Skip to main content

Contraction dynamics and function of the muscle-tendon complex depend on the muscle fibre-tendon length ratio: a simulation study

Abstract

Experimental studies show different muscle-tendon complex (MTC) functions (e.g. motor or spring) depending on the muscle fibre-tendon length ratio. Comparing different MTC of different animals examined experimentally, the extracted MTC functions are biased by, for example, MTC-specific pennation angle and fibre-type distribution or divergent experimental protocols (e.g. influence of temperature or stimulation on MTC force). Thus, a thorough understanding of variation of these inner muscle fibre-tendon length ratios on MTC function is difficult. In this study, we used a hill-type muscle model to simulate MTC. The model consists of a contractile element (CE) simulating muscle fibres, a serial element (SE) as a model for tendon, and a parallel elastic element (PEE) modelling tissue in parallel to the muscle fibres. The simulation examines the impact of length variations of these components on contraction dynamics and MTC function. Ensuring a constant overall length of the MTC by \(L_\mathrm{MTC} = L_\mathrm{SE} + L_\mathrm{CE}\), the SE rest length was varied over a broad physiological range from 0.1 to 0.9 MTC length. Five different MTC functions were investigated by simulating typical physiological experiments: the stabilising function with isometric contractions, the motor function with contractions against a weight, the capability of acceleration with contractions against a small inertial mass, the braking function by decelerating a mass, and the spring function with stretch-shortening cycles. The ratio of SE and CE mainly determines the MTC function. MTC with comparably short tendon generates high force and maximal shortening velocity and is able to produce maximal work and power. MTC with long tendon is suitable to store and release a maximum amount of energy. Variation of muscle fibre-tendon ratio yielded two peaks for MTC’s force response for short and long SE lengths. Further, maximum work storage capacity of the SE is at long \(\mathrm{rel}L_\mathrm{SE,0}\). Impact of fibre-tendon length ratio on MTC functions will be discussed. Considering a constant set of MTC parameters, quantitative changes in MTC performance (work, stiffness, force, energy storage, dissipation) depending on varying muscle fibre-tendon length ratio were provided, which enables classification and grading of different MTC designs.

This is a preview of subscription content, access via your institution.

Fig. 1
Fig. 2
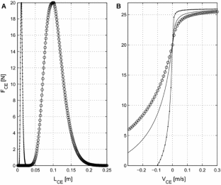
Fig. 3
Fig. 4
Fig. 5
Fig. 6
Fig. 7
Fig. 8
Fig. 9

References

  • Ahn AN, Full RJ (2002) A motor and a brake: two leg extensor muscles acting at the same joint manage energy differently in a running insect. J Exp Biol 205(Pt 3):379–389

    Google Scholar 

  • Alexander RM, Bennet-Clark HC (1977) Storage of elastic strain energy in muscle and other tissues. Nature 265(5590):114–117

    Article  Google Scholar 

  • Allen DG, Lamb GD, Westerblad H (2008) Skeletal muscle fatigue: cellular mechanisms. Physiol Rev 88(1):287–332. doi:10.1152/physrev.00015.2007

    Article  Google Scholar 

  • Ariano MA, Armstrong RB, Edgerton VR (1973) Hindlimb muscle fiber populations of five mammals. J Histochem Cytochem 21(1):51–55

    Article  Google Scholar 

  • Asmussen G, Maréchal G (1989) Maximal shortening velocities, isomyosins and fibre types in soleus muscle of mice, rats and guinea-pigs. J Physiol 416:245–254

    Article  Google Scholar 

  • Bennett AF (1985) Temperature and muscle. J Exp Biol 115:333–344

    Google Scholar 

  • Biewener AA, Baudinette RV (1995) In vivo muscle force and elastic energy storage during steady-speed hopping of tammar wallabies (macropus eugenii). J Exp Biol 198(Pt 9):1829–1841

  • Biewener AA (1998) Muscle function in vivo: a comparison of muscles used for elastic energy savings versus muscles used to generate mechanical power. Am Zool 38:703–717

    Article  Google Scholar 

  • Biewener AA, Gillis GB (1999) Dynamics of muscle function during locomotion: accommodating variable conditions. J Exp Biol 202(Pt 23):3387–3396

    Google Scholar 

  • Biewener AA, Konieczynski DD, Baudinette RV (1998) In vivo muscle force-length behavior during steady-speed hopping in tammar wallabies. J Exp Biol 201(Pt 11):1681–1694

    Google Scholar 

  • Biewener AA, McGowan C, Card GM, Baudinette RV (2004) Dynamics of leg muscle function in tammar wallabies (m. eugenii) during level versus incline hopping. J Exp Biol 207(Pt 2):211–223

    Article  Google Scholar 

  • Bobbert MF (2001) Dependence of human squat jump performance on the series elastic compliance of the triceps surae: a simulation study. J Exp Biol 204(Pt 3):533–542

    Google Scholar 

  • Brown I, Scott S, Loeb G (1995) Preflexes. In: Programmable, high-gain, zero-delay intrinsic responses of perturbed musculoskeletal systems. Society neuroscience abstract, vol 21

  • Davies AS, Gunn HM (1972) Histochemical fibre types in the mammalian diaphragm. J Anat 112(Pt 1):41–60

    Google Scholar 

  • Ettema GJ, Huijing PA (1994) Effects of distribution of muscle fiber length on active length-force characteristics of rat gastrocnemius medialis. Anat Rec 239(4):414–420. doi:10.1002/ar.1092390408

    Article  Google Scholar 

  • Faulkner J, Claflin D, McCully K (1986) Power output of fast and slow fibres from human skeletal muscles. In: Jones NL, McCartney N, McComas AJ (eds) Human muscle power. Human Kinetics, 332 pp

  • Fitts RH (1994) Cellular mechanisms of muscle fatigue. Physiol Rev 74(1):49–94

    Google Scholar 

  • Gillis GB, Biewener AA (2001) Hindlimb muscle function in relation to speed and gait: in vivo patterns of strain and activation in a hip and knee extensor of the rat (rattus norvegicus). J Exp Biol 204(Pt 15):2717–2731

    Google Scholar 

  • Günther M, Ruder H (2003) Synthesis of two-dimensional human walking: a test of the lambda-model. Biol Cybern 89(2):89–106. doi:10.1007/s00422-003-0414-x

    Article  MATH  Google Scholar 

  • Günther M, Schmitt S, Wank V (2007) High-frequency oscillations as a consequence of neglected serial damping in hill-type muscle models. Biol Cybern 97(1):63–79. doi:10.1007/s00422-007-0160-6

    Article  MATH  Google Scholar 

  • Günther M, Röhrle O, Haeufle DFB, Schmitt S (2012) Spreading out muscle mass within a hill-type model: a computer simulation study. Comput Math Methods Med 2012:848,630. doi:10.1155/2012/848630

    MathSciNet  Article  MATH  Google Scholar 

  • Granata KP, Marras WS (2000) Cost-benefit of muscle cocontraction in protecting against spinal instability. Spine 25(11):1398–1404

    Article  Google Scholar 

  • Haeufle DFB, Günther M, Bayer A, Schmitt S (2014) Hill-type muscle model with serial damping and eccentric force-velocity relation. J Biomech 47(6):1531–1536. doi:10.1016/j.jbiomech.2014.02.009

    Article  Google Scholar 

  • Hill AV (1938) The heat of shortening and the dynamic constants of muscle. Proc R Soc Lond Biol Sci 126(843):136–195

    Article  Google Scholar 

  • Hill AV (1950) The dimensions of animals and their muscular dynamics. Sci Prog 38(150):209–230

  • John CT, Anderson FC, Higginson JS, Delp SL (2013) Stabilisation of walking by intrinsic muscle properties revealed in a three-dimensional muscle-driven simulation. Comput Methods Biomech Biomed Eng 16(4):451–462. doi:10.1080/10255842.2011.627560

    Article  Google Scholar 

  • Jones AM, Campbell IT, Pringle JSM (2004a) Influence of muscle fibre type and pedal rate on the vo2-work rate slope during ramp exercise. Eur J Appl Physiol 91(2–3):238–245. doi:10.1007/s00421-003-0971-7

    Article  Google Scholar 

  • Jones DA, Round J, de Haan A (2004b) Skeletal muscle: from molecules to movement. Churchill Livingstone, Edinburgh

    Google Scholar 

  • Josephson RK (1985) Mechanical power output from striated muscle during cyclic contraction. J Exp Biol 114:493–512

  • Kaya M, Leonard T, Herzog W (2003) Coordination of medial gastrocnemius and soleus forces during cat locomotion. J Exp Biol 206(Pt 20):3645–3655

    Article  Google Scholar 

  • Kistemaker DA, van Soest AJ, Bobbert MF (2006) Is equilibrium point control feasible for fast goal-directed single-joint movements? J Neurophysiol 95(5):2898–2912

    Article  Google Scholar 

  • Lloyd DG, Besier TF (2003) An EMG-driven musculoskeletal model to estimate muscle forces and knee joint moments in vivo. J Biomech 36(6):765–776

    Article  Google Scholar 

  • Lutz GJ, Rome LC (1996) Muscle function during jumping in frogs. ii. mechanical properties of muscle: implications for system design. Am J Physiol 271(2 Pt 1):C571–C578

    Google Scholar 

  • Maas H, Huijing PA (2005) Myofascial force transmission in dynamic muscle conditions: effects of dynamic shortening of a single head of multi-tendoned rat extensor digitorum longus muscle. Eur J Appl Physiol 94(5–6):584–592. doi:10.1007/s00421-005-1367-7

    Article  Google Scholar 

  • McMahon TA (1984) Muscles, reflexes and locomotion. Princeton University Press, Princeton

    Google Scholar 

  • Millard M, Uchida T, Seth A, Delp SL (2013) Flexing computational muscle: modeling and simulation of musculotendon dynamics. J Biomech Eng 135:021,005. doi:10.1115/1.4023390

    Article  Google Scholar 

  • Miller RH, Umberger BR, Hamill J, Caldwell GE (2011) Evaluation of the minimum energy hypothesis and other potential optimality criteria for human running. Proc Biol Sci R Soc 1498–1505. doi:10.1098/rspb.2011.2015

  • Mörl F, Siebert T, Schmitt S, Blickhan R, Günther M (2012) Electro-mechanical delay in hill-type muscle models. JMMB 12(5). doi:10.1142/S0219519412500856

  • Prilutsky BI, Herzog W, Allinger TL (1996) Mechanical power and work of cat soleus, gastrocnemius and plantaris muscles during locomotion: possible functional significance of muscle design and force patterns. J Exp Biol 199(Pt 4):801–814

    Google Scholar 

  • Rack P, Westbury D (1969) The effects of length and stimulus rate on tension in the isometric cat soleus muscle. J Physiol 204(2):443–460

    Article  Google Scholar 

  • Ranatunga KW (1984) The force-velocity relation of rat fast- and slow-twitch muscles examined at different temperatures. J Physiol 351:517–529

    Article  Google Scholar 

  • Ranatunga KW, Thomas PE (1990) Correlation between shortening velocity, force-velocity relation and histochemical fibre-type composition in rat muscles. J Muscle Res Cell Motil 11(3):240–250

    Article  Google Scholar 

  • Roberts TJ, Azizi E (2010) The series-elastic shock absorber: tendons attenuate muscle power during eccentric actions. J Appl Physiol 109(2):396–404. doi:10.1152/japplphysiol.01272.2009 (Bethesda, Md: 1985)

    Article  Google Scholar 

  • Roberts TJ, Azizi E (2011) Flexible mechanisms: the diverse roles of biological springs in vertebrate movement. J Exp Biol 214(Pt 3):353–361. doi:10.1242/jeb.038588

    Article  Google Scholar 

  • Roberts TJ, Marsh RL, Weyand PG, Taylor CR (1997) Muscular force in running turkeys: the economy of minimizing work. Science 275(5303):1113–1115

    Article  Google Scholar 

  • Rode C, Siebert T, Blickhan R (2009) Titin-induced force enhancement and force depression: A ’sticky-spring’ mechanism in muscle contractions? J Theor Biol 259(2):350–360. doi:10.1016/j.jtbi.2009.03.015

    Article  Google Scholar 

  • Rode C, Siebert T, Herzog W, Blickhan R (2009b) The effects of parallel and series elastic components on the active cat soleus force-length relationship. JMMB 9(1):105–122. doi:10.1142/S0219519409002870

  • Rohen JW, Yokochi C (1993) Anatomie des Menschen. Schattaeur, Stuttgart

    Google Scholar 

  • Rome LC, Funke RP, Alexander RM, Lutz G, Aldridge H, Scott F, Freadman M (1988) Why animals have different muscle fibre types. Nature 335(6193):824–827. doi:10.1038/335824a0

    Article  Google Scholar 

  • Rome LC, Sosnicki AA, Goble DO (1990) Maximum velocity of shortening of three fibre types from horse soleus muscle: implications for scaling with body size. J Physiol 431:173–185

    Article  Google Scholar 

  • Rupp TK, Ehlers W, Karajan N, Günther M, Schmitt S (2015) A forward dynamics simulation of human lumbar spine flexion predicting the load sharing of intervertebral discs, ligaments, and muscles. Biomech Model Mechanobiol. doi:10.1007/s10237-015-0656-2

  • Sandercock TG, Heckman CJ (1997) Force from cat soleus muscle during imposed locomotor-like movements: experimental data versus Hill-type model predictions. J Neurophysiol 77(3):1538–1552

    Google Scholar 

  • Scott SH, Winter DA (1991) A comparison of three muscle pennation assumptions and their effect on isometric and isotonic force. J Biomech 24(2):163–167

    Article  Google Scholar 

  • Scott SH, Brown IE, Loeb GE (1996) Mechanics of feline soleus: I. effect of fascicle length and velocity on force output. J Muscle Res Cell Motil 17(2):207–219

    Article  Google Scholar 

  • Shadwick RE (1990) Elastic energy storage in tendons: mechanical differences related to function and age. J Appl Physiol 68(3):1033–1040

    Article  Google Scholar 

  • Siebert T, Rode C (2014) Computational modeling of muscle biomechanics. Woodhead Publishing, Elsevier, Amsterdam

    Book  Google Scholar 

  • Siebert T, Rode C, Herzog W, Till O, Blickhan R (2008) Nonlinearities make a difference: comparison of two common hill-type models with real muscle. Biol Cybern 98(2):133–143. doi:10.1007/s00422-007-0197-6

    MathSciNet  Article  MATH  Google Scholar 

  • Siebert T, Till O, Stutzig N, Günther M, Blickhan R (2014) Muscle force depends on the amount of transversal muscle loading. 47(8):1822–1828. doi:10.1016/j.jbiomech.2014.03.029

  • van Soest AJ, Bobbert MF (1993) The contribution of muscle properties in the control of explosive movements. Biol Cybern 69(3):195–204

    Article  Google Scholar 

  • Wilson A, Lichtwark G (2011) The anatomical arrangement of muscle and tendon enhances limb versatility and locomotor performance. Philos Trans R Soc Lond B Biol Sci 366(1570):1540–1553. doi:10.1098/rstb.2010.0361

    Article  Google Scholar 

  • Woittiez RD, Huijing PA, Rozendal RH (1983) Influence of muscle architecture on the length-force diagram. A model and its verification. Pflugers Arch 397(1):73–74

    Article  Google Scholar 

  • Zajac FE (1989) Muscle and tendon: properties, models, scaling, and application to biomechanics and motor control. Crit Rev Biomed Eng 17(4):359–411

    Google Scholar 

Download references

Acknowledgments

The authors thank Michael Günther for the fruitful discussions and his comments on the manuscript. The study was partially supported by the Deutsche Forschungsgemeinschaft (DFG SI841/6,7 to TS and SCH2392/5-1).

Conflict of interest

None.

Author information

Affiliations

Authors

Corresponding author

Correspondence to Falk Mörl.

Electronic supplementary material

Rights and permissions

Reprints and Permissions

About this article

Verify currency and authenticity via CrossMark

Cite this article

Mörl, F., Siebert, T. & Häufle, D. Contraction dynamics and function of the muscle-tendon complex depend on the muscle fibre-tendon length ratio: a simulation study. Biomech Model Mechanobiol 15, 245–258 (2016). https://doi.org/10.1007/s10237-015-0688-7

Download citation

  • Received:

  • Accepted:

  • Published:

  • Issue Date:

  • DOI: https://doi.org/10.1007/s10237-015-0688-7

Keywords

  • Tendon length
  • Biomechanics
  • Simulation
  • Direct dynamics
  • Muscle model
  • Energy storage