Skip to main content

Altitudinal changes in carbon storage of temperate forests on Mt Changbai, Northeast China

Abstract

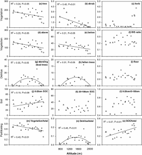
A number of studies have investigated regional and continental scale patterns of carbon (C) stocks in forest ecosystems; however, the altitudinal changes in C storage in different components (vegetation, detritus, and soil) of forest ecosystems remain poorly understood. In this study, we measured C stocks of vegetation, detritus, and soil of 22 forest plots along an altitudinal gradient of 700–2,000 m to quantify altitudinal changes in carbon storage of major forest ecosystems (Pinus koraiensis and broadleaf mixed forest, 700–1,100 m; Picea and Abies forest, 1,100–1,800 m; and Betula ermanii forest, 1,800–2,000 m) on Mt Changbai, Northeast China. Total ecosystem C density (carbon stock per hectare) averaged 237 t C ha−1 (ranging from 112 to 338 t C ha−1) across all the forest stands, of which 153 t C ha−1 (52–245 t C ha−1) was stored in vegetation biomass, 14 t C ha−1 (2.2–48 t C ha−1) in forest detritus (including standing dead trees, fallen trees, and floor material), and 70 t C ha−1 (35–113 t C ha−1) in soil organic matter (1-m depth). Among all the forest types, the lowest vegetation and total C density but the highest soil organic carbon (SOC) density occurred in Betula ermanii forest, whereas the highest detritus C density was observed in Picea and Abies forest. The C density of the three ecosystem components showed distinct altitudinal patterns: with increasing altitude, vegetation C density decreased significantly, detritus C density first increased and then decreased, and SOC density exhibited increasing but insignificant trends. The allocation of total ecosystem C to each component exhibited similar but more significant trends along the altitudinal gradient. Our results suggest that carbon storage and partitioning among different components in temperate forests on Mt Changbai vary greatly with forest type and altitude.

This is a preview of subscription content, access via your institution.

Fig. 1
Fig. 2
Fig. 3
Fig. 4

References

  • Becker A, Korner C, Brun JJ, Guisan A, Tappeiner U (2007) Ecological and land use studies along elevational gradients. Mt Res Dev 27:58–65

    Article  Google Scholar 

  • Bond-Lamberty B, Wang C, Gower ST (2003) Annual carbon flux from woody debris for a black spruce fire chronosequence. J Geophys Res 107:8220. doi:10.1029/2001JD000839

    Google Scholar 

  • Chapin FS, Matson PA, Mooney HA (2002) Principles of terrestrial ecosystem ecology. Springer, New York

    Google Scholar 

  • Chen CG, Zhu JF (1989) A handbook for main tree species biomass in Northeast China. China Forestry Publishing House, Beijing

    Google Scholar 

  • Chi ZW, Zhang FS, Li XY (1981) The primary study on water-heat conditions of forest ecosystem on northern slope of Changbai Mountain. Res For Ecosyst 2:167–178

    Google Scholar 

  • Choi SD, Lee K, Chang YS (2002) Large rate of uptake of atmospheric carbon dioxide by planted forest biomass in Korea. Glob Biogeochem Cycle 16:1089. doi:10.1029/2002GB001914

    Article  Google Scholar 

  • Cui HT, Liu HY, Dai JU (2005) Research on mountain ecology and alpine treeline. Science Press, Beijing

    Google Scholar 

  • Dixon RK, Brown S, Houghton RA, Solomon AM, Trexler MC, Wisniewski J (1994) C pools and flux of global forest ecosystems. Science 263:185–190

    Article  CAS  PubMed  Google Scholar 

  • Fang JY, Shen ZH, Cui HT (2004) Ecological characteristics of mountains and research issues of mountain ecology. Biodivers Sci 12:10–19

    Google Scholar 

  • Fang JY, Oikawa T, Kato T, Mo WH, Wang ZH (2005) Biomass carbon accumulation by Japan’s forests from 1947 to 1995. Glob Biogeochem Cycle 19:GB2004. doi:10.1029/2004GB002253

    Article  Google Scholar 

  • Garten CT, Hanson PJ (2006) Measured forest soil C stocks and estimated turnover times along an elevation gradient. Geoderma 136:342–352

    Article  CAS  Google Scholar 

  • Gower ST, Vogel JG, Norman JM, Kucharik CJ, Steele SJ, Stow TK (1997) C distribution and aboveground net primary production in aspen, jack pine, and black spruce stands in Saskatchewan and Manitoba, Canada. J Geophys Res 102(D24):29029–29041

    Article  CAS  Google Scholar 

  • Harmon ME, Sexton J (1996) Guidelines for measurements of woody detritus in forest ecosystems. US LTER publication no. 20. LTER Network Office, University of Washington, Seattle

  • Harmon ME, Franklin JF, Swanson FJ, Sollins P, Gregory SV, Lattin JD, Anderson NH, Cline SP, Aumen NG, Sedell JR, Lienkaemper GW, Cromack K, Cummins KW (1986) Ecology of coarse woody debris in temperate ecosystems. Adv Ecol Res 15:133–302

    Article  Google Scholar 

  • Harmon ME, Woodall CW, Fasth B, Sexton J (2008) Woody detritus density and density reduction factors for tree species in the United States: a synthesis. General technical report NRS-29. USDA Forest Service, Northern Research Station, Newtown Square

  • IPCC (Intergovernmental Panel on Climate Change) (2007) Climate change 2007: the physical science basis. Cambridge University Press, Cambridge

    Google Scholar 

  • Jobbagy EG, Jackson RB (2000) The vertical distribution in soil organic C and its relation to climate and vegetation. Ecol Appl 10:423–436

    Article  Google Scholar 

  • Keith H, Mackey BG, Lindenmayer DB (2009) Re-evaluation of forest biomass carbon stocks and lessons from the world’s most carbon-dense forests. Proc Natl Acad Sci USA 106:11635–11640

    CAS  PubMed  Google Scholar 

  • Kelly AE, Goulden ML (2008) Rapid shifts in plant distribution in response to recent climate change. Proc Natl Acad Sci USA 105:11823–11826

    Article  CAS  PubMed  Google Scholar 

  • Korner C (2007) The use of ‘altitude’ in ecological research. Trends Ecol Evol 22:569–574

    Article  PubMed  Google Scholar 

  • Lal R (2004) Soil carbon sequestration impacts on global climate change and food security. Science 304:1623–1627

    Article  CAS  PubMed  Google Scholar 

  • Law BE, Sun OJ, Campbell J, Van Tuyl S, Thornton PE (2003) Changes in carbon storage and fluxes in a chronosequence of Ponderosa pine. Glob Chang Biol 9:510–524

    Article  Google Scholar 

  • Li WH, Deng MK, Li F (1981) Study on biomass and primary production of main ecosystems in Changbai Mountain. Res Forest Ecosyst 2:34–50

    Google Scholar 

  • Li KR, Wang SQ, Cao MK (2004) Vegetation and soil carbon storage in China. Sci China Ser D Earth Sci 47:49–57

    Article  CAS  Google Scholar 

  • Luo TX, Brown S, Pan YD, Shi PL, Ouyang H, Yu ZL, Zhu HZ (2005) Root biomass along subtropical to alpine gradients: global implication from Tibetan transects studies. For Ecol Manage 206:349–363

    Article  Google Scholar 

  • Martin JL, Gower ST, Plaut J, Holmes B (2005) Carbon pools in a boreal mixed wood logging chronosequence. Glob Chang Biol 11:1883–1894

    Google Scholar 

  • Mokany Y, Raison RJ, Prokushkin AS (2005) Critical analysis of root:shoot ratios in terrestrial biomes. Glob Chang Biol 11:1–13

    Article  Google Scholar 

  • Peng CH, Zhou XL, Zhao SQ, Wang XP, Zhu B, Piao SL, Fang JY (2009) Quantifying the response of forest carbon balance to future climate change in Northeastern China: Model validation and prediction. Glob Planet Change 69:179–194

    Article  Google Scholar 

  • Piao SL, Fang JY, Zhu B, Tan K (2005) Forest biomass carbon stocks in China over the past 2 decades, estimation based on integrated inventory and satellite data. J Geophys Res 110:G01006. doi:10.1029/2005JG000014

    Article  Google Scholar 

  • Pregitzer KS, Euskirchen ES (2004) Carbon cycling and storage in world forests, biome patterns related to forest age. Glob Chang Biol 10:2052–2077

    Article  Google Scholar 

  • Smithwick EAH, Harmon ME, Remillard SM, Acker SA, Franklin JF (2002) Potential upper bounds of carbon stores in forests of the Pacific Northwest. Ecol Appl 12:1303–1317

    Article  Google Scholar 

  • UNEP–WCMC (United Nations Environment Programme–World Conservation Monitoring Centre) (2002) Mountain Watch: environmental change and sustainable development in mountains. UNEP World Conservation Monitoring Centre, Cambridge

    Google Scholar 

  • Wang CK (2006) Biomass allometric equations for 10 co-occurring tree species in Chinese temperate forests. For Ecol Manage 222:9–16

    Article  Google Scholar 

  • Wang Z, Xu ZB, Li X, Peng YS, Qian JJ, Liu ZD, Yang Y, Wei CL, Li YZ (1980) The main forest types and their features of community structure in northern slope of Changbai Mountain (1). Res Forest Ecosyst 1:25–42

    Google Scholar 

  • Wang CK, Gower ST, Wang YH, Zhao HX, Yan P, Bond-Lamberty BP (2001) The influence of fire on C and net primary production of boreal Larix gmelinii forests in north-eastern China. Glob Chang Biol 7:719–730

    Article  Google Scholar 

  • Wang CK, Bond-Lamberty B, Gower ST (2003) Carbon distribution of a well- and poorly-drained black spruce fire chronosequence. Glob Chang Biol 9:1066–1079

    Article  Google Scholar 

  • Wang DJ, Deng JG, Wang SW, Hu Y (2004a) A table of the volume of standing trees and timber. Guizhou Science and Technology Press, Guiyang

    Google Scholar 

  • Wang L, Ouyang H, Peng K, Tian YQ, Zhang F (2004b) Characteristics of SOM and nitrogen on the eastern slope of Gongga Mountain. J Geogr Sci 14:481–487

    Article  Google Scholar 

  • Wang XP, Fang JY, Zhu B (2008) Forest biomass and root–shoot allocation in northeast China. For Ecol Manage 255:4007–4020

    Article  Google Scholar 

  • Yan ER, Wang XH, Huang JJ (2006) Concept and classification of coarse woody debris in forest ecosystems. Front Biol China 1:76–84

    Article  Google Scholar 

  • Yang YH, Mohammat A, Feng JM, Zhou R, Fang JY (2007) Storage, patterns and environmental controls of soil organic carbon in China. Biogeochemistry 84:131–141

    Article  Google Scholar 

  • Zhang N, Yu GR, Yu ZL, Zhao SD (2003) Analysis on factors affecting net primary productivity in Changbai Mountain based on process model for landscape scale. Chin J Appl Ecol 14:659–664

    Google Scholar 

  • Zhang XP, Wang XP, Zhu B, Zong ZJ, Peng CH, Fang JY (2008) Litter fall production in relation to environmental factors in Northeast China’s forests. J Plant Ecol (Chinese Version) 32:1031–1040

    Google Scholar 

  • Zhao SQ, Fang JY, Zong ZJ, Zhu B, Shen HH (2004) Composition, structure and species diversity of plant communities along an altitudinal gradient on the northern slope of Mt Changbai, Northeast China. Biodivers Sci 12:164–173

    Google Scholar 

  • Zhou YR, Yu ZL, Zhao SD (2000) Carbon storage and budget of major Chinese forest types. Acta Phytoecol Sin 24:518–522

    Google Scholar 

  • Zhu B (2005) Carbon stocks of main forest ecosystems in Northeast China. MS Thesis. Peking University, Beijing

Download references

Acknowledgments

This study was supported by the National Natural Science Foundation of China (#40228001 and #30721140306). We thank K. Tan, Z.J. Zong, and X.L. Zhou for field assistance, Y.H. Yang and Y.H. Chen for laboratory assistance, and Professor W.X. Cheng and two anonymous reviewers for their valuable comments on an earlier version of the manuscript.

Author information

Affiliations

Authors

Corresponding author

Correspondence to Jingyun Fang.

Appendix 1

Appendix 1

See Table 5.

Table 5 Site characteristics and carbon density (t C ha−1) for the 22 plots along an altitudinal gradient on Mt Changbai

Rights and permissions

Reprints and Permissions

About this article

Cite this article

Zhu, B., Wang, X., Fang, J. et al. Altitudinal changes in carbon storage of temperate forests on Mt Changbai, Northeast China. J Plant Res 123, 439–452 (2010). https://doi.org/10.1007/s10265-009-0301-1

Download citation

  • Received:

  • Accepted:

  • Published:

  • Issue Date:

  • DOI: https://doi.org/10.1007/s10265-009-0301-1

Keywords

  • Biomass
  • Detritus
  • Soil organic carbon
  • Carbon allocation
  • Temperate forests
  • Altitudinal gradient