Skip to main content

Chronic kidney disease management in an academic internal medicine clinic

Abstract

Objective

We sought to evaluate the current state of chronic kidney disease (CKD) management in our academic internal medicine clinic.

Methods

A retrospective review was carried out involving all patients with laboratory evidence of CKD enrolled in our clinic. We evaluated the rate of CKD recognition as well as compliance with standard guidelines. We further subdivided our results based on physician training level, presence of diabetes, recognition of CKD, age, and race.

Results

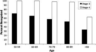
Factors that significantly improved recognition and treatment of CKD in our study included presence of diabetes (p < 0.001), black race (p = 0.013), younger age (p = 0.004), and treatment by a resident physician (p = 0.009). Recognition of stage 3 CKD was associated with significant increases in urine protein analysis (p < 0.001) and nephrology consultation (p < 0.001).

Conclusion

Chronic kidney disease remains under-recognized and undertreated despite well-publicized guidelines and widespread use of routine eGFR reporting.

This is a preview of subscription content, access via your institution.

Fig. 1
Fig. 2
Fig. 3
Fig. 4

References

  1. Coresh J, Selvin E, Stevens LA, et al. Prevalence of chronic kidney disease in the United States. JAMA. 2007;298(17):2038–47.

    Article  CAS  PubMed  Google Scholar 

  2. Go AS, Chertow GM, Fan D, McCulloch CE, Hsu C-y. Chronic kidney disease and the risks of death, cardiovascular events, and hospitalization. N Engl J Med. 2004;351(13):1296–305.

    Article  CAS  PubMed  Google Scholar 

  3. Young JH, Klag MJ, Muntner P, Whyte JL, Pahor M, Coresh J. Blood pressure and decline in kidney function: findings from the Systolic Hypertension in the Elderly Program (SHEP). J Am Soc Nephrol. 2002;13(11):2776–82.

    Article  CAS  PubMed  Google Scholar 

  4. Bakris GL, Weir MR, Shanifar S, et al. Effects of blood pressure level on progression of diabetic nephropathy: results from the RENAAL study. Arch Intern Med. 2003;163(13):1555–65.

    Article  PubMed  Google Scholar 

  5. Hillege HL, Fidler V, Diercks GFH, et al. Urinary albumin excretion predicts cardiovascular and noncardiovascular mortality in general population. Circulation. 2002;106(14):1777–82.

    Article  CAS  PubMed  Google Scholar 

  6. Yusuf S, Sleight P, Pogue J, Bosch J, Davies R, Dagenais G. Effects of an angiotensin-converting-enzyme inhibitor, ramipril, on cardiovascular events in high-risk patients The Heart Outcomes Prevention Evaluation Study Investigators. N Engl J Med. 2000;342(3):145–53.

    Article  CAS  PubMed  Google Scholar 

  7. Investigators O, Yusuf S, Teo KK, et al. Telmisartan, ramipril, or both in patients at high risk for vascular events. N Engl J Med. 2008;358(15):1547–59.

    Article  Google Scholar 

  8. Jafar TH, Stark PC, Schmid CH, et al. Progression of chronic kidney disease: the role of blood pressure control, proteinuria, and angiotensin-converting enzyme inhibition: a patient-level meta-analysis. Ann Intern Med. 2003;139(4):244–52.

    CAS  PubMed  Google Scholar 

  9. Jones C, Roderick P, Harris S, Rogerson M. Decline in kidney function before and after nephrology referral and the effect on survival in moderate to advanced chronic kidney disease. Nephrol Dial Transplant. 2006;21(8):2133–43.

    Article  PubMed  Google Scholar 

  10. John R, Webb M, Young A, Stevens PE. Unreferred chronic kidney disease: a longitudinal study. Am J Kidney Dis. 2004;43(5):825–35.

    Article  PubMed  Google Scholar 

  11. Tseng C-L, Kern EFO, Miller DR, et al. Survival benefit of nephrologic care in patients with diabetes mellitus and chronic kidney disease. Arch Intern Med. 2008;168(1):55–62.

    Article  PubMed  Google Scholar 

  12. Levey AS, Bosch JP, Lewis JB, Greene T, Rogers N, Roth D. A more accurate method to estimate glomerular filtration rate from serum creatinine: a new prediction equation Modification of Diet in Renal Disease Study Group. Ann Intern Med. 1999;130(6):461–70.

    CAS  PubMed  Google Scholar 

  13. Wyatt C, Konduri V, Eng J, Rohatgi R. Reporting of estimated GFR in the primary care clinic. Am J Kidney Dis. 2007;49(5):634–41.

    Article  PubMed  Google Scholar 

  14. Ryan TP, Sloand JA, Winters PC, Corsetti JP, Fisher SG. Chronic kidney disease prevalence and rate of diagnosis. Am J Med. 2007;120(11):981–6.

    Article  PubMed  Google Scholar 

  15. Minutolo R, DeNicola L, Mazzaglia G, et al. Detection and awareness of moderate to advanced CKD by primary care practitioners: a cross-sectional study from Italy. Am J Kidney Dis. 2008;52(3):444–53.

    Article  PubMed  Google Scholar 

  16. Rothberg M, Kehoe E, Courtemanche A, et al. Recognition and management of chronic kidney disease in an elderly ambulatory population. J Gen Intern Med. 2008;23(8):1125–30.

    Article  PubMed  Google Scholar 

  17. Akbari A, Swedko PJ, Clark HD, et al. Detection of chronic kidney disease with laboratory reporting of estimated glomerular filtration rate and an educational program. Arch Intern Med. 2004;164(16):1788–92.

    Article  PubMed  Google Scholar 

  18. Navaneethan SD, Nigwekar S, Sengodan M, et al. Referral to nephrologists for chronic kidney disease care: is non-diabetic kidney disease ignored? Nephron. 2007;106(3):c113–8.

    PubMed  Google Scholar 

  19. Kinchen KS, Sadler J, Fink N, et al. The timing of specialist evaluation in chronic kidney disease and mortality. Ann Intern Med. 2002;137(6):479–86.

    PubMed  Google Scholar 

  20. Ifudu O, Dawood M, Iofel Y, Valcourt JS, Friedman EA. Delayed referral of black, Hispanic, and older patients with chronic renal failure. Am J Kidney Dis. 1999;33(4):728–33.

    Article  CAS  PubMed  Google Scholar 

  21. Steel J, Ellis P. Do demographic variables affect the timing of referral to the nephrologist? Edtna-Erca J. 2002;28(4):185–7.

    CAS  PubMed  Google Scholar 

  22. Gao SW, Oliver DK, Das N, et al. Assessment of racial disparities in chronic kidney disease stage 3 and 4 care in the department of defense health system. Clin J Am Soc Nephrol. 2008;3(2):442–9.

    Article  PubMed  Google Scholar 

  23. Sisson SD, Rastegar DA, Rice TN, Hughes MT. Multicenter implementation of a shared graduate medical education resource. Arch Intern Med. 2007;167(22):2476–80.

    Article  PubMed  Google Scholar 

  24. Winkelmayer WC, Glynn RJ, Levin R, Owen WF Jr, Avorn J. Determinants of delayed nephrologist referral in patients with chronic kidney disease. Am J Kidney Dis. 2001;38(6):1178–84.

    Article  CAS  PubMed  Google Scholar 

  25. Ouseph R, Hendricks P, Hollon JA, Bhimani BD, Lederer ED. Under-recognition of chronic kidney disease in elderly outpatients. Clin Nephrol. 2007;68(6):373–8.

    CAS  PubMed  Google Scholar 

  26. Raymond NT, Zehnder D, Smith SCH, Stinson JA, Lehnert H, Higgins RM. Elevated relative mortality risk with mild-to-moderate chronic kidney disease decreases with age. Nephrol Dial Transplant. 2007;22(11):3214–20.

    Article  PubMed  Google Scholar 

  27. O’Hare AM, Choi AI, Bertenthal D, et al. Age affects outcomes in chronic kidney disease. J Am Soc Nephrol. 2007;18(10):2758–65.

    Article  PubMed  Google Scholar 

Download references

Acknowledgments

The authors give special thanks to Dr. Anneke C. Bush for her assistance with the statistical portion of this study.

Author information

Affiliations

Authors

Corresponding author

Correspondence to Ian J. Stewart.

Additional information

B. D. Morrow and I. J. Stewart contributed equally to this manuscript.

About this article

Cite this article

Morrow, B.D., Stewart, I.J., Barnes, E.W. et al. Chronic kidney disease management in an academic internal medicine clinic. Clin Exp Nephrol 14, 137–143 (2010). https://doi.org/10.1007/s10157-009-0247-6

Download citation

  • Received:

  • Accepted:

  • Published:

  • Issue Date:

  • DOI: https://doi.org/10.1007/s10157-009-0247-6

Keywords

  • Angiotensin-converting enzyme inhibitor
  • Angiotensin receptor blocker
  • Blood pressure control
  • Chronic kidney disease
  • Glomerular filtration rate
  • Internship and residency