Skip to main content

Percutaneous nerve evaluation based on electrode placement under control of autonomic innervation

Abstract

Background

Foramen needle electrode placement for percutaneous nerve evaluation (PNE) is currently carried out while observing the somatic motor response. This study investigated electrode placement while observing the autonomic as well as the somatic response.

Methods

A consecutive series of ten patients (seven women) with a median age of 51.9 (range 30–75) years undergoing PNE for faecal incontinence (n = 6) and obstipation (n = 4) were investigated prospectively. Electrode placement was carried out under simultaneous electromyography (EMG) of the external anal sphincter (EAS) and internal anal sphincter (IAS) and cystomanometry.

Results

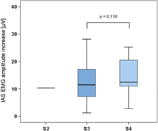
PNE under control of somatic and autonomic nerve responses was carried out in all patients. In three out of ten patients, initial needle electrode placement showed single evoked EMG signals from the EAS. Final electrode placement resulted in adequate somatic motor and autonomic responses in all patients. Comparison of the increases in IAS EMG amplitude on the right and left stimulation sites for sacral nerves S3 and S4 demonstrated significant differences [S3 right: median 15.3 (interquartile range (IQR) 10.4; 20.1) µV vs. S3 left: median 11.6 (IQR 8.6; 16.0) µV, p = 0.034 and S4 right: median 24.1 (IQR 20.1; 37.2) µV vs. S4 left: median 12.0 (IQR 10.7; 13.7) µV, p = 0.012]. Stimulation-induced bladder activation was achieved in all seven patients with concomitant urinary dysfunction.

Conclusions

Control of not just the somatic motor response but also the autonomic nerve response during foramen needle electrode placement may objectify PNE.

This is a preview of subscription content, access via your institution.

Fig. 1
Fig. 2

References

  1. Tanagho EA, Schmidt RA, Orvis BR (1989) Neural stimulation for control of voiding dysfunction: a preliminary report in 22 patients with serious neuropathic voiding disorders. J Urol 142:340–345

    CAS  PubMed  Google Scholar 

  2. Matzel KE, Stadelmaier U, Hohenfellner M, Gall FP (1995) Electrical stimulation for the treatment of faecal incontinence. Lancet 346:1124–1127

    CAS  PubMed  Article  Google Scholar 

  3. Schwandner O (2013) Sacral neuromodulation for fecal incontinence and “low anterior resection syndrome” following neoadjuvant therapy for rectal cancer. Int J Colorectal Dis 28:665–669

    CAS  PubMed  Article  Google Scholar 

  4. Leroi AM (2011) The role of sacral neuromodulation in double incontinence. Colorectal Dis 13(Suppl 2):15–18

    PubMed  Article  Google Scholar 

  5. Faucheron JL, Chodez M, Boillot B (2012) Neuromodulation for fecal and urinary incontinence: functional results in 57 consecutive patients from a single institution. Dis Colon Rectum 55:1278–1283

    PubMed  Article  Google Scholar 

  6. Thomas GP, Dudding TC, Rahbour G, Nicholls RJ, Vaizey CJ (2013) Sacral nerve stimulation for constipation. Br J Surg 100:174–181

    CAS  PubMed  Article  Google Scholar 

  7. Maeda Y, O’Connell PR, Matzel KE, Laurberg S (2012) Sacral nerve stimulation for fecal incontinence: at a crossroad and future challenges. Dis Colon Rectum 55:621–624

    PubMed  Article  Google Scholar 

  8. Gooneratne ML, Facer P, Knowles CH et al (2008) Normalization of substance P levels in rectal mucosa of patients with faecal incontinence treated successfully by sacral nerve stimulation. Br J Surg 95:477–483

    CAS  PubMed  Article  Google Scholar 

  9. Kenefick NJ, Emmanuel A, Nicholls RJ, Kamm MA (2003) Effect of sacral nerve stimulation on autonomic nerve function. Br J Surg 90:1256–1260

    CAS  PubMed  Article  Google Scholar 

  10. Giani I, Novelli E, Martina S et al (2011) The effect of sacral nerve modulation on cerebral evoked potential latency in fecal incontinence and constipation. Ann Surg 254:90–96

    PubMed  Article  Google Scholar 

  11. Kauff DW, Koch KP, Somerlik KH, Hoffmann KP, Lang H, Kneist W (2013) Evaluation of two-dimensional intraoperative neuromonitoring for predicting urinary and anorectal function after rectal cancer surgery. Int J Colorectal Dis 28:659–664

    CAS  PubMed  Article  Google Scholar 

  12. Kauff DW, Koch KP, Somerlik KH et al (2011) Online signal processing of internal anal sphincter activity during pelvic autonomic nerve stimulation: a new method to improve the reliability of intraoperative neuromonitoring signals. Colorectal Dis 13:1422–1427

    CAS  PubMed  Article  Google Scholar 

  13. Schmidt RA, Senn E, Tanagho EA (1990) Functional evaluation of sacral nerve root integrity. Report of a technique. Urology 35:388–392

    CAS  PubMed  Article  Google Scholar 

  14. Dijkema HE, Weil EHJ, Mijs PT, Janknegt RA (1993) Neuromodulation of sacral nerves for incontinence and voiding dysfunctions. Eur Urol 24:72–76

    CAS  PubMed  Google Scholar 

  15. Goos M, Ruf G, Jargon D et al (2012) CT-guided electrode placement for sacral nerve stimulation in the treatment of faecal incontinence (cSNS). Zentralbl Chir PMID:23250863

  16. Edlund C, Hellström M, Peeker R, Fall M (2000) First Scandinavian experience of electrical sacral nerve stimulation in the treatment of the overactive bladder. Scand J Urol Nephrol 34:366–376

    CAS  PubMed  Article  Google Scholar 

  17. Blok BF, Groen J, Bosch JL, Veltman DJ, Lammertsma AA (2006) Different brain effects during chronic and acute sacral neuromodulation in urge incontinent patients with implanted neurostimulators. BJU Int 98:1238–1243

    PubMed  Article  Google Scholar 

  18. Griffin KM, Pickering M, O’Herlihy C, O’Connell PR, Jones JF (2011) Sacral nerve stimulation increases activation of the primary somatosensory cortex by anal canal stimulation in an experimental model. Br J Surg 98:1160–1169

    CAS  PubMed  Article  Google Scholar 

  19. Matzel KE, Schmidt RA, Tanagho EA (1990) Neuroanatomy of the striated muscular anal continence mechanism. Implications for the use of neurostimulation. Dis Colon Rectum 33:666–673

    CAS  PubMed  Article  Google Scholar 

  20. Fowler CJ, Swinn MJ, Goodwin RJ, Oliver S, Craggs M (2000) Studies of the latency of pelvic floor contraction during peripheral nerve evaluation show that muscle response is reflexly mediated. J Urol 163:881–883

    CAS  PubMed  Article  Google Scholar 

  21. Moszkowicz D, Peschaud F, Bessede T, Benoit G, Alsaid B (2012) Internal anal sphincter parasympathetic-nitrergic and sympathetic-adrenergic innervation: a 3-dimensional morphological and functional analysis. Dis Colon Rectum 55:473–481

    PubMed  Article  Google Scholar 

  22. Hieda K, Cho KH, Arakawa T, Fujimiya M, Murakami G, Matsubara A (2013) Nerves in the intersphincteric space of the human anal canal with special reference to their continuation to the enteric nerve plexus of the rectum. Clin Anat 26:843–854

    Google Scholar 

  23. Kneist W, Kauff DW, Gockel I et al (2012) Total mesorectal excision with intraoperative assessment of internal anal sphincter innervation provides new insights into neurogenic incontinence. J Am Coll Surg 214:306–312

    PubMed  Article  Google Scholar 

  24. Baader B, Herrmann M (2003) Topography of the pelvic autonomic nervous system and its potential impact on surgical intervention in the pelvis. Clin Anat 16:119–130

    CAS  PubMed  Article  Google Scholar 

  25. He JH, Wang Q, Cai QP et al (2010) Quantitative anatomical study of male pelvic autonomic plexus and its clinical potential in rectal resection. Surg Radiol Anat 32:783–790

    CAS  PubMed  Article  Google Scholar 

  26. Maeda Y, Laurberg S (2011) Sacral nerve stimulation: time for critical appraisal. Ann Surg 254:174–175; author reply 175–176

Download references

Acknowledgments

We thank R. Bremm from the Department of Engineering of the University of Applied Sciences, Trier, Germany for his help with data analysis.

Conflict of interest

None.

Author information

Affiliations

Authors

Corresponding author

Correspondence to W. Kneist.

Rights and permissions

Reprints and Permissions

About this article

Verify currency and authenticity via CrossMark

Cite this article

Kneist, W., Kauff, D.W., Schröder, M. et al. Percutaneous nerve evaluation based on electrode placement under control of autonomic innervation. Tech Coloproctol 18, 725–730 (2014). https://doi.org/10.1007/s10151-014-1160-x

Download citation

  • Received:

  • Accepted:

  • Published:

  • Issue Date:

  • DOI: https://doi.org/10.1007/s10151-014-1160-x

Keywords

  • Sacral nerve stimulation
  • Autonomic nerves
  • Electrical stimulation
  • Electromyography
  • Anal sphincter