fig. 10

References

  1. Altamura C, Fagiolini A, Galderisi S, Rocca P, Rossi A (2014) Schizophrenia today: epidemiology, diagnosis, course and models of care. Ital J Psychopathol 20(3):223–243

    Google Scholar 

  2. Yeganeh-Doost Gruber O, Falkai P, Schmitt A (2011) The role of the cerebellum in schizophrenia: from cognition to molecular pathways. Clinics 66(S1):71–77

    Article  PubMed  PubMed Central  Google Scholar 

  3. Athanasopoulou C, Hatonen H, Suni S, Lionis C, Griffiths KM, Valimaki M (2013) An analysis of online health information on schizophrenia or related conditions: a cross-sectional survey. BMC Med Inform Decis Mak 13(98):1–11

    Google Scholar 

  4. Chu WL, Huang MW, Jian BL, Hsu CY, Cheng KS (2016) A Correlative classification study of schizophrenic patients with results of clinical evaluation and structural magnetic resonance images. Behav Neurol 7849526:1–11

    Article  Google Scholar 

  5. Takayanagi Y, Kawasaki Y, Nakamura et al (2010) Differentiation of first-episode schizophrenia patients from healthy controls using ROI-based multiple structural brain variables. Prog Neuropsychopharmacol Biol Psychiatry 34(1):10–17

    Article  PubMed  Google Scholar 

  6. Kawasaki Y, Suzuki M, Kherif F, Takahashi T, Zhou SY, Nakamura K, Matsui M, Sumiyoshi T, Seto H, Kurachi M (2007) Multivariate voxel-based morphometry successfully differentiates schizophrenia patients from healthy controls. Neuroimage 34(1):235–242

    Article  PubMed  Google Scholar 

  7. Collinson SL, Gan SC, Woon PS, Kuswanto C, Sum MY, Yang GL, Lui JM, Sitoh YY, Nowinski WL, Sim K (2014) Corpus callosum morphology in first-episode and chronic schizophrenia: combined magnetic resonance and diffusion tensor imaging study of Chinese Singaporean patients. Br J Psychiatry 204(1):55–60

    Article  PubMed  Google Scholar 

  8. Iwabuchi SJ, Liddle PF, Palaniyappan L (2013) Clinical utility of machine-learning approaches in schizophrenia: improving diagnostic confidence for translational Neuroimaging. Front Psychiatry 4(95):1–9

    Google Scholar 

  9. Lu X, Yang Y, Wu F et al (2016) Discriminative analysis of schizophrenia using support vector machine and recursive feature elimination on structural MRI images. Medicine 95(30):e3973

    Article  PubMed  PubMed Central  CAS  Google Scholar 

  10. Goulda IC, Shepherda AM, Laurensa KR, Cairns MJ, Carr VJ, Greena MJ (2014) Multivariate neuroanatomical classification of cognitive subtypes in Schizophrenia: A support vector machine learning approach. NeuroImage Clin 6:229–236

    Article  Google Scholar 

  11. Wright IC, Rabe-Hesketh S, Woodruff PW, David AS, Murray RM, Bullmore ET (2000) Meta-analysis of regional brain volumes in schizophrenia. Am J Psychiatry 157(1):16–25

    Article  PubMed  CAS  Google Scholar 

  12. Gaser C, Nenadic I, Buchsbaum BR, Hazlett EA, Buchsbaum MS (2004) Ventricular enlargement in Schizophrenia related to volume reduction of the thalamus, striatum, and superior temporal cortex. Am J Psychiatry 161(1):154–156

    Article  PubMed  Google Scholar 

  13. Del Re EC, Konishi J, Bouix S, Blokland GA, Mesholam-Gately RI, Goldstein J, Kubicki M, Wojcik J, Pasternak O, Seidman LJ, Petryshen T, Hirayasu Y, Niznikiewicz M, Shenton ME, McCarley RW (2016) Enlarged lateral ventricles inversely correlate with reduced corpus callosum central volume in first episode schizophrenia: association with functional measures. Brain Imaging Behav 10(4):1264–1273

    Article  PubMed  PubMed Central  Google Scholar 

  14. Sayo A, Jennings RG, Van HJD (2012) Study factors influencing ventricular enlargement in schizophrenia: a 20 year follow-up meta-analysis. Neuroimage 59(1):154–167

    Article  PubMed  Google Scholar 

  15. Kempton MJ, Stahl D, Williams SC, DeLisi LE (2010) Progressive lateral ventricular enlargement in schizophrenia: A meta-analysis of longitudinal MRI studies. Schizophrenia Res 120(1–3):54–62

    Article  Google Scholar 

  16. Laidi C, d’Albis MA, Wessa M, Linke J, Phillips ML, Delavest M, Bellivier F, Versace A, Almeida J, Sarrazin S, Poupon C, Le Dudal K, Daban C, Hamdani N, Leboyer M, Houenou J (2015) Cerebellar volume in Schizophrenia and Bipolar I disorder with and without Psychotic Features. Acta Psychiatr Scand 131(3):223–233

    Article  PubMed  CAS  Google Scholar 

  17. Balaji G, Kenneth AM, Rupert CDY, Christopher RC, Hugh MDG, Hugo DC (2010) Three-dimensional textural analysis of brain images reveals distributed grey-matter abnormalities in schizophrenia. Eur Radiol 20:941–948

    Article  Google Scholar 

  18. Jean-François JN, Olivier Y, Jacques C, Jean PM (2004) Texture analysis of the brain: from animal models to human applications. Dialogues in Clinical Neuroscience 6(2):1–18

    Google Scholar 

  19. Yanxi L, Leonid T, Owen C, Ron K, Martha S, Cameron SC, Andrew VS, Simon D, Howard A, James TB, Oscar LL, Carolyn CM (2004) Discriminative MR image feature analysis for automatic schizophrenia and Alzheimer’s disease classification. In: Pro Int Con Medical Image Computing and Computer-Assisted Intervention – MICCAI, pp:393-401

  20. Li C, Gore JC, Davatzikos C (2014) Multiplicative intrinsic component optimization (MICO) for MRI bias field estimation and tissue segmentation. Magn Reson Imaging 32(7):913–923

    Article  PubMed  PubMed Central  CAS  Google Scholar 

  21. Portela NM, Cavalcanti GDC, Ren TI (2014) Semi-supervised clustering for MR brain image segmentation. Expert Syst Appl 41(4):1492–1497

    Article  Google Scholar 

  22. Chen Y, Zhao B, Zhang J, Zheng Y (2014) Automatic segmentation for brain MR images via a convex optimized segmentation and bias field correction coupled model. Magn Reson Imaging 32(7):941–955

    Article  PubMed  Google Scholar 

  23. Meena PR, Shantha SKR (2017) Spatial Fuzzy C means and expectation maximization algorithms with bias correction for segmentation of MR brain images. J Med Syst 41(1):1–9

    Article  Google Scholar 

  24. Feng C, Zhao D, Huang M (2017) Image segmentation and bias correction using local inhomogeneous iNtensity clustering (LINC): a region-based level set method. Neurocomputing 219:107–129

    Article  Google Scholar 

  25. Rabeh AB, Benzarti F, Amiri H (2017) Segmentation of Brain MRI Using Active Contour Model. Int J Imaging Syst Technol 27(1):3–11

    Article  Google Scholar 

  26. Jac Fredo AR, Kavitha G, Ramakrishnan S (2014) Segmentation and morphometric analysis of subcortical regions in autistic MR brain images using fuzzy Gaussian distribution model-based distance regularised multiphase level set. Int J Biomed Eng Technol 15(3):211–223

    Article  Google Scholar 

  27. Al-Shaikhli SD, Yang MY, Rosenhahn B (2014) Multi-region labeling and segmentation using a graph topology prior and atlas information in brain images. Comput Med Imaging Graph 38(8):725–734

    Article  PubMed  Google Scholar 

  28. Pitiot A, Delingette H, Thompson PM, Ayache N (2004) Expert knowledge-guided segmentation system for brain MRI. Neuroimage 23(1):S85–S96

    Article  PubMed  Google Scholar 

  29. Brejl M, Sonka M (2000) Object localization and border detection criteria design in edge-based image segmentation: automated learning from examples. IEEE Trans Med Imaging 19(10):973–985

    Article  PubMed  CAS  Google Scholar 

  30. Patenaude B, Smith SM, Kennedy DN, Jenkinson M (2011) A Bayesian model of shape and appearance for subcortical brain segmentation. Neuroimage 56(3):907–922

    Article  PubMed  PubMed Central  Google Scholar 

  31. Li Y, Mandal M, Ahmed SN (2013) Fully automated segmentation of corpus callosum in midsagittal brain MRIs. In: Pro. IEEE Int Con Engineering in Medicine and Biology Society (EMBC), pp. 5111–5114

  32. Ke Gan (2015) Automated segmentation of the lateral ventricle in mr images of human brain. In: Proc IEEE Int Con Digital Signal Processing, pp. 139–142

  33. Buch K, Fujita A, Li B, Kawashima Y, Qureshi M, Sakai O (2015) Using texture analysis to determine human Palpillomavirus status of oropharyngeal squamous cell carcinomas on CT. Am J Neuroradiol 36(7):1343–1348

    Article  PubMed  CAS  Google Scholar 

  34. Le Corroller T, Halgrin J, Pithioux M, Guenoun D, Chabrand P, Champsaur P (2012) Combination of texture analysis and bone mineral density improves the prediction of fracture load in human femurs. Osteoporos Int 23(1):163–169

    Article  PubMed  Google Scholar 

  35. Joseph GB, Baum T, Carballido-Gamio J, Nardo L, Virayavanich W, Alizai H, Lynch JA, McCulloch CE, Majumdar S, Link TM (2011) Texture analysis of cartilage T2 maps: individuals with risk factors for QA have higher and more heterogenenous knee cartilage MR T2 compared to normal controls—data from the osteoarthritis initiative. Arthritis Res Ther 13(5):R153

    Article  PubMed  PubMed Central  Google Scholar 

  36. Setiawan AS, Elysia Wesle J, Purnama Y (2015) Mammogram classification using Law’s texture energy measure and neural networks. Procedia Comput Sci 59:92–97

    Article  Google Scholar 

  37. Li B, Jara H, Yu H, O’Brien M, Soto J, Anderson SW (2017) Enhanced Laws textures: a potential MRI surrogate marker of hepatic fibrosis in a murine model. Magn Reson Imaging 37:33–40

    Article  PubMed  CAS  Google Scholar 

  38. Eleni Z, Thomas WJM, Stephen ML (2013) Towards the identification of imaging biomarkers in schizophrenia, using multivariate pattern classification at a single-subject level. NeuroImage 3:279–289

    Article  Google Scholar 

  39. Çetin M, Christensen F, Abbott C, Stephen J, Mayer A, Cañive J, Bustillo J, Pearlson G, Calhoun VD (2014) Thalamus and posterior temporal lobe show greater inter-network connectivity at rest and across sensory paradigms in schizophrenia. NeuroImage 97:117–126

    Article  PubMed  PubMed Central  Google Scholar 

  40. Icer S (2013) Automatic segmentation of corpus callosum using Gaussian mixture modeling and Fuzzy C means methods. Comput Methods Programs Biomed 112(1):38–46

    Article  PubMed  Google Scholar 

  41. Jac Fredo AR, Kavitha G, Ramakrishnan S (2014) Segmentation and analysis of brain subcortical regions using regularized multiphase level set in autistic MR Images. Int J Imag Syst Tech 24(3):256–262

    Article  Google Scholar 

  42. Kalavathi P, Prasath VB (2016) Methods on Skull Stripping of MRI Head Scan Images-a Review. J Digit Imaging 29(3):365–379

    Article  PubMed  CAS  Google Scholar 

  43. Ni K, Bresson X, Chan T, Esedoglu S (2009) Local histogram based segmentation using the Wasserstein distance. Int J Comput Vis 84(1):97–111

    Article  Google Scholar 

  44. Alkan A, Seda AT, Mucahid G (2014) Comparative MR image analysis for thyroid nodule detection and quantification. Measurement 47:861–868

    Article  Google Scholar 

  45. Anandh KR, Sujatha CM, Ramakrishnan S (2016) Laplace Beltrami Eigen value based classification of normal and Alzheimer MR images using parametric and nonparametric classifiers. Expert Syst Appl 59:208–216

    Article  Google Scholar 

  46. Wang J, Ekin A, de HG (2008) Shape analysis of brain ventricles for improved classification of Alzheimer‘s patients. In: Proc. Int Con image processing, pp 2252–2255

  47. Yalin Z, Man TK, Ian JCM, Nicholas AVB, Simon PH (2014) A comprehensive texture segmentation framework for segmentation of capillary nonperfusion regions in fundus fluorescein angiograms. PLoS One 9(4):1–11

    Google Scholar 

  48. Taha AA, Hanbury A (2015) Metrics for evaluating 3D medical image segmentation: analysis, selection, and tool. BMC Med Imaging 15(29):1–28

    Google Scholar 

  49. Rajesh K, Rajeev S, Subodh S (2015) Detection and classification of cancer from microscopic biopsy images using clinically significant and biologically interpretable features. J Med Eng 457906:1–14

    Google Scholar 

  50. Laws KI (1978) A proposed class of picture operators. USCIPI Report 840, Image Process1 ng Inst., Un1v. of Southern Calif., Los Angeles

  51. Norma RH (2016) Structural analysis of textures based on LAW´s filters. Proc. IEEE XXIII Int. Congress on Electronics, Electrical Engineering and Computing, pp 1–5

    Google Scholar 

  52. Herron TJ, Kang X, Woods DL (2012) Automated measurement of the human corpus callosum using MRI. Front Neuroinform 6(25):1–15

    Google Scholar 

  53. Lee DK, Yoon U, Kwak K (2015) Lee JM (2015) Automated segmentation of cerebellum using brain mask and partial volume estimation map. Comput Math Methods Med 167489:1–10

    Article  Google Scholar 

  54. Schfnmeyera R, Prvulovica D, Rotarska- Jagielaa AR, Haenschela C, Lindenb DEJ (2006) Automated segmentation of lateral ventricles from human and primate magnetic resonance images using cognition network technology. Magn Reson Imaging 24(10):1377–1387

    Article  Google Scholar 

  55. Schulte T, Sullivan EV, Müller-Oehring EM, Adalsteinsson E, Pfefferbaum (2005) A corpus callosal microstructural integrity influences interhemispheric processing: a diffusion tensor imaging study. Cereb Cortex 15(9):1384–1392

    Article  PubMed  CAS  Google Scholar 

Download references

Acknowledgements

ML is receiving Anna Centenary Research Fellowship from Anna University (CFR/ACRF/2015/20, Dated: 21.01.2015) for her research work.

Funding

This study has not received any funding.

Author information

Affiliations

Authors

Contributions

ML was responsible for data collection, implementation, and data analysis; GK was responsible for protocol/project development of the frame work.

Corresponding author

Correspondence to Manohar Latha.

Ethics declarations

Conflict of interest

The authors declare that they have no conflict of interest.

Ethical approval

This article does not contain any studies performed with animals.

Informed consent

This study includes the images from publicly available database and the database has been cited.

Rights and permissions

Reprints and Permissions

About this article

Verify currency and authenticity via CrossMark

Cite this article

Latha, M., Kavitha, G. Segmentation and texture analysis of structural biomarkers using neighborhood-clustering-based level set in MRI of the schizophrenic brain. Magn Reson Mater Phy 31, 483–499 (2018). https://doi.org/10.1007/s10334-018-0674-z

Download citation

  • Received:

  • Revised:

  • Accepted:

  • Published:

  • Issue Date:

  • DOI: https://doi.org/10.1007/s10334-018-0674-z

Keywords

  • Schizophrenic
  • MR brain images
  • Subcortical regions
  • Segmentation
  • Level set
  • Laws texture features