Skip to main content

Chitin and Chitosan: Functional Biopolymers from Marine Crustaceans

Abstract

Chitin and chitosan, typical marine polysaccharides as well as abundant biomass resources, are attracting a great deal of attention because of their distinctive biological and physicochemical characteristics. To fully explore the high potential of these specialty biopolymers, basic and application researches are being made extensively. This review deals with the fundamental aspects of chitin and chitosan such as the preparation of chitin and chitosan, crystallography, extent of N-acetylation, and some properties. Recent progress of their chemistry is then discussed, focusing on elemental modification reactions including acylation, alkylation, Schiff base formation and reductive alkylation, carboxyalkylation, phthaloylation, silylation, tosylation, quaternary salt formation, and sulfation and thiolation.

This is a preview of subscription content, access via your institution.

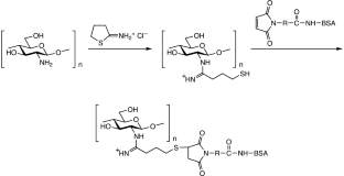
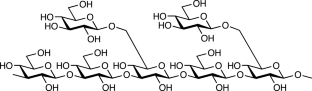
Scheme 1
Scheme 2
Scheme 3
Scheme 4
Scheme 5
Scheme 6
Scheme 7
Scheme 8
Scheme 9
Scheme 10
Scheme 11
Scheme 12
Scheme 13
Scheme 14
Scheme 15
Scheme 16
Scheme 17
Scheme 18
Scheme 19
Scheme 20
Scheme 21
Scheme 22
Scheme 23
Scheme 24
Scheme 25
Scheme 26
Scheme 27
Scheme 28
Scheme 29

References

  • CR Allan LE Hadwiger (1979) ArticleTitleThe fungicidal effect of chitosan on fungi of varying cell wall composition Exp Mycol 3 285–287

    Google Scholar 

  • R Auzély-Velty M Rinaudo (2001) ArticleTitleChitosan derivatives bearing pendant cyclodextrin cavities: synthesis and inclusion performance Macromolecules 34 3574–3580

    Google Scholar 

  • R Auzély-Velty M Rinaudo (2002) ArticleTitleNew supramolecular assemblies of a cyclodextrin-grafted chitosan through specific complexation Macromolecules 35 7955–7962

    Google Scholar 

  • Baba Y, Hirakawa H (1992) Selective adsorption of palladium(II), platinum(IV), and mercury(II) on a new chitosan derivative possessing pyridyl group. Chem Lett 1905–1908

  • Y Baba N Matsumura K Shiomori Y Kawano (1998) ArticleTitleSelective adsorption of mercury(II) on chitosan derivatives from hydrochloric acid Anal Sci 14 687–690

    Google Scholar 

  • MEI Badawy EI Rabea TM Rogge CV Stevens G Smagghe W Steurbaut M Höfte (2004) ArticleTitleSynthesis and fungicidal activity of new N,O-acyl chitosan derivatives Biomacromolecules 5 589–595

    Google Scholar 

  • MF Bade (1997) Structure and isolation of native animal chitins MFA Goosen (Eds) Applications of Chitin and Chitosan Technomic Publishing Lancaster, PA 255–277

    Google Scholar 

  • G Biagini A Bertani RAA Muzarelli A Damadei G Benedetto ParticleDi A Belligolli G Riccoti C Zucchini C Rizzoli (1991) ArticleTitleWound management with N-carboxybutyl chitosan Biomaterials 12 281–286

    Google Scholar 

  • J Blackwell (1969) ArticleTitleStructure of β-chitin or parallel chain systems of poly-β-(1→4)-N-acetyl-D-glucosamine Biopolymers 7 281–298

    Google Scholar 

  • J Blackwell KH Gardner FJ Kolpak R Minke WB Classey (1980) ArticleTitleRefinement of cellulose and chitin structures ACS Symp Ser 141 315–334 Occurrence Handle10.1021/bk-1980-0141.ch019

    Article  Google Scholar 

  • I Boucher K Jamieson A Retnakaran (Eds) (2004) Advances in Chitin Science, Vol. 7 9th ICCC Montreal

    Google Scholar 

  • S Danielsen KM Vårum B Stokke (2004) ArticleTitleStructural analysis of chitosan mediated DNA condensation by AFM: influence of chitosan molecular parameters Biomacromolecules 5 928–936

    Google Scholar 

  • Z Degim N Celebi H Sayan A Babul D Erdogan G Take (2002) ArticleTitleAn investigation on skin wound healing in mice with a taurine-chitosan gel formulation Amino Acids 22 187–198

    Google Scholar 

  • A Domard N Cartier (1989) ArticleTitleGlucosamine oligomers. 1. Preparation and characterization Int J Biol Macromol 11 297–302

    Google Scholar 

  • A Domard M Rinaudo (1983) ArticleTitlePreparation and characterization of fully deacetylated chitosan Int J Biol Macromol 5 49–52

    Google Scholar 

  • A Domard M Rinaudo C Terrassin (1986) ArticleTitleNew method for the quaternisation of chitosan Int J Biol Macromol 8 105–107

    Google Scholar 

  • O Etienne A Schneider C Taddei L Richert P Schaaf JC Voegel C Egles C Picart (2005) ArticleTitleDegradability of polysaccharides multilayer films on the oral environment: an in vivo and in vitro study Biomacromolecules 6 726–733

    Google Scholar 

  • D Freepons (1997) Enhancing food production with chitosan seed-coating technology MFA Goosen (Eds) Applications of Chitin and Chitosan Technomic Publishing Lancaster, PA 129–139

    Google Scholar 

  • S Fujii H Kumagai M Noda (1980) ArticleTitlePreparation of poly(acyl) chitosans Carbohydr Res 83 389–393

    Google Scholar 

  • F Gaill J Persson J Sugiyama R Vuong H Chanzy (1992) ArticleTitleThe chitin system in the tubes of deep-sea hydrothermal vent worms J Struct Biol 109 116–128

    Google Scholar 

  • KH Gardner J Blackwell (1975) ArticleTitleRefinement of the structure or β-chitin Biopolymers 14 1581–1595

    Google Scholar 

  • MFA Goosen (Eds) (1997) Applications of Chitin and Chitosan Technomic Publishing Lancaster, PA

    Google Scholar 

  • LA Hadwiger B Fristensky RC Riggleman (1984) Chitosan, a natural regulator in plant-fungal pathogen interactions, increases crop yields JP Zikakis (Eds) Chitin, Chitosan, and Related Enzymes Academic Press Orlando, FL 291–302

    Google Scholar 

  • Hall LD, Holme KR (1986) Tailored-rheology: chitosan derivatives with branched pendant sugar chains. J Chem Soc Chem Commun 217–218

  • Hall LD, Yalpani M (1980) Formation of branched-chain, soluble polysaccharides from chitosan. J Chem Soc Chem Commun 1153–1154

  • RE Harmon KK De SK Gupta (1973) ArticleTitleNew procedure for preparing trimethylsilyl derivatives of polysaccharides Carbohydr Res 31 407–409

    Google Scholar 

  • A Hirai H Odani A Nakajima (1991) ArticleTitleDetermination of degree of deacetylation of chitosan by 1HNMR spectroscopy Polym Bull 26 87–94

    Google Scholar 

  • S Hirano (1978) ArticleTitle N-Acyl- and N-arylidene-chitosan gels Agric Biol Chem 42 1939–1940

    Google Scholar 

  • S Hirano Y Ohe (1975) ArticleTitleSelective N-acylation of chitosan Agric Biol Chem 39 1337–1338

    Google Scholar 

  • S Hirano Y Kondo K Fujii (1985) ArticleTitlePreparation of acetylation derivatives of modified chito-oligosaccharides by the depolymerisation of partially N-acetylated chitosan with nitrous acid Carbohydr Res 144 338–341

    Google Scholar 

  • S Hirano T Yamamoto M Hayashi T Nishida H Inui (1990) ArticleTitleChitinase activity in seeds coated with chitosan derivatives Agric Biol Chem 54 2719–2720

    Google Scholar 

  • K Hojo M Maeda Y Mu H Kamada Y Tsutsumi Y Nishiyama T Yoshikawa K Kurita LH Block T Mayumi K Kawasaki (2000) ArticleTitleFacile synthesis of a chitosan hybrid of a laminin-related peptide and its antimetastatic effect in mice J Pharm Pharmacol 52 67–73

    Google Scholar 

  • J Holappa T Nevalainen J Savolainen P Soininen M Elomaa R Safin S Suvanto T Pakkanen M Másson T Loftsson T Järvinen (2004) ArticleTitleSynthesis and characterization of chitosan N-betainates having various degrees of substitution Macromolecules 37 2784–2789

    Google Scholar 

  • KR Holme LD Hall (1991a) ArticleTitleNovel metal chelating chitosan derivative: attachment of iminodiacetate moieties via a hydrophilic spacer group Can J Chem 69 585–589

    Google Scholar 

  • KR Holme LD Hall (1991b) ArticleTitleChitosan derivatives bearing C10-alkyl glycoside branches: a temperature-induced gelling polysaccharide Macromolecules 24 3828–3833

    Google Scholar 

  • KR Holme LD Hall (1992) ArticleTitlePreparation and characterization of N-[2-(glycosyloxy)-ethyl]chitosan derivatives Carbohydr Res 225 291–306

    Google Scholar 

  • KR Holme LD Hall RA Speers MA Tung (1992) ArticleTitleSolution interactions and rheology of N-[2-(glycosyloxy)-ethyl]chitosan derivatives Carbohydr Res 225 307–320

    Google Scholar 

  • Y Hu X Jiang Y Ding H Ge Y Yuan C Yang (2002) ArticleTitleSynthesis and characterization of chitosan-poly(acrylic acid) nanoparticles Biomaterials 23 3193–3201

    Google Scholar 

  • M Iwasaki S Yamane T Majima Y Kasahara A Minami K Harada S Nonaka N Maekawa H Tamura S Tokura M Shiono K Monde S Nishimura (2004) ArticleTitleFeasibility of polysaccharide hybrid materials for scaffolds in cartilage tissue engineering: evaluation of chondrocyte adhesion to polyion complex fibers prepared from alginate and chitosan Biomacromolecules 5 828–833

    Google Scholar 

  • M Izume A Ohtakara (1987) ArticleTitlePreparation of D-glucosamine oligosaccharides by the enzymatic hydrolysis of chitosan Agric Biol Chem 51 1189–1191

    Google Scholar 

  • BibInstitutionalEditorNameJapanese Society for Chitin and Chitosan (Eds) (1988) Kichin Kitosan (Chitin and Chitosan) Gihodo Shuppan Tokyo

    Google Scholar 

  • BibInstitutionalEditorNameJapanese Society for Chitin and Chitosan (Eds) (1990) Kichin Kitosan no Ouyou (Applications of Chitin and Chitosan) Gihodo Shuppan Tokyo

    Google Scholar 

  • BibInstitutionalEditorNameJapanese Society for Chitin and Chitosan (Eds) (1991) Kichin Kitosan Jikken Manyuaru (Experimental Manuals for Chitin and Chitosan) Gihodo Shuppan Tokyo

    Google Scholar 

  • BibInstitutionalEditorNameJapanese Society for Chitin and Chitosan (Eds) (1995) Kichin Kitosan Handobukku (Chitin and Chitosan Handbook) Gihodo Shuppan Tokyo

    Google Scholar 

  • K Köpping-Höggård YS Mel'nikova KM Vårum B Lindman P Artursson (2003) ArticleTitleRelationship between the physical shape and the efficiency of oligomeric chitosan as a gene delivery system in vitro and in vivo J Gene Med 5 130–141

    Google Scholar 

  • K Kurita (1994) Facile chemical modifications of chitin utilizing soluble precursors JC Alexander J Menon (Eds) Trends in Macromolecules Research, Vol. 1 Research Trends Trivandrum 109–120

    Google Scholar 

  • K Kurita (1996) Chitin and chitosan, graft copolymers JC Salamone (Eds) Polymeric Materials Encyclopedia CRC Press Boca Raton, FL 1205–1208

    Google Scholar 

  • K Kurita (1997a) Chitin and chitosan derivatives R Arshady (Eds) Desk Reference of Functional Polymers: Syntheses and Applications American Chemical Society Washington, D.C. 239–259

    Google Scholar 

  • K Kurita (1997b) Soluble precursors for efficient chemical modifications MFA Goosen (Eds) Applications of Chitin and Chitosan Technomic Publishing Lancaster, PA 103–112

    Google Scholar 

  • K Kurita (1997c) β-Chitin and the reactivity characteristics MFA Goosen (Eds) Applications of Chitin and Chitosan Technomic Publishing Lancaster, PA 79–87

    Google Scholar 

  • K Kurita (1997d) Preparation of squid β-chitin RAA Muzzarelli MG Peter (Eds) Chitin Handbook Atec Edizioni Grottammare 491–493

    Google Scholar 

  • K Kurita (2001) ArticleTitleControlled functionalization of the polysaccharide chitin Prog Polym Sci 26 1921–1971

    Google Scholar 

  • K Kurita T Sannan Y Iwakura (1977) ArticleTitlePreparation of pure chitin, poly(N-acetyl-d-glucosamine), from the water-soluble chitin Makromol Chem 178 2595–2602

    Google Scholar 

  • K Kurita T Sannan Y Iwakura (1979) ArticleTitleStudies on chitin. VI. Binding of metal cations J Appl Polym Sci 23 511–515

    Google Scholar 

  • K Kurita H Ichikawa S Ishizeki H Fujisaki Y Iwakura (1982) ArticleTitleModification reaction of chitin in highly swollen state with aromatic cyclic carboxylic acid anhydrides Makromol Chem 183 1161–1169

    Google Scholar 

  • K Kurita M Ishiguro T Kitajima (1988a) ArticleTitleStudies on chitin. 17. Introduction of long alkylidene groups and the influence on the properties Int J Biol Macromol 10 124–125

    Google Scholar 

  • K Kurita A Yoshida Y Koyama (1988b) ArticleTitleNew polysaccharide/polypeptide hybrid materials based on chitin and poly(γ-methyl L-glutamate) Macromolecules 21 1579–1583

    Google Scholar 

  • K Kurita S Inoue Y Koyama S Nishimura (1990) ArticleTitle(Diethylamino)ethyl)chitins: preparation and properties of novel aminated chitin derivatives Macromolecules 23 2865–2869

    Google Scholar 

  • K Kurita S Inoue S Nishimura (1991a) ArticleTitlePreparation of soluble chitin derivatives as reactive precursors for controlled modifications: tosyl- and iodo-chitins J Polym Sci Pt A Polym Chem 29 937–939

    Google Scholar 

  • K Kurita M Kamiya S Nishimura (1991b) ArticleTitleSolubilization of a rigid polysaccharide: controlled partial N-acetylation of chitosan to develop solubility Carbohydr Polym 16 83–92

    Google Scholar 

  • K Kurita H Yoshino K Yokota M Ando S Inoue S Ishii S Nishimura (1992) ArticleTitlePreparation of tosylchitins as precursors for facile chemical modifications of chitin Macromolecules 25 3786–3790

    Google Scholar 

  • K Kurita K Tomita T Tada S Ishii S Nishimura K Shimoda (1993a) ArticleTitleSquid chitin as a potential alternative chitin source: deacetylation behavior and characteristic properties J Polym Sci Pt A Polym Chem 31 485–491

    Google Scholar 

  • K Kurita K Tomita S Ishii S Nishimura K Shimoda (1993b) ArticleTitleβ-Chitin as a convenient starting material for acetolysis for efficient preparation of N-acetylchitooligosaccharides J Polym Sci Pt A Polym Chem 31 2393–2395

    Google Scholar 

  • K Kurita H Yoshino S Nishimura S Ishii (1993c) ArticleTitlePreparation and biodegradability of chitin derivatives having mercapto groups Carbohydr Polym 20 239–245

    Google Scholar 

  • K Kurita S Ishii K Tomita S Nishimura K Shimoda (1994) ArticleTitleReactivity characteristics of squid β-chitin as compared with those of shrimp chitin: high potentials of squid chitin as a starting material for facile chemical modifications J Polym Sci Pt A Polym Chem 32 1027–1032

    Google Scholar 

  • K Kurita S Hashimoto H Yoshino S Ishii S Nishimura (1996) ArticleTitlePreparation of chitin/polystyrene hybrid materials by efficient graft copolymerization based on mercaptochitin Macromolecules 29 1939–1942

    Google Scholar 

  • K Kurita H Akao M Kobayashi T Mori Y Nishiyama (1997a) ArticleTitleRegioselective introduction of β-galactoside branches into chitosan and chitin Polym Bull 39 543–549

    Google Scholar 

  • K Kurita H Yoshino S Nishimura S Ishii T Mori Y Nishiyama (1997b) ArticleTitleMercapto-chitins: a new type of supports for effective immobilization of acid phosphatase Carbohydr Polym 32 171–175

    Google Scholar 

  • K Kurita K Shimada Y Nishiyama M Shimojoh S Nishimura (1998) ArticleTitleNonnatural branched polysaccharides: synthesis and properties of chitin and chitosan having α-mannoside branches Macromolecules 31 4764–4769

    Google Scholar 

  • Kurita K, Hirakawa M, Nishiyama Y (1999) Silylated chitin: a new precursor for facile modifications and film casting. Chem Lett 771–772

    Google Scholar 

  • K Kurita T Kojima Y Nishiyama M Shimojoh (2000a) ArticleTitleSynthesis and some properties of nonnatural amino polysaccharides: branched chitin and chitosan Macromolecules 33 4711–4716

    Google Scholar 

  • K Kurita M Uno Y Saito Y Nishiyama (2000b) ArticleTitleRegioselectivity in protection of chitosan with the phthaloyl group Chitin Chitosan Res 6 43–50

    Google Scholar 

  • K Kurita H Ikeda Y Yoshida M Shimojoh M Harata (2002a) ArticleTitleChemoselective protection of the amino groups of chitosan by controlled phthaloylation: facile preparation of a precursor useful for chemical modifications Biomacromolecules 3 1–4

    Google Scholar 

  • K Kurita S Mori Y Nishiyama M Harata (2002b) ArticleTitle N-Alkylation of chitin and some characteristics of the novel derivatives Polym Bull 48 159–166

    Google Scholar 

  • K Kurita H Akao J Yang M Shimojoh (2003) ArticleTitleNonnatural branched polysaccharides: synthesis and properties of chitin and chitosan having disaccharide maltose branches Biomacromolecules 4 1264–1268

    Google Scholar 

  • K Kurita M Hirakawa S Kikuchi H Yamanaka J Yang (2004) ArticleTitleTrimethylsilylation of chitosan and some properties of the product Carbohydr Polym 56 333–337

    Google Scholar 

  • K Kurita K Sugita N Kodaira M Hirakawa J Yang (2005) ArticleTitlePreparation and evaluation of trimethylsilylated chitin as a versatile precursor for facile chemical modifications Biomacromolecules 6 1414–1418

    Google Scholar 

  • G Lamarque C Viton A Domard (2004) ArticleTitleComparative study of the first heterogeneous deacetylation of α- and β-chitins in a multistep process Biomacromolecules 5 992–1001

    Google Scholar 

  • G Lamarque M Cretenet C Viton A Domard (2005) ArticleTitleNew route of deacetylation of α- and β-chitins by means of freeze-pump out-thaw cycles Biomacromolecules 6 1380–1388

    Google Scholar 

  • G Lang G Maresch S Birkel (1997a) Hydroxyalkyl chitosans RAA Muzzarelli MG Peter (Eds) Chitin Handbook Atec Edizioni Grottammare 61–66

    Google Scholar 

  • G Lang H Wendel S Birkel (1997b) Quaternary chitosan salts RAA Muzzarelli MG Peter (Eds) Chitin Handbook Atec Edizioni Grottammare 67–70

    Google Scholar 

  • T Lecourt P Sinaÿ C Chassenieux M Rinaudo R Auzély-Velty (2004) ArticleTitleComplexation between a hydrophobically modified chitosan and cyclodextrin homodimers singly or doubly connected through their primary sides: effects of their molecular architecture on the polymer properties in solution Macromolecules 37 4635–4642

    Google Scholar 

  • J Li JF Revol RH Marchessault (1997) ArticleTitleEffect of degree of deacetylation of chitin on the properties of chitin crystallites J Appl Polym Sci 65 373–380

    Google Scholar 

  • S Lim S Hudson (2003) ArticleTitleReview of chitosan and its derivatives as antimicrobial agents and their uses as textile chemicals J Macromol Sci Rev 43 223–269

    Google Scholar 

  • G Maresch T Clausen G Lang (1989) Hydroxypropylation of chitosan G Skjak-Bræk T Anthonsen P Sandford (Eds) Chitin and Chitosan Elsevier Essex 389–395

    Google Scholar 

  • T Masuko A Minami N Iwasaki T Majima S Nishimura YC Lee (2005) ArticleTitleThiolation of chitosan. Attachment of proteins via thioether formation Biomacromolecules 6 880–884

    Google Scholar 

  • K Matsuoka Y Matsuzawa K Kusano D Terunuma H Kuzuhara (2000) ArticleTitleAn improved preparation of N,N′-diacetylchitobiose by continuous enzymatic degradation of colloidal chitin using dialysis tubing as a convenient separator Biomacromolecules 1 798–800

    Google Scholar 

  • K Mazeau WT Winter H Chanzy (1994) ArticleTitleMolecular and crystal structure of a high temperature polymorph of chitosan from electron diffraction data Macromolecules 27 7606–7612

    Google Scholar 

  • WJ McGahren GA Perkinson JA Growich RA Leese GA Ellestad (1984) ArticleTitleChitosan by fermentation Process Biochem 19 88–90

    Google Scholar 

  • S Mima M Miya R Iwamoto S Yoshikawa (1983) ArticleTitleHighly deacetylated chitosan and its properties J Appl Polym Sci 28 1909–1917

    Google Scholar 

  • S Minami Y Okamoto A Matsuhashi H Sashiwa H Saimoto Y Shigemasa T Tanigawa Y Tanaka S Tokura (1992) Application of chitin and chitosan in large animal practice CJ Brine PA Sandford PJ Zikakis (Eds) Advances in Chitin and Chitosan Elsevier Essex 61–69

    Google Scholar 

  • S Minami KD Raj K Miyatake Y Okamoto H Ohta S Sasai Y Shigemsa (2001) ArticleTitleBiological effect of chitosan-lactose mixture and its clinical application Chitin Chitosan Res 7 268–272

    Google Scholar 

  • T Miyazaki Y Matsushima (1968) ArticleTitlePreparation of partially O-carboxymethylated chitin and its component 3-O- and 6-O-carboxymethyl-d-glucosamine, and the corresponding glucosaminitols Bull Chem Soc Jpn 41 2723–2726

    Google Scholar 

  • GK Moore GAF Roberts (1980) ArticleTitleChitosan gels, 1. Study of reaction variables Int J Biol Macromol 2 73–77

    Google Scholar 

  • GK Moore GAF Roberts (1982) ArticleTitleReaction of chitosan: 4. Preparation of organosoluble derivatives of chitosan Int J Biol Macromol 4 246–249

    Google Scholar 

  • M Morimoto H Saimoto H Usui Y Okamoto S Minami Y Shigemasa (2001) ArticleTitleBiological activities of carbohydrate-branched chitosan derivatives Biomacromolecules 2 1133–1136

    Google Scholar 

  • E Muraki F Yaku H Kojima (1993) ArticleTitlePreparation and crystallization of D-glucosamine oligosaccharides with DP 6-8 Carbohydr Res 239 227–237

    Google Scholar 

  • RAA Muzzarelli (1973) Natural Chelating Polymers Pergamon Press Oxford 83–176

    Google Scholar 

  • RAA Muzzarelli (1977) Chitin Pergamon Press Oxford

    Google Scholar 

  • RAA Muzzarelli (1986) The chelating ability of amino acid glucans and sugar acid chitosans RAA Muzzarelli C Jeuniaux GW Gooday (Eds) Chitin in Nature and Technology Plenum Press New York 321–330

    Google Scholar 

  • RAA Muzzarelli M Vincenzi ParticleDe (1997) Chitosans as dietary food additives MFA Goosen (Eds) Applications of Chitin and Chitosan Technomic Publishing Lancaster, PA 115–127

    Google Scholar 

  • RAA Muzzarelli MG Peter (Eds) (1997) Chitin Handbook Atec Edizioni Grottammare

    Google Scholar 

  • RAA Muzzarelli F Tanfani (1985) ArticleTitleThe N-permethylation of chitosan and the preparation of N-trimethyl chitosan iodidie Carbohydr Polym 5 297–307

    Google Scholar 

  • RAA Muzzarelli F Tanfani M Emanuelli S Mariotti (1982) ArticleTitle N-(Carboxymethylidene) chitosans and N-(carboxymethyl) chitosans: novel chelating polyampholytes obtained from chitosan glyoxylate Carbohydr Res 107 199–214

    Google Scholar 

  • RAA Muzzarelli F Tanfani M Emanuelli S Mariotti (1983) ArticleTitleThe characterization of N-methyl, N-ethyl, N-propyl, N-butyl, and N-hexyl chitosans, novel film-forming polymers J Membr Sci 16 295–308

    Google Scholar 

  • RAA Muzzarelli M Wecks O Filippini C Lough (1989) ArticleTitleCharacteristic properties of N-carboxybutyl chitosan Carbohydr Polym 11 307–320

    Google Scholar 

  • RAA Muzzarelli C Zucchini P Ilari A Pugnaloni MM Belmonte G Biagini C Castaldini (1993) ArticleTitleOsteoconductive properties of methlpyrrolidinone chitosan in an animal model Biomaterials 14 925–929

    Google Scholar 

  • RAA Muzzarelli C Muzzarelli R Tarsi M Miliani F Gobbanelli M Cartolari (2001) ArticleTitleFungistatic activity of modified chitosans against Saprolegnia parasitica Biomacromolecules 2 165–169

    Google Scholar 

  • JJ Nagyvary JD Falk ML Hill ML Schmidt AK Wilkins EL Bradbury (1979) ArticleTitleThe hypolipidemic activity of chitosan and other polysaccharides in rats Nutr Rep Int 20 677–684

    Google Scholar 

  • N Nishi J Noguchi S Tokura H Shiota (1979) ArticleTitleStudies on chitin. I. Acetylation of chitin Polym J 11 27–32

    Google Scholar 

  • M Nishiki T Tojima N Nishi N Sakairi (2000) ArticleTitleβ-Cylodextrin-linked chitosan beads: preparation and application to removal of bisphenol A from water Carbohydr Lett 4 61–67

    Google Scholar 

  • S Nishimura (2001) Chemical biology and biomedicine: general aspects BO Fraser-Reid K Tastuta J Thiem (Eds) Glycoscience: Chemistry and Chemical Biology Springer New York 6

    Google Scholar 

  • K Nishimura S Nishimura H Seo N Nishi S Tokura I Azuma (1987) ArticleTitleEffect of multiporous microspheres derived from chitin and partially deacetylated chitin on the activation of mouse peritoneal macrophages Vaccine 5 136–140

    Google Scholar 

  • S Nishimura H Kuzuhara Y Takiguchi K Shimahara (1989) ArticleTitlePeracetylated chitobiose: preparation by specific degradation of chitn, and chemical manipulations Carbohydr Res 194 223–231

    Google Scholar 

  • Nishimura S, Kohgo O, Kurita K, Vittavatvong C, Kuzuhara H (1990) Syntheses of novel chitosan derivatives soluble in organic solvents by regioselective chemical modifications. Chem Lett, 243–246

  • S Nishimura O Kohgo K Kurita H Kuzuhara (1991) ArticleTitleChemospecific manipulations of a rigid polysaccharide: syntheses of novel chitosan derivatives with excellent solubility in common organic solvents by regioselective chemical modifications Macromolecules 24 4745–4748

    Google Scholar 

  • Nishimura S, Miura Y, Ren L, Sato M, Yamagishi A, Nishi N, Tokura S, Kurita K, Ishii S (1993) An efficient method for the syntheses of novel amphiphilic polysaccharides by regio- and thermoselective modifications of chitosan. Chem Lett, 1623–1626

  • S Nishimura H Kai K Shinada T Yoshida S Tokura K Kurita H Nakashima N Yamamoto T Uryu (1998) ArticleTitleRegioselective syntheses of sulfated polysaccharides: specific anti-HIV-1 activity of novel chitin sulfates Carbohydr Res 306 427–433

    Google Scholar 

  • Y Nishiyama T Yoshida T Mori S Ishii K Kurita (1998) ArticleTitleAsymmetric reduction with chitosan/dihydronicotinamide conjugates: influence of L-alanine spacer arms on reducing performance React Funct Polym 37 83–91

    Google Scholar 

  • Y Nishiyama T Yoshikawa N Ohara K Kurita K Hojo H Kamada Y Tsutsumi T Mayumi K Kawasaki (2000) ArticleTitleA conjugate from a laminin-related peptide, Tyr-Ile-Gly-Ser-Arg, and chitosan: efficient and regioselective conjugation and significant inhibitory activity on the experimental cancer metastasis J Chem Soc Perkin Trans 1 1161–1165

    Google Scholar 

  • HK No SP Meyers (1997) Preparation of chitin and chitosan RAA Muzzarelli MG Peter (Eds) Chitin Handbook Atec Edizioni Grottammare 475–489

    Google Scholar 

  • Y Noishiki S Kuga M Wada K Hori Y Nishiyama (2004) ArticleTitleGuest selectivity in complexation of β-chitin Macromolecules 37 6839–6842

    Google Scholar 

  • K Nonaka S Kazama A Goto H Fukuda H Yoshioka H Yoshioka (2002) ArticleTitleSpin probe study on the interaction of chitosan-derived polymer surfactants with lipid membrane J Colloid Interface Sci 246 288–295

    Google Scholar 

  • K Okuyama K Noguchi T Miyazawa T Yui K Ogawa (1997) ArticleTitleMolecular and crystal structure of hydrated chitosan Macromolecules 30 5849–5855

    Google Scholar 

  • T Ouchi H Nishizawa Y Ohya (1998) ArticleTitleAggregation phenomenon of PEG-grafted chitosan in aqueous solution Polymer 39 5171–5175

    Google Scholar 

  • OE Philippova EV Volkov NL Sitnikova AR Khokhlov J Desbriéres M Rinaudo (2001) ArticleTitleTwo types of hydrophobic aggregates in aqueous solutions of chitosan and its hydrophobic derivative Biomacromolecules 2 483–490

    Google Scholar 

  • EI Rabea MET Badawy CV Stevens G Smagghe W Steurbaut (2003) ArticleTitleChitosan as antimicrobial agent: applications and mode of action Biomacromolecules 4 1457–1465

    Google Scholar 

  • R Rinaudo J Desbrières P Dung ParticleLe T Binh NT Dong (2001) ArticleTitleNMR investigation of chitosan derivatives formed by the reaction of chitosan with levulinic acid Carbohydr Polym 46 339–348

    Google Scholar 

  • GAF Roberts (1992a) Chitin Chemistry Macmillan London

    Google Scholar 

  • GAF Roberts (1992b) Chitin Chemistry Macmillan London 206–229

    Google Scholar 

  • GAF Roberts (1992c) Chitin Chemistry Macmillan London 229–249

    Google Scholar 

  • M Rössle D Flot J Engel M Burghammer C Riekel H Chanzy (2003) ArticleTitleFast intracrystalline hydration of β-chitin revealed by combined microdrop generation and on-line synchrotron radiation microdiffraction Biomacromolecules 4 981–986

    Google Scholar 

  • KM Rudall W Kenchington (1973) ArticleTitleThe chitin system Biol Rev 49 597–636

    Google Scholar 

  • Rutherford FA, Austin PR (1978). Marine chitin properties and solvents. In: Proceedings of the 1st Int. Conference on Chitin/Chitosan, Muzzarelli RAA, Pariser ER, eds. (MIT Sea Grant Report MITSG 78-7) pp 182–192

  • Y Saito JL Putaux T Okano F Gaill H Chanzy (1997) ArticleTitleStructural aspects of the swelling of β chitin in HCl and its conversion into α chitin Macromolecules 30 3867–3873

    Google Scholar 

  • PA Sandford (2003) Commercial sources of chitin and chitosan and their utilization KM Vårum A Domard O Smidsrød (Eds) Advances in Chitin Science, Vol. 6 NTNU Trondheim 35–42

    Google Scholar 

  • T Sannan K Kurita Y Iwakura (1975) ArticleTitleStudies on chitin. 1. Solubility change by alkaline treatment and film casting Makromol Chem 176 1191–1195

    Google Scholar 

  • T Sannan K Kurita Y Iwakura (1976) ArticleTitleStudies on chitin. 2. Effect of deacetylation on solubility Makromol Chem 177 3589–3600

    Google Scholar 

  • T Sannan K Kurita K Ogura Y Iwakura (1978) ArticleTitleStudies on chitin. 7. I.R. spectroscopic determination of degree of deacetylation Polymer 19 458–459

    Google Scholar 

  • H Sashiwa H Saimoto Y Shigemasa S Tokura (1993) ArticleTitle N-Acetyl group distribution in partially deacetylated chitins perpared under homogeneous conditions Carbohydr Res 242 167–172

    Google Scholar 

  • Sashiwa H, Makimura Y, Shigemasa Y, Roy R (2000) Chemical modification of chitosan: preparation of chitosan-sialic acid branched polysaccharide hybrids. Chem Commun 909–910

    Google Scholar 

  • H Sashiwa Y Shigemasa R Roy (2001) ArticleTitleHighly convergent synthesis of dendrimerized chitosan-sialic acid hybrid Macromolecules 34 3211–3214

    Google Scholar 

  • H Sashiwa Y Shigemasa R Roy (2002a) ArticleTitlePreparation of chitosan-dendrimer hybrid via short spacer Carbohydr Polym 47 191–199

    Google Scholar 

  • H Sashiwa N Kawasaki A Nakayama E Muraki N Yamamoto H Zhu H Nagano Y Omura H Saimoto Y Shigemasa S Aiba (2002b) ArticleTitleSynthesis of organosoluble, palladium adsorbable, and biodegradable chitosan derivatives toward the chemical plating on plastics Biomacromolecules 3 1120–1125

    Google Scholar 

  • H Sashiwa N Kawasaki A Nakayama E Muraki N Yamamoto S Aiba (2002c) ArticleTitleSynthesis of water-soluble chitosan derivatives by simple acetylation Biomacromolecules 3 1126–1128

    Google Scholar 

  • T Serizawa M Yamaguchi T Matsuyama M Akashi (2000) ArticleTitleAlternating bioactivity of polymeric layer-by-layer assemblies: anti- vs procoagulation of human blood on chitosan and dextran sulfate layers Biomacromolecules 1 306–309

    Google Scholar 

  • T Serizawa M Yamaguchi M Akashi (2002) ArticleTitleAlternating bioactivity of polymeric layer-by-layer assemblies: anticoagulation vs procoagulation of human blood Biomacromolecules 3 724–731

    Google Scholar 

  • Shigemasa Y, Ishida A, Sashiwa H, Saimoto H, Okamoto Y, Minami S, Matsuhashi A (1995) Synthesis of a new chitin derivative, (1-carboxyethyl)chitosan. Chem Lett 623–624

  • K Shimahara Y Takiguchi (1988) Preparation of crustacean chitin WA Wood ST Kellog (Eds) Methods in Enzymology, Vol. 161 Academic Press New York 417–423

    Google Scholar 

  • K Shimahara Y Takiguchi K Ohkouchi K Kitamura O Okada (1984) Chemical composition and some properties of custacean chitin prepared by use of proteolytic activity of Pseudomonas maltophilia LC102 JP Zikakis (Eds) Chitin, Chitosan, and Related Enzymes Academic Press Orlando, FL 239–255

    Google Scholar 

  • M Sugano T Fujikawa Y Hiratsuji K Nakashima N Fukuda Y Hasegawa (1980) ArticleTitleA novel use of chitosan as a hypocholesterolemic agent in rats Am J Clin Nutr 33 787–793

    Google Scholar 

  • M Sugano S Watanabe A Kishi M Izume A Ohtakara (1988) ArticleTitleHypocholesterolemic action of chitosans with different viscosity in rats Lipids 23 187–191

    Google Scholar 

  • M Sugimoto M Morimoto H Sashiwa H Saimoto Y Shigemasa (1998) ArticleTitlePreparation and characterization of water-soluble chitin and chitosan derivatives Carbohydr Polym 36 49–59

    Google Scholar 

  • Y Takiguchi K Shimahara (1988) ArticleTitle N,N′-Diacetylchitobiose production from chitin by Vibrio anguillarum strain E-383a Lett Appl Microbiol 6 129–131

    Google Scholar 

  • H Tamura T Hamaguchi S Tokura (2004) Destruction of rigid crystalline strucure to prepare chitin solution I Boucher K Jamieson A Retnakaran (Eds) Advances in Chitin Science, Vol. 7 9th ICCC Montreal 84–87

    Google Scholar 

  • F Tanida T Tojima SM Han N Nishi S Tokura N Sakairi H Seino K Hamada (1998) ArticleTitleNovel synthesis of a water-soluble cyclodextrin-polymer having a chitosan skelton Polymer 39 5261–5263

    Google Scholar 

  • B Thierry FM Winnik Y Merhi J Silver M Tabrizian (2003a) ArticleTitleBioactive coatings of endovascular stents based on polyelectrolyte multilayers Biomacromolecules 4 1564–1571

    Google Scholar 

  • B Thierry FM Winnik Y Merhi M Tabrizian (2003b) ArticleTitleNanocoatings onto arteries via layer-by-layer deposition: toward the in vivo repair of damaged blood vessels J Am Chem Soc 125 7494–7495

    Google Scholar 

  • JP Thome C Jeuniaux M Weltrowski (1997) Applications of chitosan for the elimination of organochlorine xenobiotics from wastewater MFA Goosen (Eds) Applications of Chitin and Chitosan Technomic Publishing Lancaster, PA 309–331

    Google Scholar 

  • A Tokoro K Suzuki T Matsumoto T Mikami S Suzuki M Suzuki (1988a) ArticleTitleChemotactic response of human neutrophils to N-acetyl chitohexaose in vitro Microbiol Immunol 32 387–395

    Google Scholar 

  • A Tokoro N Tatewaki K Suzuki T Mikami S Suzuki M Suzuki (1988b) ArticleTitleGrowth-inhibitory effect of hexa-N-acetylchitohexaose and chitohexaose against Meth-A solid tumor Chem Pharm Bull 36 784–790

    Google Scholar 

  • S Tokura N Nishi A Tsutsumi O Somorin (1983) ArticleTitleStudies on chitin. VIII. Some properties of water soluble chitin derivatives Polym J 15 485–489

    Google Scholar 

  • K Tømmeraas M Köping KM Vårum BE Christensen O Smidsrød (2002) ArticleTitlePreparation and characterization of chitosans with oligosaccharide branches Carbohydr Res 337 2455–2462

    Google Scholar 

  • R Trujillo (1968) ArticleTitlePreparation of carboxymethylchitin Carbohydr Res 7 483–485

    Google Scholar 

  • Y Uchida M Izume A Ohtakara (1989) Preparation of chitosan oligomers with purified chitosanase and its application G Skjak-Bræk T Anthonsen P Sandford (Eds) Chitin and Chitosan Elsevier Essex 373–382

    Google Scholar 

  • Uragami T, Tokura S, eds. (in press) Material Science of Chitin and Chitosan. (Tokyo: Kodansha Scientific).

  • T Uragami K Kurita T Fukamizo (Eds) (2001) Chitin and Chitosan–Chitin and Chitosan in Life Science Kodansha Scientific Tokyo

    Google Scholar 

  • T Usui H Matsui K Isobe (1990) ArticleTitleEnzymic synthesis of useful chito-oligosaccharides utilizing transglycosylation by chitinolytic enzymes in a buffer containing ammonium sulfate Carbohydr Res 203 65–77

    Google Scholar 

  • KM Vårum MW Anthonsen H Grasdalen O Smidsrød (1991) ArticleTitleDetermination of the degree of N-acetylation and the distribution of N-acetyl groups in partially N-deacetylated chitins (chitosans) by high-field nmr spectroscopy Carbohydr Res 211 17–23

    Google Scholar 

  • KM Vårum A Domard O Smidsrød (Eds) (2003) Advances in Chitin Science, Vol. 6 NTNU Trondheim

    Google Scholar 

  • M Yabuki A Uchiyama K Suzuki A Ando T Fujii (1988) ArticleTitlePurification and properties of chitosanase from Bacillus circulans MH-K1 J Gen Appl Microbiol 34 255–270

    Google Scholar 

  • M Yalpani LD Hall (1984) ArticleTitleSome chemical and analytical aspects of polysaccharide modifications. 3. Formation of branched-chain, soluble chitosan derivatives Macromolecules 17 272–281

    Google Scholar 

  • M Yalpani LD Hall MA Tung DE Brooks (1983) ArticleTitleUnusual rheology of a branched, water soluble chitosan derivative Nature 302 812–814

    Google Scholar 

  • J Yang H Akao M Shimojoh K Kurita (2004) ArticleTitleEfficient introduction of β-maltoside branches into chitin and chitosan Chitin Chitosan Res 10 51–56

    Google Scholar 

  • G Yu FG Morin GAR Nobes RH Marchessault (1999) ArticleTitleDegree of acetylation of chitin and extent of grafting PHB in chitosan determined by solid state 15N NMR Macromolecules 32 518–520

    Google Scholar 

  • T Yui K Imada K Okuyama Y Obata K Suzuki K Ogawa (1994) ArticleTitleMolecular and crystal structure of the anhydrousform of chitosan Macromolecules 27 7601–7605

    Google Scholar 

  • Z Zong Y Kimura M Takahashi H Yamane (2000) ArticleTitleCharacterization of chemical and solid state structures of acylated chitosans Polymer 41 899–906

    Google Scholar 

  • Y Zou E Khor (2005) ArticleTitlePreparation of C-6 substituted chitin derivatives under homogeneous conditions Biomacromolecules 6 80–87

    Google Scholar 

Download references

Acknowledgments

Our recent work on the modification studies of chitin was supported in part by High-Tech Research Center Project for Private Universities and a matching fund subsidy from MEXT, 2004–2008.

Author information

Affiliations

Authors

Corresponding author

Correspondence to Keisuke Kurita.

Rights and permissions

Reprints and Permissions

About this article

Cite this article

Kurita, K. Chitin and Chitosan: Functional Biopolymers from Marine Crustaceans. Mar Biotechnol 8, 203 (2006). https://doi.org/10.1007/s10126-005-0097-5

Download citation

  • Received:

  • Accepted:

  • Published:

  • DOI: https://doi.org/10.1007/s10126-005-0097-5

Keywords

  • Chitin
  • polysaccharide
  • marine biopolymers
  • biomass resource
  • biological activity
  • chemical modification
  • chitosan
  • biomedical application
  • unutilized biomass resource