Abstract
The Discrete Event System Specification (DEVS) is a modular and hierarchical Modeling and Simulation (M&S) formalism based on systems theory that provides a general methodology for the construction of reusable models. Well-defined M&S structures have a positive impact when building simulation models because they can be applied systematically. However, even when DEVS can be used to model routing situations, the structures that emerge from this kind of problem are significant due to the handling of the flow of events. Often, the modeler ends with a lot of simulation models that refer to variants of the same component. The goal of this paper is to analyze the routing process domain from a conceptual modeling perspective through the use of a new DEVS extension called Routed DEVS (RDEVS). The RDEVS formalism is conceptually defined as a subclass of DEVS that manages a set of identified events inside a model network where each node combines a behavioral description with a routing policy. In particular, we study the modeling effort required to solve the M&S of routing problems scenarios employing a comparison between RDEVS modeling solutions and DEVS modeling strategies. Such a comparison is based on measures that promote the capture of the behavioral complexity of the final models. The results obtained highlight the modeling benefits of the RDEVS formalism as a constructor of routing processes. The proposed solution reduces the modeling effort involved in DEVS by specifying the event routing process directly in the RDEVS models using design patterns. The novel contribution is an advance in the understanding of how DEVS as a system modeling formalism supports best practices of software engineering in general and conceptual modeling in particular. The reusability and flexibility of the final simulation models, along with designs with low coupling and high cohesion, are the main benefits of the proposal that improve the M&S task applying a conceptual modeling perspective.














Similar content being viewed by others
Notes
It is important to denote that [30] only includes the RDEVS formalization in set-theoretical notation. In this new version, the RDEVS formalization and the closure under coupling proofs have been improved. Moreover, here we introduce conceptual models to characterize RDEVS definition and compare it with DEVS-based solutions.
Considering that i) all ports have at least one coupling, ii) our approach is focused on Classic DEVS, and iii) the notion of bag (i.e., a collection of simultaneous external events generated by internal and confluent transitions) on one port is not admitted.
Models modelC1, modelC2, and modelC3 can be used outside the model modelScenario1 because each one of them represents a Component (Fig. 2).
Models operation and distribution are not able to be used outside model modelC1 because each one of them represents a Behavior included in a Component (Fig. 2).
In software engineering, the coupling is the strength of the relationships between modules [42].
The low coupling is desirable because (i) fewer interconnections among modules reduce the chance that changes in one module cause problems in other modules (i.e. enhances reusability), and (ii) fewer interconnections among modules reduce the modeler time in understanding the details of other modules [49].
Cohesion is an important attribute corresponding to the quality of the abstraction captured by the module under consideration. Good abstractions typically exhibit high cohesion [46].
AWS Expedia Case Study. Available at https://aws.amazon.com/solutions/case-studies/expedia/ (accessed 10th June 2021).
Available at: https://aws.amazon.com/solutions/case-studies/netflix/ (accessed 10th June 2021).
References
Zeigler, B., Muzy, A., Kofman, E.: Theory of modelling and simulation: discrete event and iterative system computational foundations, 3rd edn. Academic Press, Cambridge (2018)
Y.J. Kim, J.Y. Yang, Y.M. Kim, J. Lee, C. Choi, Modeling Behavior of Mobile Application Using Discrete Event System Formalism, In: Proceeding of the 2016 Asian Simulation Conference, 2016, pp. 40–48. https://doi.org/10.1007/978-981-10-2158-9_4.
G. Wainer, M. Etemad, B. Kazi, Modeling Coordinated Multipoint with a dynamic Coordination Station in LTE-A mobile networks, In: Proceeding of the 2017 IEEE International Conference on Networking, Sensing and Control, 2017, pp. 807–812. https://doi.org/10.1109/ICNSC.2017.8000194.
S. Gholami, H. Sarjoughian, G. Godding, D. Peters, V. Chang, Developing Composed Simulation and Optimization Models using Actual Supply-Demand Network Datasets, In: Proceedings of the 2014 Winter Simulation Conference, 2014, pp. 2510–2521. https://doi.org/10.1109/WSC.2014.7020095.
Uhrmacher, A., Degenring, D., Zeigler, B.: MultiLevel discrete-event modeling in systems biology. Trans. Comput. Syst. Biol. I, 66–89 (2004). https://doi.org/10.1007/978-3-540-32126-2_6
A. Uhrmacher, R. Ewald, M. John, C. Maus, M. Jeschke, S. Biermann, Combining micro and macro-modeling in DEVS for computational biology, In: Proceedings of the 2007 Winter Simulation Conference, 2007, pp. 871–880. https://doi.org/10.1109/WSC.2007.4419683.
M. Moallemi, G. Wainer, A. Awad, D.A. Tall, Application of RT-DEVS in Military, In: Proceedings of the 2010 Spring Simulation Multiconference, 2010, pp. 29–36. https://doi.org/10.1145/1878537.1878568.
Bogado, V.S., Gonnet, S., Leone, H.: Modeling and simulation of software architecture in discrete event system specification for quality evaluation. Simul. 90, 290–319 (2014). https://doi.org/10.1177/0037549713518586
J.L. Risco-Martín, S. Mittal, J.C. Fabero, P. Malagón, J.L. Ayala, Real-time Hardware/Software co-design using Devs-Based Transparent M&S Framework, In: Proceedings of the 2016 Summer Computer Simulation Conference, 2016, 45–52. https://doi.org/10.22360/SummerSim.2016.SCSC.053.
Blas, M.J., Gonnet, S., Leone, H.: Modeling user temporal behaviors using hybrid simulation models. IEEE Lat. Am. Trans. 15, 341–348 (2017). https://doi.org/10.1109/TLA.2017.7854631
Van Tendeloo, Y., Vangheluwe, H.: An evaluation of DEVS simulation tools. Simul. 93, 103–121 (2017). https://doi.org/10.1177/0037549716678330
Robinson, S.: Conceptual modelling for simulation Part I: definition and requirements. J. Op. Res. Soc. 59, 278–290 (2008). https://doi.org/10.1057/palgrave.jors.2602368
D. Cetinkaya, A. Verbraeck, M.D. Seck, A metamodel and a DEVS implementation for component based hierarchical simulation modeling, In: Proceedings of the 2010 Spring Simulation Multiconference, 2010, p. 170. https://doi.org/10.1145/1878537.1878714.
Santucci, J.-F., Capocchi, L., Zeigler, B.P.: System entity structure extension to integrate abstraction hierarchies and time granularity into DEVS modeling and simulation. Simul. 92, 747–769 (2016). https://doi.org/10.1177/0037549716657168
M.J. Blas, S. Gonnet, H. Leone, Building simulation models to evaluate web application architectures, In: Proceedings of the 2016 XLII Latin American Computing Conference (CLEI), 2016. https://doi.org/10.1109/CLEI.2016.7833339.
Blas, M.J., Leone, H.P., Gonnet, S.M.: Modeling and simulation framework for quality estimation of web applications through architecture evaluation. SN Appl. Sci. 2, 374 (2020). https://doi.org/10.1007/s42452-020-2171-z
Alexander, C.: A pattern language: towns, buildings, construction. Oxford University Press, New York (1977)
E. Gamma, R. Helm, R. Johnson, J. Vlissides. Design patterns: Abstraction and reuse of object-oriented design, In: European Conference on Object-Oriented Programming, Springer, Berlin, 1993, pp. 406–431. https://doi.org/10.1007/978-3-642-48354-7_15.
D. Cetinkaya, A. Verbraeck, M.D. Seck, MDD4MS: a model driven development framework for modeling and simulation, In: Proceedings of the 2011 summer computer simulation conference, 2011, pp. 113–121.
Wainer, G., Giambiasi, N.: N-dimensional Cell-DEVS models. Discret. Event Dyn. Syst. 12, 135–157 (2002). https://doi.org/10.1023/A:1014536803451
Barros, F.J.: Modeling formalisms for dynamic structure systems. ACM Trans. Model. Comput. Simul. 7, 501–515 (1997). https://doi.org/10.1145/268403.268423
Y. Kwon, H. Park, S. Jung, T. Kim, Fuzzy-DEVS Formalism: Concepts, Realization and Application, In: Proceedings of the 1996 Conference on Artificial Intelligence, Simulation and Planning In High Autonomy Systems, 1996, pp. 227– 234.
Hamri, M., Giambiasi, N., Frydman, C.: Min–Max-DEVS modeling and simulation. Simul. Model. Pract. Theory 14, 909–929 (2006). https://doi.org/10.1016/j.simpat.2006.05.004
Steniger, A., Uhrmacher, A.: Intensional coupling in variable structure models: an exploration based on multi-level DEVS. ACM Trans. Model. Comput. Simul. 26(2), 1–27 (2016)
A.C. Chow, B. Zeigler. Parallel DEVS: a Parallel, Hierarchical, Modular Modeling Formalism, In: Proceedings of the 1994 Winter Simulation Conference, 1994, pp. 716–722. https://doi.org/10.1109/WSC.1994.717419.
Hong, J.S., Song, H.S., Kim, T.G., Park, K.H.: A real-time discrete event system specification formalism for seamless real-time software development. Discret. Event Dyn. Syst. 7, 355–375 (1997). https://doi.org/10.1023/A:1008262409521
Bergero, F., Kofman, E.: A Vectorial DEVS Extension for Large Scale System Modeling and Parallel Simulation. Simul. 90, 522–546 (2014). https://doi.org/10.1177/2F0037549714529833
M.J. Blas, S. Gonnet, H. Leone, B. Zeigler, A conceptual framework to classify the extensions of DEVS formalism as variants and subclasses, In: Proceedings of the 2018 Winter Simulation Conference, 2018, pp. 560–571. https://doi.org/10.1109/WSC.2018.8632265.
Liu, Q., Wainer, G.: Parallel environment for DEVS and Cell-DEVS models. Simul. 83, 449–471 (2007). https://doi.org/10.1177/2F0037549707085084
M.J. Blas, S. Gonnet, H. Leone, Routing Structure Over Discrete Event System Specification: A DEVS Adaptation To Develop Smart Routing In Simulation Models, In: Proceedings of the 2017 Winter Simulation Conference, 2017, pp. 774–785. https://doi.org/10.1109/WSC.2017.8247831.
Rumbaugh, J., Jacobson, I., Booch, G.: The unified modeling language reference manual, 2nd edn. Pearson Higher Education, New Jersey (2004)
Batty, M., Torrens, P.M.: Modelling complexity: the limits to prediction. Cybergeo: Eur. J. Geogr. (2001). https://doi.org/10.4000/cybergeo.1035
Capocchi, L., Santucci, J.-F., Pawletta, T., Folkerts, H., Zeigler, B.P.: Discrete-event simulation model generation based on activity metrics. Simul. Model. Pract. Theory 103, 102122 (2020). https://doi.org/10.1016/j.simpat.2020.102122
Brooks, R.J., Tobias, A.M.: Choosing the best model: Level of detail, complexity, and model performance. Math. Comput. Model. 24(4), 1–14 (1996). https://doi.org/10.1016/0895-7177(96)00103-3
L. Schruben, E. Yucesan, Complexity of simulation models a graph theoretic approach, In: Proceedings of 1993 Winter Simulation Conference, 1993, pp. 641–649. https://doi.org/10.1109/WSC.1993.718302.
Robinson, S., Nance, R.E., Paul, R.J., Pidd, M., Taylor, S.J.: Simulation model reuse: definitions, benefits and obstacles. Simul. Model. Pract. Theory 12, 479–494 (2004). https://doi.org/10.1016/j.simpat.2003.11.006
Farooq, U., Wainer, G., Balya, B.: DEVS modeling of mobile wireless ad hoc networks. Simul. Model. Pract. Theory 15, 285–314 (2007). https://doi.org/10.1016/j.simpat.2006.11.011
H. Bazoun, Y. Bouanan, G. Zacharewicz, Y. Ducq, H. Boye, Business process simulation: transformation of BPMN 2.0 to DEVS models, In: Proceedings of the Symposium on Theory of Modeling & Simulation - DEVS Integrative, 2014, article 20.
A. Alshareef, H. Sarjoughian, DEVS specification for modeling and simulation of the UML activities, In: Proceedings of the Symposium on Model-driven Approaches for Simulation Engineering, 2017, article 9. https://doi.org/10.22360/springsim.2017.mod4sim.014.
I. Dávid, H. Vangheluwe, Y. Van Tendeloo, Translating engineering workflow models to DEVS for performance evaluation, In: Proceedings of the 2018 Winter Simulation Conference, 2018, pp. 616–627. https://doi.org/10.1109/WSC.2018.8632470.
A. Alshareef, H. Sarjoughian, Metamodeling activities for hierarchical component-based models, In: Proceedings of the Theory of Modeling and Simulation Symposium, 2019, article 2. https://doi.org/10.23919/SpringSim.2019.8732854.
ISO/IEC TR 19759:2015, Software Engineering - Guide to the Software Engineering Body of Knowledge (SWEBOK), 2015.
M. Tavanpour, J. Mikhail, G. Wainer, G. Boudreau, The case for DEVS in networking M&S: upload user collaboration in mobile networks using coordinated multipoint, In: Proceedings of the Theory of Modeling and Simulation Symposium, 2017, article 8.
Grimm, V., Revilla, E., Berger, U., Jeltsch, F., Mooij, W.M., Railsback, S.F., DeAngelis, D.L.: Pattern-oriented modeling of agent-based complex systems: lessons from ecology. Sci. 310(5750), 987–991 (2005). https://doi.org/10.1126/science.1116681
B. Zeigler, Closure Under Coupling: Concept, Proofs, DEVS Recent Examples, In: Proceedings of the 2018 Spring Simulation Multi-conference, 2018. https:://doi.org/https://doi.org/10.1145/3213187.3213194.
M. Hitz, B. Montazeri, Measuring coupling and cohesion in object-oriented systems, In: Proceedings of International Symposium on Applied Corporate Computing, pp. 25–27, 1995.
Offutt, A.J., Harrold, M.J., Kolte, P.: A software metric system for module coupling. J. Syst. Softw. 20, 295–308 (1993). https://doi.org/10.1016/0164-1212(93)90072-6
Bieman, J.M., Kang, B.K.: Measuring design-level cohesion. IEEE Trans. Software Eng. 24, 111–124 (1998). https://doi.org/10.1109/32.666825
Page-Jones, M.: The practical guide to structured systems design. Yourdon Press, New York (1980)
Shaw, M., Garlan, D.: Software architecture: perspectives on an emerging discipline. Prentice Hall, Englewood Cliffs (1996)
Fehling, C., Leymann, F., Retter, R., Schupeck, W., Arbitter, P.: Cloud computing patterns: fundamentals to design, build, and manage cloud applications. Springer, Berlin (2014)
Author information
Authors and Affiliations
Corresponding author
Additional information
Communicated by Ketil Stølen.
Publisher's Note
Springer Nature remains neutral with regard to jurisdictional claims in published maps and institutional affiliations.
Appendices
Appendix A
1.1 RDEVS closure under coupling
1.1.1 RDEVS network model to RDEVS routing model
The Network Model
where each d Є D refers to a Routing Model defined as Rd that is structured as
defines an equivalent Routing Model
in which:
-
ω = (u, W, δr) = (0, ø, δr) | δr: SM → TOUT ˄ TOUT = ø ≡ routing policy to be used in R. The equivalent model uses zero value as its identifier and an empty set of entities to represent the models from which input events are allowed. These settings enable Clause #3 of the external transition function detailed in the Routing Model definition. Then, R processes all input events that arrive. Moreover, by setting the routing function into an empty set value for any possible combination of TOUT, all the output events of R will be sent everywhere (therefore, their processing depends on the receptor model configuration). Both behaviors are equivalent to the one expected of N since all input events that arrive at the Network Model are received but, also, all the output events created are sent.
-
E = < XE, SE, YE, δint,E, δext,E, λE, τE > ≡ essential model embedded in R in which:
-
o
XE = X ≡ set of input events of E. As R is detailed as an equivalent model of N and, the Routing Model uses the inputs of E as part of its own inputs definition, the inputs of E are defined as equals to the inputs of N.
-
p
SE = × iЄDQi | Qi = {(si, ei) | si Є SM,i, 0 ≤ ei ≤ τM,i(si), ∀i Є D ≡ set of sequential states of E detailed as the product of the Qi sets defined for each model that compose N (these are the Routing Models). Each Qi is defined as an ordered pair that contains the state and the elapsed time of the Ri model.
-
q
YE = Y ≡ set of output events of E. As in the case of input events, the output events of E are defined as equals to the output events of N.
-
r
δint,E(s) = s’ ≡ internal transition function of E that modifies the state s = (…,(sj, ej),…) to s’ = (…,(s’j, e’j),…) where {s, s’} Є SE. Since the state of E is defined as a state combination of the models included in N, an internal transition of E may involve simultaneous internal transitions of multiple components. Then, considering that the imminent components (that is, the ones that must adjust its state) are collected according to the time value σ in a set structured as
$${\text{IMM}}\left( s \right){\text{ }} = {\text{ }}\{ {\text{ }}i \in D{\text{ |}}\sigma _{i} = {\text{ }}\tau _{{E,i}} \left( s \right){\text{ }}\}$$one model i* must be selected to execute its internal transition. The N tie-breaking function can be used to get the i* model. So, the imminent internal transition to be executed belongs to the Ri* model where i* = Select(IMM(s)). However, as a consequence of this transition, all external transitions of the components influenced by Ri* must be executed. So, the final state transformation from s = (…,( sj, ej ),…) to s’ = (…,( s’j, e’j ),…) is defined by
$$s^{\prime}_{j} = \left\{ \begin{gathered} \delta _{{\text{int} ,M,j}} (s_{j} )\;\;\;\;\;\;\;\;{\text{if}}\;j = 1 \hfill \\ \delta _{{{\text{ext}},M,j}} (s_{j} ,e_{j} + \tau _{E} (s),x_{j} )\;{\text{If}}\;i^* \in I_{j} \wedge x_{j} \ne \varnothing\;{\text{with}}\;x_{j} = Z_{{i*j}} (\lambda _{{M,i*}} (s_{{i*}} )) \hfill \\ s_{j} \;\;\;\;\;\;\;\;\;\;\;\;\;\;\;\;\;\;\;\;\;\;\;\;\;\;\;\;\;\;\;\;{\text{Otherwise}} \hfill \\ \end{gathered} \right.$$$$e'_{j} = \left\{ \begin{gathered} 0~\;\;{\text{if}}~\left( {~j = i^{{*~}} } \right)~\lor ~(~i^{*} \in I_{j} \wedge ~x_{j} \ne {\o} ) \hfill \\ e_{j} + ~\tau _{E} \left( s \right)\;\; \text{otherwise} \hfill \\ \end{gathered} \right.~$$ -
s
δext,E(s, e, x) = s’ ≡ external transition function of E that modifies the set of state pairs that refers to the Ri models linked to the inputs of N. Given that the state of E is defined as SE, the states {s, s’} Є SE where s = (…,(si, ei),…) and s’ = (…,(s’i, e’i),…). Considering that components are collected in a set C = { i Є D | N Є Ii ˄ xi ≠ ø}, then
$$s_{i}^{*} = \delta_{{{\text{ext}},M,i}} \left( {s_{i} ,e_{i} + e,x_{i} } \right){\text{with}}\; x_{i} = Z_{N,i} \left( x \right), \forall i \in C$$so the state transformation is defined as
$$(s_{i}^{'} ,e_{i}^{'} )~ = ~\left\{ \begin{gathered} (s_{i}^{*} ,0)~\;\;{\text{if}}\;(~N~ \in ~I_{i} ~\wedge x_{{i~}} \ne ~{\o}) \hfill \\ (s_{d} ,~e_{d} + e)\;{\text{otherwise}}~ \hfill \\ \end{gathered} \right.$$ -
t
λE(s): SE → YE ∪ ø ≡ output function of E that generates an output event if and only if the model that is going to execute its internal transition (that is, i* model) is linked to the outputs of N. The function is defined as
$$\lambda_{E} (s) = \left\{ \begin{gathered} Z_{i*,N} \left( {\lambda_{M,i*} \left( {s_{i*} } \right)} \right)\;{\text{if}}\;N \in I_{i*} \hfill \\ {\varnothing} \;{\text{otherwise}} \hfill \\ \end{gathered} \right.$$ -
u
τE: SE → \(R_{{o,\infty }}^{ + }\) ≡ time advance function of E that select the most imminent event time of all the components (that is, the routing models) included in N (i.e. finding the smallest remaining time σ until the internal transition of all the simulation models included in N). The function is defined as
$$\tau _{E} \left( s \right){\text{ }} = {\text{ }}\min {\text{ }}\{ {\text{ }}\sigma _{i} = {\text{ }}\sigma _{{M,i}} \left( {s_{i} } \right){\text{ }}{-}{\text{ }}e_{i} |i \in D{\text{ }}\}$$
-
o
-
M = < XM, SM, YM, δint,M, δext,M, λM, τM > ≡ DEVS atomic model that specifies the routing process of R. Given that the description of M is defined in the routing model definition and, considering that its specification uses some of the components defined in E, no considerations are required to get the equivalent model of N.
1.2 RDEVS routing model to RDEVS essential model
The Routing Model specification includes two DEVS models defined as E and M. To define an Essential Model that acts as an equivalent model of a Routing Model description, it is important to understand the difference between both models. While E determines the Component to be used as part of the Node (that is, the Essential Model that describes the behavior of the Routing Model), M defines the executable simulation model over which the routing process takes place. Then, the equivalence proof tries to find a Component with the same behavior that a Node. Moreover, it can use the Node description as part of the Component specification since both models belong to the same type (DEVS atomic model).
Then, the Routing Model described by the structure
with MR = < XM,R, SM,R, YM,R, δint,M,R, δext,M,R, λM,R, τM,R > , can be described as an equivalent Essential Model structured as
in which X = XM,R, S = SM,R, Y = YM,R, δint = δint,M,R, δext = δext.M,R, λ = λM,R and τ = τM,R. Following this equivalence, each component of MR (that is, the executable model of the routing model description) is directly mapped to a new model that defines an Essential Model that maintains the desired behavior of the Routing Model.
Appendix B
2.1 Representation of web architectures as discrete-event simulation models
2.1.1 DEVS representation
Figures
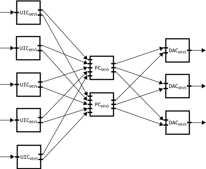
Mapping the Web Architecture #1 into DEVS models detailed in Table 4
15 and
Mapping the Web Architecture #2 into DEVS models detailed in Table 4
16 show the representation of the web-based architectures depicted in Fig. 12 as DEVS models. Each box included in the figures refer to a DEVS model detailed in Table 4. In Fig. 15, we use the models defined in the first row of Table 5 (i.e., the ones designed for Fig. 12a). Instead, in Fig. 16, we use the models defined in the second row of the table (i.e., the DEVS models detailed for the architecture depicted in Fig. 12b).
2.2 RDEVS representation
Figures
Mapping the Web Architecture #1 into RDEVS models detailed in Table 5
17 and
Mapping the Web Architecture #2 into RDEVS models detailed in Table 5
18 show the representation of the web-based architectures depicted in Fig. 12 as RDEVS models. Each box included in the figures refer to a RDEVS model detailed in Table 5. In both cases, the same set of models is used.
Rights and permissions
About this article
Cite this article
Blas, M.J., Leone, H. & Gonnet, S. DEVS-based formalism for the modeling of routing processes. Softw Syst Model 21, 1179–1208 (2022). https://doi.org/10.1007/s10270-021-00928-4
Received:
Revised:
Accepted:
Published:
Issue Date:
DOI: https://doi.org/10.1007/s10270-021-00928-4






