Abstract
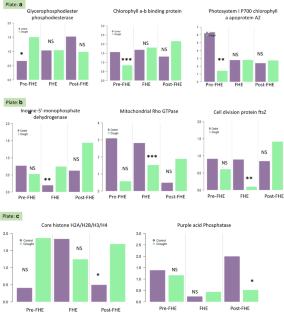
A replicated iTRAQ (isobaric tags for relative and absolute quantification) study on developing wheat heads from two doubled haploid (DH) lines identified from a cross between cv Westonia x cv Kauz characterized the proteome changes influenced by reproductive stage water-stress. All lines were exposed to 10 days of water-stress from early booting (Zadok 40), with sample sets taken from five head developmental stages. Two sample groups (water-stressed and control) account for 120 samples that required 18 eight-plex iTRAQ runs. Based on the IWGSC RefSeq v1 wheat assembly, among the 4592 identified proteins, a total of 132 proteins showed a significant response to water-stress, including the down-regulation of a mitochondrial Rho GTPase, a regulator of intercellular fundamental biological processes (7.5 fold) and cell division protein FtsZ at anthesis (6.0 fold). Up-regulated proteins included inosine-5′-monophosphate dehydrogenase (3.83 fold) and glycerophosphodiester phosphodiesterase (4.05 fold). The Pre-FHE and FHE stages (full head emerged) of head development were differentiated by 391 proteins and 270 proteins differentiated the FHE and Post-FHE stages. Water-stress during meiosis affected seed setting with 27% and 6% reduction in the progeny DH105 and DH299 respectively. Among the 77 proteins that differentiated between the two DH lines, 7 proteins were significantly influenced by water-stress and correlated with the seed set phenotype response of the DH lines to water-stress (e.g. the up-regulation of a subtilisin-like protease in DH 299 relative to DH 105). This study provided unique insights into the biological changes in developing wheat head that occur during water-stress.



Date availability
All data are available through a personal communication.
References
Ahmad P, Abdel Latef AAH, Rasool S, Akram NA, Ashraf M, Gucel S (2016) Role of proteomics in crop stress tolerance. Front Plant Sci 7:7. https://doi.org/10.3389/fpls.2016.01336
Ahuja I, de Vos RCH, Bones AM, Hall RD (2010) Plant molecular stress responses face climate change. Trends Plant Sci 15:664–674. https://doi.org/10.1016/j.tplants.2010.08.002
Akpinar BA, Avsar B, Lucas SJ, Budak H (2012) Plant abiotic stress signaling. Plant Signal Behav 7:1450–1455. https://doi.org/10.4161/psb.21894
Ambrosone A, Costa A, Leone A, Grillo S (2012) Beyond transcription: RNA-binding proteins as emerging regulators of plant response to environmental constraints. Plant Sci 182:12–18. https://doi.org/10.1016/j.plantsci.2011.02.004
Appels R et al (2018) Shifting the limits in wheat research and breeding using a fully annotated reference, Genome Science. 361:eaar7191. https://doi.org/10.1126/science.aar7191
Benjamini Y, Hochberg Y (1995) Controlling the false discovery rate: a practical and powerful approach to multiple testing. J R Stat Soc Ser B Methodol 57:289–300. https://doi.org/10.1111/j.2517-6161.1995.tb02031.x
Budak H, Akpinar BA, Unver T, Turktas M (2013a) Proteome changes in wild and modern wheat leaves upon drought stress by two-dimensional electrophoresis and nanoLC-ESI-MS/MS. Plant Mol Biol 83:89–103. https://doi.org/10.1007/s11103-013-0024-5
Budak H, Kantar M, Yucebilgili Kurtoglu K (2013b) Drought tolerance in modern and wild wheat. Sci World J 2013:548246–548216. https://doi.org/10.1155/2013/548246
Budič M, Sabotič J, Meglič V, Kos J, Kidrič M (2013) Characterization of two novel subtilases from common bean (Phaseolus vulgaris L.) and their responses to drought. Plant Physiol Biochem 62:79–87. https://doi.org/10.1016/j.plaphy.2012.10.022
Casey TM, Khan JM, Bringans SD, Koudelka T, Takle PS, Downs RA, Livk A, Syme RA, Tan KC, Lipscombe RJ (2017) Analysis of reproducibility of proteome coverage and quantitation using isobaric mass tags (iTRAQ and TMT). J Proteome Res 16:384–392. https://doi.org/10.1021/acs.jproteome.5b01154
Che P, Bussell JD, Zhou W, Estavillo GM, Pogson BJ, Smith SM (2010) Signaling from the endoplasmic reticulum activates brassinosteroid signaling and promotes acclimation to stress in Arabidopsis. Sci Signal 3:ra69. https://doi.org/10.1126/scisignal.2001140
Cho EK, Hong CB (2006) Over-expression of tobacco NtHSP70-1 contributes to drought-stress tolerance in plants. Plant Cell Rep 25:349–358. https://doi.org/10.1007/s00299-005-0093-2
Da Fonseca-Pereira P, Daloso DM, Gago J, Nunes-Nesi A, Araújo WL (2019) On the role of the plant mitochondrial thioredoxin system during abiotic stress. Plant Signal Behav 14:1592536. https://doi.org/10.1080/15592324.2019.1592536
Debono A, Yeats TH, Rose JKC, Bird D, Jetter R, Kunst L, Samuels L (2009) Arabidopsis LTPG is a glycosylphosphatidylinositol-anchored lipid transfer protein required for export of lipids to the plant surface. Plant Cell 21:1230–1238. https://doi.org/10.1105/tpc.108.064451
Dudziak K, Zapalska M, Börner A, Szczerba H, Kowalczyk K, Nowak M (2019) Analysis of wheat gene expression related to the oxidative stress response and signal transduction under short-term osmotic stress. Sci Rep 9:2743. https://doi.org/10.1038/s41598-019-39154-w
Duncan O, Trösch J, Fenske R, Taylor NL, Millar AH (2017) Resource: Mapping the Triticum aestivum proteome. Plant J 89:601–616. https://doi.org/10.1111/tpj.13402
Edqvist J, Blomqvist K, Nieuwland J, Salminen TA (2018) Plant lipid transfer proteins: are we finally closing in on the roles of these enigmatic proteins? J Lipid Res 59:1374–1382. https://doi.org/10.1194/jlr.R083139
Ergen NZ, Budak H (2009) Sequencing over 13000 expressed sequence tags from six subtractive cDNA libraries of wild and modern wheats following slow drought stress plant. Cell & Environ 32:220–236. https://doi.org/10.1111/j.1365-3040.2008.01915.x
Ergen NZ, Thimmapuram J, Bohnert HJ, Budak H (2009) Transcriptome pathways unique to dehydration tolerant relatives of modern wheat. Funct Integr Genom 9:377–396. https://doi.org/10.1007/s10142-009-0123-1
Ferreyra MLF, Pezza A, Biarc J, Burlingame AL, Casati P (2010) Plant L10 ribosomal proteins have different roles during development and translation under ultraviolet-B. Stress Plant Physiol 153:1878. https://doi.org/10.1104/pp.110.157057
Figueiredo J, Sousa Silva M, Figueiredo A (2018) Subtilisin-like proteases in plant defence: the past, the present and beyond. Mol Plant Pathol 19:1017–1028. https://doi.org/10.1111/mpp.12567
Finkina EI, Melnikova DN, Bogdanov IV, Ovchinnikova TV (2016) Lipid transfer proteins as components of the plant innate immune system: structure. Funct Appl Acta Nat 8:47–61
Ford K, Cassin A, Bacic A (2011) Quantitative proteomic analysis of wheat cultivars with differing drought stress tolerance. Front Plant Sci 2:44. https://doi.org/10.3389/fpls.2011.00044
Gálvez S et al (2019) Hotspots in the genomic architecture of field drought responses in wheat as breeding targets. Funct Integr Genom 19:295–309. https://doi.org/10.1007/s10142-018-0639-3
Gómez-Zambrano Á, Merini W, Calonje M (2019) The repressive role of Arabidopsis H2A.Z in transcriptional regulation depends on AtBMI1 activity. Nat Commun 10:2828. https://doi.org/10.1038/s41467-019-10773-1
Hayashi S et al (2008) The glycerophosphoryl diester phosphodiesterase-like proteins SHV3 and its homologs play important roles in cell wall organization. Plant Cell Physiol 49:1522–1535. https://doi.org/10.1093/pcp/pcn120
Ingram J (2011) A food systems approach to researching food security and its interactions with global environmental change. Food Security 3:417–431. https://doi.org/10.1007/s12571-011-0149-9
Izanloo A, Condon AG, Langridge P, Tester M, Schnurbusch T (2008) Different mechanisms of adaptation to cyclic water stress in two South Australian bread wheat cultivars. J Exp Bot 59:3327–3346. https://doi.org/10.1093/jxb/ern199
Ji X et al (2010) Importance of pre-anthesis anther sink strength for maintenance of grain number during reproductive stage water stress in wheat plant. Cell Environ 33:926–942. https://doi.org/10.1111/j.1365-3040.2010.02130.x
Juhász A et al (2018) Genome mapping of seed-borne allergens and immunoresponsive proteins in wheat science advances 4:eaar8602. https://doi.org/10.1126/sciadv.aar8602
Kader J-C (1996) Lipid-transfer proteins in plants. Annu Rev Plant Physiol Plant Mol Biol 47:627–654. https://doi.org/10.1146/annurev.arplant.47.1.627
Kantar M, Lucas SJ, Budak H (2011) Chapter 13 - drought stress: molecular genetics and genomics approaches. In: Turkan I (ed) advances in botanical research, vol 57. Academic Press, pp 445-493. https://doi.org/10.1016/B978-0-12-387692-8.00013-8
Kappachery S, Baniekal-Hiremath G, Yu JW et al (2015) Effect of over-and under-expression of glyceraldehyde 3-phosphate dehydrogenase on tolerance of plants to water-deficit stress. Plant Cell Tissue Organ Cult 121:97–107. https://doi.org/10.1007/s11240-014-0684-0
Karp NA, Huber W, Sadowski PG, Charles PD, Hester SV, Lilley KS (2010) Addressing accuracy and precision issues in iTRAQ quantitation. Mol Cell Proteomics 9:1885–1897. https://doi.org/10.1074/mcp.M900628-MCP200
Mayer MP, Bukau B (2005) Hsp70 chaperones: cellular functions and molecular mechanism. Cell Mol Life Sci 62:670. https://doi.org/10.1007/s00018-004-4464-6
Mittler R (2002) Oxidative stress, antioxidants and stress tolerance. Trends Plant Sci 7:405–410. https://doi.org/10.1016/S1360-1385(02)02312-9
Nakaminami K, Matsui A, Shinozaki K, Seki M (2012) RNA regulation in plant abiotic stress responses. Biochim Biophys Acta (BBA) - Gene Regul Mech 1819:149–153. https://doi.org/10.1016/j.bbagrm.2011.07.015
Powell N, Ji X, Ravash R, Edlington J, Dolferus R (2012) Yield stability for cereals in a changing climate. Funct Plant Biol 39:539–552. https://doi.org/10.1071/FP12078
Reddy AR, Chaitanya KV, Vivekanandan M (2004) Drought-induced responses of photosynthesis and antioxidant metabolism in higher plants. J Plant Physiol 161:1189–1202. https://doi.org/10.1016/j.jplph.2004.01.013
Rorat T (2006) Plant dehydrins — tissue location, structure and function. Cell Mol Biol Lett 11:536–556. https://doi.org/10.2478/s11658-006-0044-0
Saltzmann KD, Giovanini MP, Ohm HW, Williams CE (2010) Transcript profiles of two wheat lipid transfer protein-encoding genes are altered during attack by Hessian fly larvae. Plant Physiol Biochem 48:54–61. https://doi.org/10.1016/j.plaphy.2009.10.004
Senapati N, Stratonovitch P, Paul MJ, Semenov MA (2018) Drought tolerance during reproductive development is important for increasing wheat yield potential under climate change in Europe. J Exp Bot 70:2549–2560. https://doi.org/10.1093/jxb/ery226
Sewelam N, Kazan K, Schenk PM (2016) Global plant stress signaling: reactive oxygen species at the cross-road. Front Plant Sci 7:187–187. https://doi.org/10.3389/fpls.2016.00187
Shan Z, Luo X, Wei M, Huang T, Khan A, Zhu Y (2018) Physiological and proteomic analysis on long-term drought resistance of cassava (Manihot esculenta Crantz). Sci Rep 8:17982. https://doi.org/10.1038/s41598-018-35711-x
Shilov IV, Seymour SL, Patel AA, Loboda A, Tang WH, Keating SP, Hunter CL, Nuwaysir LM, Schaeffer DA (2007) The paragon algorithm, a next generation search engine that uses sequence temperature values and feature probabilities to identify peptides from tandem mass spectra molecular &amp. Cell Proteom 6:1638–1655. https://doi.org/10.1074/mcp.T600050-MCP200
Smyth GK (2005) Limma: linear models for microarray data. In: Gentleman R, Carey VJ, Huber W, Irizarry RA, Dudoit S (eds) Bioinformatics and computational biology solutions using R and bioconductor. Springer New York, New York, pp 397–420. https://doi.org/10.1007/0-387-29362-0_23
Stone SL (2014) The role of ubiquitin and the 26S proteasome in plant abiotic stress signaling, Frontiers in Plant Science. 5. https://doi.org/10.3389/fpls.2014.00135
Suzuki N, Miller G, Morales J, Shulaev V, Torres MA, Mittler R (2011) Respiratory burst oxidases: the engines of ROS signaling. Curr Opin Plant Biol 14:691–699. https://doi.org/10.1016/j.pbi.2011.07.014
Takáč T, Pechan T, Šamaj J (2011) Differential proteomics of plant development. J Proteome 74:577–588. https://doi.org/10.1016/j.jprot.2011.02.002
Tang BL (2015) MIRO GTPases in mitochondrial transport. Homeostasis Pathol Cells 5:1. https://doi.org/10.3390/cells5010001
Torres MA, Jones JDG, Dangl JL (2006) Reactive oxygen species signaling in response to pathogens. Plant Physiol 141:373–378. https://doi.org/10.1104/pp.106.079467
Vaseva II, Grigorova BS, Simova-Stoilova LP, Demirevska KN, Feller U (2010) Abscisic acid and late embryogenesis abundant protein profile changes in winter wheat under progressive drought stress. Plant Biol 12:698–707. https://doi.org/10.1111/j.1438-8677.2009.00269.x
Wang M, You J (2012) Mass spectrometry for protein quantification in biomarker discovery. In: Kaufmann M, Klinger C (eds) Functional genomics: methods and protocols. Springer New York, New York, pp 199–225. https://doi.org/10.1007/978-1-61779-424-7_16
Webster H (2014) Genetic factors and genes underpinning drought response in wheat. PhD thesis School of Veterinary and Life Sciences, Murdoch University, WA-6150, Australia http://researchrepository.murdoch.edu.au/id/eprint/23256
Webster H, Keeble G, Dell B, Fosu-Nyarko J, Mukai Y, Moolhuijzen P, Bellgard M, Jia J, Kong X, Feuillet C, Choulet F, International Wheat Genome Sequencing Consortium, Appels R (2012) Genome-level identification of cell wall invertase genes in wheat for the study of drought tolerance. Funct Plant Biol 39:569–579
Witte C-P, Herde M (2020) Nucleotide metabolism in plants. Plant Physiol 182:63–78. https://doi.org/10.1104/pp.19.00955
Xie H, Yang D-H, Yao H, Bai G, Zhang Y-H, Xiao B-G (2016) iTRAQ-based quantitative proteomic analysis reveals proteomic changes in leaves of cultivated tobacco (Nicotiana tabacum) in response to drought stress. Biochem Biophys Res Commun 469:768–775. https://doi.org/10.1016/j.bbrc.2015.11.133
Xu Y-H et al (2011) Light-harvesting chlorophyll a/b-binding proteins are required for stomatal response to abscisic acid in Arabidopsis. J Exp Bot 63:1095–1106. https://doi.org/10.1093/jxb/err315
Zhang J et al (2008) The genome structure of the 1-FEH genes in wheat (Triticum aestivum L.): new markers to track stem carbohydrates and grain filling QTLs in breeding. Mol Breed 22:339–351. https://doi.org/10.1007/s11032-008-9179-1
Zhang J, Dell B, Conocono E, Waters I, Setter T, Appels R (2009) Water deficits in wheat: fructan exohydrolase (1-FEH) mRNA expression and relationship to soluble carbohydrate concentrations in two varieties. New Phytol 181:843–850. https://doi.org/10.1111/j.1469-8137.2008.02713.x
Zhu J-K (2002) Salt and drought stress signal transduction in plants. Annu Rev Plant Biol 53:247–273. https://doi.org/10.1146/annurev.arplant.53.091401.143329
Funding
This work was supported by the Australia China Centre for Wheat Improvement (ACCWI), Murdoch University, through the Australian Government, Department of Industry, Innovation, Climate Change, Science, Research, and Tertiary Education, Australia China Science and Research Fund Group Mission (Funding Agreement ACSRF00542).
Author information
Authors and Affiliations
Corresponding author
Ethics declarations
Conflict of interest
The authors declare that they have no conflict of interest.
Additional information
Publisher’s note
Springer Nature remains neutral with regard to jurisdictional claims in published maps and institutional affiliations.
Electronic supplementary material
ESM 1
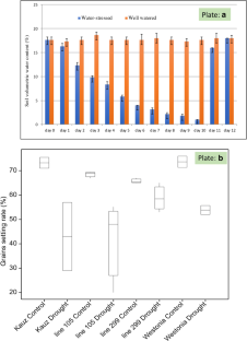
Leaf turgor (LT) of the flag leaf was measured to identify tissue hydration as the indication level of water-stress. (DOCX 12 kb)
Supplementary Fig. 1
Sampling stages; developmental stages of wheat heads. (PNG 6537 kb)
Supplementary Fig. 2
Design and sample details of the iTRAQ experiment. (PNG 6537 kb)
Supplementary Fig. 3
Leaf turgor pressure comparison between water-stressed and well-watered plants. (PNG 6537 kb)
Supplementary Fig. 4
Functional categorisation of the identified proteins by iTRAQ analysis in the wheat developing heads. Gene Ontology (GO) annotation was carried out through Biomart (Plants Ensemble) software, the two unrelated ontologies: biological process and molecular function were analysed. (PNG 6637 kb)
Supplementary Fig. 5a
KEGG pathway analysis (Plate A) and protein network analysis (Plate B) of cell division protein ftsZ. (PNG 6537 kb)
Supplementary Fig. 5b
(PNG 6537 kb)
Supplementary Fig. 6
Functional categorisation of the differentially expressed proteins between Pre-FHE and FHE stages in the wheat developing heads as identified by iTRAQ analysis. Gene Ontology (GO) annotation was carried out through Biomart (Plants Ensemble) software, the two unrelated ontologies: biological process and molecular function were analysed. (PNG 6637 kb)
Supplementary Fig. 7
Functional categorisation of the differentially expressed proteins between FHE and Post-FHE stages in the wheat developing heads as identified by iTRAQ analysis. Gene Ontology (GO) annotation was carried out through Biomart (Plants Ensemble) software, the two unrelated ontologies: biological process and molecular function were analysed. (PNG 6637 kb)
Supplementary Fig. 8
Functional categorisation of the differentially expressed proteins between Pre-FHE and Post-FHE stages in the wheat developing heads as identified by iTRAQ analysis. Gene Ontology (GO) annotation was carried out through Biomart (Plants Ensemble) software, the two unrelated ontologies: biological process and molecular function were analysed. (PNG 6637 kb)
Supplementary Fig. 9
Neighbour-joining tree based on protein profiles of the studied genotypes that infer the relationship between them. (PNG 6537 kb)
Supplementary Fig. 10
Protein network analysis of Subtilisin-like protease using String software. (PNG 6537 kb)
Supplementary Table 1
List of the differentially expressed proteins at Pre-FHE stage due to drought (DOCX 20 kb)
Supplementary Table 2
List of the differentially expressed proteins at FHE stage due to drought treatment. (DOCX 25 kb)
Supplementary Table 3
List of the differentially expressed proteins at Post-FHE stage due to drought treatment. (DOCX 19 kb)
Supplementary Table 4
List of the differentially expressed proteins between FHE and Pre-FHE. (DOCX 42 kb)
Supplementary Table 5
List of the differentially expressed proteins between FHE and Post-FHE. (XLSX 29 kb)
Supplementary Table 6
List of the differentially expressed proteins between Pre-FHE and Post-FHE. (XLSX 28 kb)
Supplementary Table 7
List of the proteins differentially expressed between DH 105 and DH 299. (XLSX 16 kb)
Rights and permissions
About this article
Cite this article
Islam, S., Wang, P., Vincent, D. et al. Proteomic profiling of developing wheat heads under water-stress. Funct Integr Genomics 20, 695–710 (2020). https://doi.org/10.1007/s10142-020-00746-9
Received:
Revised:
Accepted:
Published:
Issue Date:
DOI: https://doi.org/10.1007/s10142-020-00746-9