Abstract
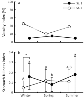
To ascertain the early food resource use of the endangered sleeper, Eleotris oxycephala, the food habits of juveniles were studied in a major stream (which received treated sewage discharge and had a low level of vegetation cover) and a tributary (which received little artificial inflow and had extensive vegetation cover) in the Sagami River system, eastern Japan in November 2015 (winter), May 2016 (spring), and August/September 2016 (summer). The stomach content compositions of 174 individuals and the stable isotope ratios of 30 individuals and their prey animals were investigated along with the species composition of prey animals in the environment. Various aquatic animals, including fish eggs, mollusks, crabs, palaemonid shrimps, atyid shrimps, isopods (asellids), chironomid larvae, and dragonfly larvae, were present in juvenile E. oxycephala stomach contents. In the tributary, they mainly preyed on atyid shrimps, which were abundant in the environment, with lower feeding intensity during winter season. In the major stream, throughout the year (including winter), they fed mainly on chironomid larvae, which were smaller and slower than atyid shrimps, and so easily caught, even by small recently recruited juveniles. There were abundant chironomid larvae in the major stream environment, where the water temperature seemed warmer and more eutrophic than in the tributary because of the treated sewage discharge, particularly in winter. These results indicated that feeding intensity differed between sites, particularly in winter, and this difference might be associated with differences in prey availability (i.e., chironomid larvae) or warm-water conditions. Moreover, juveniles could shift their use of food resources, in response to differences in prey availability. Thus, to conserve E. oxycephala in terms of early food resource use, it is necessary to conserve various aquatic prey animals such as atyid shrimps and chironomid larvae and their habitats.
This is a preview of subscription content, access via your institution.


References
Aizawa J, Sato Y, Ito A, Kitada K, Umita T, Omura T (1999) Effect of effluents from a sewage treatment plant on river benthic animals and water environment. Jpn J Water Treat Biol 35:247–259
Akihito Prince (1967) On four species of the gobiid fishes of the genus Eleotris found in Japan. Jpn J Ichthyol 14:135–166
Azuma M, Motomura Y (1998) Feeding habits of largemouth bass in a non-native environment: the case of a small lake with bluegill in Japan. Environ Biol Fish 52:379–389
Bergman E (1987) Temperature-dependent differences in foraging ability of two percids, Perca fluviatilis and Gymnocephalus cernuus. Environ Biol Fish 19:45–53
DeNiro MJ, Epstein S (1978) Influence of diet on the distribution of carbon isotopes in animals. Geochim Cosmochim Acta 42:495–506
DeNiro MJ, Epstein S (1981) Influence of diet on the distribution of nitrogen isotopes in animals. Geochim Cosmochim Acta 45:341–351
Dotu Y, Fujita S (1959) The bionomics and life history of the eleotrid fish, Eleotris oxcephala Temminck et Schlegel. Bull Fac Fish Nagasaki Univ 8:191–195
Failla AJ, Vasquez AA, Fujimoto M, Ram JL (2015) The ecological, economic and public health impacts of nuisance chironomids and their potential as aquatic invaders. Aquat Invasions 10:1–15
Fujita T (2015) Kawa-anago. In: Hosoya K (ed) Freshwater fishes of Japan. Yama-kei Publishers co.,Ltd., Tokyo, pp 358–359
Grabowska J, Grabowski M (2005) Diel-feeding activity in early summer of racer goby Neogobius gymnotrachelus (Gobiidae): a new invader in the Baltic basin. J Appl Ichthyol 21:282–286
Gupta S (1975) The development of carp gonads in warm water aquaria. J Fish Biol 7:775–782
Hershey AE (1985) Effects of predatory sculpin on the chironomid communities in an arctic lake. Ecology 66:1131–1138
Jobling S, Beresford N, Nolan M, Rodgers-Gray T, Brighty GC, Sumpter JP, Tyler CR (2002) Altered sexual maturation and gamete production in wild roach (Rutilus rutilus) living in rivers that receive treated sewage effluents. Biol Reprod 66:272–281
Kanou K, Sano M, Kohno H (2004) Diet shift with settlement in the yellowfin goby Acanthogobius flavimanus on a tidal mudflat. La mer 42:67–72
Kanou K, Sano M, Kohno H (2005) Ontogenetic diet shift, feeding rhythm, and daily ration of juvenile yellowfin goby Acanthogobius flavimanus on a tidal mudflat in the Tama River estuary, central Japan. Ichthyol Res 52:319–324
Kim B, Jang M, Yoon J, Song H (2014) First reliable record of an eleotrid fish, Eleotris oxycephala (Perciformes: Eleotridae) from the lower reach of Jwagwang stream near Busan, Korea. Korean J Ichthyol 26:230–234
Kohbara J, Hidaka I, Matsuoka F, Osada T, Furukawa K, Yamashita M, Tabata M (2003) Self-feeding behavior of yellowtail, Seriola quinqueradiata, in net cages: Diel and seasonal patterns and influences of environmental factors. Aquaculture 220:581–594
Kon K, Kurokura H, Tongnunui P (2015) Do allochthonous inputs represent an important food resource for benthic macrofaunal community? Food Webs 2:10–17
Maeda K, Tachihara K (2004) Instream distributions and feeding habits of two species of sleeper, Eleotris acanthopoma and Eleotris fusca, in the Teima River, Okinawa Island. Ichthyol Res 51:233–240
Matsuo T, Takahama H (2001) Courtship and spawning behavior of Eleotris oxycephala in an aquarium. Jpn J Ichthyol 48:53–57
Meng Y, Ma H, Ma C, Wei H, Liu Y, Zhang F, Wang W, Chen W, Zhao M, Chen F, Ma L (2015) The complete mitochondrial genome of Eleotris oxycephala (Perciformes: Eleotridae). Mitochondrial DNA A DNA Mapp Seq Anal 27:3820–3821
Minagawa M, Wada E (1984) Stepwise enrichment of 15N long food chains: further evidence and the relation between δ15N and animal age. Geochim Cosmochim Acta 48:1135–1140
Moresco A, Bemvenuti MA (2005) Morphologic features and feeding analysis of the black catfish Trachelyopterus lucenai Bertoletti, Pezzi da Silva & Pereira (Siluriformes, Auchenipteridae). Acta Limnol Bras 17:37–44
Nakamuro K, Okuno T, Takata S, Taguchi H, Inoue T, Ueda A, Fukunaga I, Kagajyo N, Hattori Y, Koi H (2006) Influence of sewage effluent on temperature of urban river water. J Jpn Soc Water Environ 29:177–181
Natsumeda T, Tsuruta T, Takeshima H, Iguchi K (2012) Diet and food selectivity of Japanese fluvial sculpin Cottus pollux (large-egg type) in the upper regions of the Chikuma River. Ichthyol Res 59:354–364
Okach JO, Dadzie S (1988) The food, feeding habits and distribution of a siluroid catfish, Bagrus docmac (Forsskål), in the Kenya waters of Lake Victoria. J Fish Biol 32:85–94
Oksanen J, Blanchet FG, Kindt R, Legendre P, Minchin PR, O’Hara RB, Simpson GL, Solymos P, Stevens MHH, Wagner H (eds) (2016) vegan: Community Ecology Package. R package version 2.3-3, updated 12 January 2016. https://CRAN.R-project.org/package=vegan. Accessed 24 December 2016
Oshima M (1919) Contributions to the study of the freshwater fishes of the island of Formosa. Ann Carnegie Mus 12:169–328
Parnell AC, Inger R, Bearhop S, Jackson AL (2010) Source partitioning using stable isotopes: Coping with too much variation. PLoS ONE 5:e9672. https://doi.org/10.1371/journal.pone.0009672
Sato M, Arai K, Ohara Y (1994) Distribution of freshwater shrimps, a prawn and a crayfish, and life history of Neocaridina denticulata denticulata in the system of Manose Rivers in Kagoshima Prefecture, southern Japan. Rep Fac Sci Kagoshima Univ Earth Sci Biol 27:245–262
Soderberg RW (1990) Temperature effects on the growth of blue tilapia in intensive aquaculture. Prog fish-cult 52:155–157
Suguro N, Senou H (2006) Kisui-tansuigyorui. In: Takakuwa M, Katsuyama T, Kiba H (eds) The Red Data species in Kanagawa Prefecture 2006. Kanagawa Prefectural Museum of Natural History, Odawara, pp 275–298
Urquhart AN, Koetsier P (2014) Diet of a cryptic but widespread invader, the oriental weatherfish (Misgurnus anguillicaudatus) in Idaho, USA. West N Am Nat 74:92–98
Usui S, Kanou K, Sano M (2018) Food habits of fishes in a freshwater reed belt in Lake Kitaura, eastern Japan, in summer. Fish Sci 84:469–476
Xia A, Zhong L, Chen X, Bian W, Zhang T, Shi Y (2015) Complete mitochondrial genome of spined sleeper Eleotris oxycephala (Perciformes, Eleotridae) and phylogenetic consideration. Biochem Syst Ecol 62:11–19
Yamazaki K, Kanou K, Arayama K (2019) Nocturnal activity and feeding of juvenile channel catfish, Ictalurus punctatus, around offshore breakwaters in Lake Kasumigaura, Japan. Ichthyol Res 66:166–171
Yatsuya M, Ueno M, Yamashita Y (2013) Life history of the amphidromous shrimp Caridina leucosticta (Decapoda: Caridea: Atyidae) in the Isazu River, Japan. J Crustacean Biol 33:488–502
Yie F, Zhang J (1993) Study on age, growte and life-history pattern of (Eleotris oxycephala Temminck et Schlegel). Acta Ecologica Sinica 13:51–57
Zar JH (1999) Biostatistical Analysis, 4th edn. Prentice Hall, Upper Saddle River
Acknowledgments
The authors thank Sagami-gawa River Fisheries Cooperative Federation for their permitting our sampling in the Sagami River system. Special thanks are given to H. Senou (Kanagawa Prefectural Museum of Natural History), K. Maeda (Okinawa Institute of Science and Technology Graduate University) and Leanne Faulks (Sugadaira Research Station, Mountain Science Center, University of Tsukuba) for generous assistance in this work. This study was supported in part by a Grant-in-Aid for Young Scientists (B) from the Ministry of Education, Science, Sports and Culture of Japan (16K18735).
Author information
Affiliations
Corresponding author
Additional information
Publisher's Note
Springer Nature remains neutral with regard to jurisdictional claims in published maps and institutional affiliations.
Electronic supplementary material
Below is the link to the electronic supplementary material.
About this article
Cite this article
Yamakawa, U., Kanou, K., Tsuda, Y. et al. Food resource use by juveniles of the endangered sleeper Eleotris oxycephala in the Sagami River system, Japan. Ichthyol Res (2021). https://doi.org/10.1007/s10228-020-00795-x
Received:
Revised:
Accepted:
Published:
Keywords
- Opportunistic feeder
- Prey animal composition
- Stable isotope analysis
- Stomach content composition
- Stomach fullness index