Skip to main content

Effect of repeated adjunctive antimicrobial photodynamic therapy on subgingival periodontal pathogens in the treatment of chronic periodontitis

Abstract

The aim of this study was to compare the effect of subgingival ultrasonic scaling followed by repeated (three times) antimicrobial photodynamic therapy (PDT), ultrasonic scaling alone (US), and scaling and root planing with hand instruments (SRP) for initial periodontal treatment. Twenty-seven non-smoking systemically healthy chronic periodontitis patients were included. Residual pockets ≥4 mm deep and bleeding on probing were debrided either with SRP, US alone, or US followed by a single episode of PDT during supportive periodontal treatment. Probing pocket depth (PPD), bleeding on probing (BOP), and clinical attachment level (CAL) were monitored over 12 months. The presence of five periodontal pathogens in the pockets was determined by a commercially available micro-IDent test. Intergroup and intragroup statistical analysis was performed. All three treatments resulted in a significant clinical improvement. Additional application of PDT to US failed to result in further improvement in terms of PPD reduction and CAL gain. However, it resulted in a higher reduction of BOP at 3 and 12 months comparing to US alone or SRP (PDT from 25 to 13 and to 9 %, US from 23 to 16 and to 12 %, and SRP from 17 to 10 and to 9 %, respectively). PDT reduced the proportion of positive sites after 6 months for Treponema denticola (TD) significantly more effectively than US or SRP (p < 0.0001). Additionally, PDT resulted in a greater reduction of Aggregatibacter actinomycetemcomitans (AA), Tannerella forsythia (TF), and TD in medium pockets (4–6 mm) (p < 0.02) and of TD in deep pockets (>6 mm) compared to mechanical debridement alone (p < 0.05).

This is a preview of subscription content, access via your institution.

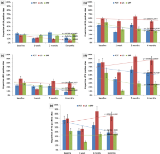
Fig.1
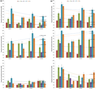
Fig.2
Fig.3

References

  1. Paster BJ (2000) Dewhirst FE (2009) Molecular microbial diagnosis. Periodontol 51:38–442

    Article  Google Scholar 

  2. Slots J (1979) Subgingival microflora and periodontal disease. J Clin Periodontol 6:351–382

    CAS  PubMed  Article  Google Scholar 

  3. Ximenez-Fyvie LA, Haffajee AD, Socransky SS (2000) Comparison of the microbiota of supra- and subgingival plaque in health and periodontitis. J Clin Periodontol 27:648–657

    CAS  PubMed  Article  Google Scholar 

  4. Quirynen M, Vogels R, Pauwels M, Haffajee AD, Socransky SS, Uzel NG, van Steenberghe D (2005) Initial subgingival colonization of pristine pockets. J Dent Res 84:340–344

    CAS  PubMed  Article  Google Scholar 

  5. Kolenbrander PE, Andersen RN, Blehert DS, Egland PG, Foster JS, Palmer RJ Jr (2002) Communication among oral bacteria. Microbiol Mol Biol Rev 66:486–505

    CAS  PubMed Central  PubMed  Article  Google Scholar 

  6. Teles RP, Haffajee AD (2000) Socransky SS (2006) Microbiological goals of periodontal therapy. Periodontol 42:180–218

    Article  Google Scholar 

  7. Breininger DR, O'Leary TJ, Blumenshine RV (1987) Comparative effectiveness of ultrasonic and hand scaling for the removal of subgingival plaque and calculus. J Periodontol 58:9–18

    CAS  PubMed  Article  Google Scholar 

  8. Hou GL, Tsai CC (1989) Clinical observations of the effects of nonsurgical periodontal therapy on human periodontal disease. II. Ultrasonic scaling and root planing for 6 months. Gaoxiong Yi Xue Ke Xue Za Zhi 5:72–86

    CAS  PubMed  Google Scholar 

  9. Ioannou I, Dimitriadis N, Papadimitriou K, Sakellari D, Vouros I, Konstantinidis A (2009) Hand instrumentation versus ultrasonic debridement in the treatment of chronic periodontitis: a randomized clinical and microbiological trial. J Clin Periodontol 36:132–141. doi:10.1111/j.1600-051X.2008.01347.x

    PubMed  Article  Google Scholar 

  10. Adriaens PA, De Boever JA, Loesche WJ (1988) Bacterial invasion in root cementum and radicular dentin of periodontally diseased teeth in humans. A reservoir of periodontopathic bacteria. J Periodontol 59:222–230

    CAS  PubMed  Article  Google Scholar 

  11. Sbordone L, Ramaglia L, Gulleta E, Iacono Y (1990) Recolonization of the subgingival microflora after scaling and root planning in human periodontitis. J Periodontol 61:579–584

    CAS  PubMed  Article  Google Scholar 

  12. Doungudomdacha S, Rawlinson A, Walsh TF, Douglas CW (2001) Effect of non-surgical periodontal treatment on clinical parameters and the numbers of Porphyromonas gingivalis, Prevotella intermedia and Actinobacillus actinomycetemcomitans at adult periodontitis sites. J Clin Periodontol 28:437–445

    CAS  PubMed  Article  Google Scholar 

  13. Socransky SS (2000) Haffajee AD (2002) Dental biofilms: Difficult therapeutic targets. Periodontol 28:12–55

    Article  Google Scholar 

  14. Umeda M, Takeuchi Y, Noguchi K, Huang Y, Koshy G (2000) Ishikawa I (2004) Effects of nonsurgical periodontal therapy on the microbiota. Periodontol 36:98–120

    Article  Google Scholar 

  15. Andersen R, Loebel N, Hammond D, Wilson M (2007) Treatment of periodontal disease by photodisinfection compared to scaling and root planing. J Clin Dent 18:34–38

    PubMed  Google Scholar 

  16. Braun A, Dehn C, Krause F, Jepsen S (2008) Short-term clinical effects of adjunctive antimicrobial photodynamic therapy in periodontal treatment: a randomized clinical trial. J Clin Periodontol 35:877–884

    CAS  PubMed  Article  Google Scholar 

  17. Christodoulides N, Nikolidakis D, Chondros P, Becker J, Schwarz F, Rössler R, Sculean A (2008) Photodynamic therapy as an adjunct to non-surgical periodontal treatment: a randomized, controlled clinical trial. J Clin Periodontol 79:1638–1644

    Article  Google Scholar 

  18. Takasaki AA, Aoki A, Mizutani K, Schwarz F, Sculean A, Wang CY, Koshy G, Romanos G, Ishikawa I (2000) Izumi Y (2009) Application of antimicrobial photodynamic therapy in periodontal and peri-implant diseases. Periodontol 51:109–140

    Article  Google Scholar 

  19. Ge L, Shu R, Li Y, Li C, Luo L, Song Z, Xie Y, Liu D (2011) Adjunctive effect of photodynamic therapy to scaling and root planing in the treatment of chronic periodontitis. Photomed Laser Surg 29:33–37. doi:10.1089/pho.2009.2727

    PubMed  Article  Google Scholar 

  20. Berakdar M, Callaway A, Eddin MF, Ross A, Willershausen B (2012) Comparison between scaling-root-planing (SRP) and SRP/photodynamic therapy: Six-month study. Head Face Med 8:12. doi:10.1186/1746-160X-8-12

    CAS  PubMed Central  PubMed  Article  Google Scholar 

  21. Theodoro LH, Silva SP, Pires JR, Soares GH, Pontes AE, Zuza EP, Spolidório DM, de Toledo BE, Garcia VG (2012) Clinical and microbiological effects of photodynamic therapy associated with nonsurgical periodontal treatment. A 6-month follow-up. Lasers Med Sci 27:687–693. doi:10.1007/s10103-011-0942-x

    PubMed  Article  Google Scholar 

  22. Polansky R, Haas M, Heschl A, Wimmer G (2009) Clinical effectiveness of photodynamic therapy in the treatment of periodontitis. J Clin Periodontol 36:575–580

    PubMed  Article  Google Scholar 

  23. Balata ML, de Andrade LP, Santos DB, Cavalcanti AN, Tunes Uda R, Ribeiro Édel P, Bittencourt S (2013) Photodynamic therapy associated with full-mouth ultrasonic debridement in the treatment of severe chronic periodontitis: a randomized-controlled clinical trial. J Appl Oral Sci 21:208–214. doi:10.1590/1678-7757201302366

    CAS  PubMed Central  PubMed  Article  Google Scholar 

  24. Sgolastra F, Petrucci A, Severino M, Graziani F, Gatto R, Monaco A (2013) Adjunctive photodynamic therapy to non-surgical treatment of chronic periodontitis: a systematic review and meta-analysis. J Clin Periodontol 40:514–526. doi:10.1111/jcpe.12094

    CAS  PubMed  Article  Google Scholar 

  25. Eick S, Pfister W (2002) Comparison of microbial cultivation and a commercial PCR based method for detection of periodontopathogenic species in subgingival plaque samples. J Clin Periodontol 29:638–644

    CAS  PubMed  Article  Google Scholar 

  26. Urbán E, Terhes G, Radnai M, Gorzó I, Nagy E (2010) Detection of periodontopathogenic bacteria in pregnant women by traditional anaerobic culture method and by a commercial molecular genetic method. Anaerobe 16:283–288

    PubMed  Article  Google Scholar 

  27. Kaldahl WB, Kalkwarf KL, Patil K (1993) A review of longitudinal studies that compared periodontal therapies. J Periodontol 64:243–253

    CAS  PubMed  Article  Google Scholar 

  28. Nyman S, Wesfelt E, Sahed G, Karring T (1988) Role of “diseased” root cementum in healing following treatment of periodontal disease. A clinical study. J Clin Periodontol 15:464–468

    CAS  PubMed  Article  Google Scholar 

  29. Gonçalves PF, Gurgel BCV, Pimentel SP etal (2006) Root cementum modulates periodontal regeneration in class III furcation defects treated by the guided tissue regeneration technique: a istometric study in dogs. J Periodontol 77:976–982

  30. Dzink JL, Socransky SS, Haffajee AD (1988) The predominant cultivable microbiota of active and inactive lesions of destructive periodontal diseases. J Clin Periodontol 15:316–323

    CAS  PubMed  Article  Google Scholar 

  31. Cugini MA, Haffajee AD, Smith C, Kent RL Jr, Socransky SS (2000) The effect of scaling and root planing on the clinical and microbiological parameters of periodontal diseases: 12-month results. J Clin Periodontol 27:30–36

    CAS  PubMed  Article  Google Scholar 

  32. Riviere GR, Eliot KS, Adams DF, Simonson LG, Forgas LB, Nilius AM, Lukehart SA (1992) Relative proportions of pathogen-related oral spirochetes (PROS) and Treponema denticola in supragingival and subgingival plaque from patients with periodontitis. J Periodontol 63:131–136

    CAS  PubMed  Article  Google Scholar 

  33. Jori G, Fabris C, Soncin M, Ferro S, Coppellotti O, Dei D, Fantetti L, Chiti G, Roncucci G (2006) Photodynamic therapy in the treatment of microbial infections: Basic principles and perspective applications. Lasers Surg Med 38:468–481

    PubMed  Article  Google Scholar 

  34. Konan YN, Gurny R, Allemann E (2002) State of the art in the delivery of photosensitizers for photodynamic therapy. J Photochem Photobiol 66:89–106

    CAS  Article  Google Scholar 

  35. Wilson M (1993) Photolysis of oral bacteria and its potential use in the treatment of caries and periodontal disease. J Appl Bacteriol 75:299–306

    CAS  PubMed  Article  Google Scholar 

  36. Chan Y, Lai CH (2003) Bactericidal effects of different laser wavelengths on periodontopathic germs in photodynamic therapy. Lasers Med Sci 18:51–55

    PubMed  Article  Google Scholar 

  37. Prates RA, Yamada AM, Suzuki LC, França CM, Cai S, Mayer MP, Ribeiro AC, Ribeiro MS (2011) Histomorphometric and microbiological assessment of photodynamic therapy as an adjuvant treatment for periodontitis: a short-term evaluation of inflammatory periodontal conditionsand bacterial reduction in a rat model. Photomed Laser Surg 29:835–844. doi:10.1089/pho.2010.2984

    CAS  PubMed Central  PubMed  Article  Google Scholar 

  38. Lulic M, Leiggener Görög I, Salvi GE, Ramseier CA, Mattheos N, Lang NP (2009) One-year outcomes of repeated adjunctive photodynamic therapy during periodontal maintenance: a proof-of-principle randomized-controlled clinical trial. J Clin Periodontol 36:661–666

    PubMed  Article  Google Scholar 

  39. Nyvad B, Kilian M (1990) Comparison of the initial streptococcal microflora on dental enamel in caries-active and in caries-inactive individuals. Caries Res 24:267–272

    CAS  PubMed  Article  Google Scholar 

  40. Haffajee AD (2000) Socransky SS (2005) Microbiology of periodontal diseases: Introduction. Periodontology 38:9–12

    Article  Google Scholar 

  41. Kuboniwa M (2000) Lamont RJ (2010) Subgingival biofilm formation. Periodontology 52:38–52

    Article  Google Scholar 

  42. Fontana CR, Abernethy AD, Som S, Ruggiero K, Doucette S, Marcantonio RC, Boussios CI, Kent R, Goodson JM, Tanner AC, Soukos NS (2009) The antibacterial effect of photodynamic therapy in dental plaque-derived biofilms. J Periodontal Res 44:751–759

    CAS  PubMed Central  PubMed  Article  Google Scholar 

  43. Chondros P, Nikolidakis D, Christodoulides N, Rössler R, Gutknecht N, Sculean A (2009) Photodynamic therapy as adjunct to non-surgical periodontal treatment in patients on periodontal maintenance: a randomized controlled clinical trial. Lasers Med Sci 24:681–688. doi:10.1007/s10103-008-0565-z

    PubMed  Article  Google Scholar 

  44. Cappuyns I, Cionca N, Wick P, Giannopoulou C, Mombelli A (2012) Treatment of residual pockets with photodynamic therapy, diode laser, or deep scaling. A randomized, split-mouth controlled clinical trial. Lasers Med Sci 27:979–986

    PubMed  Article  Google Scholar 

Download references

Acknowledgments

The authors gratefully acknowledge the support of the Bredent–Medical, Germany, who provided the diode laser, photosensitizer, and fiber optic applicator used in this study.

Conflict of interest

The authors declare no conflicts of interest in this study.

Author information

Affiliations

Authors

Corresponding author

Correspondence to Milan Petelin.

Rights and permissions

Reprints and Permissions

About this article

Verify currency and authenticity via CrossMark

Cite this article

Petelin, M., Perkič, K., Seme, K. et al. Effect of repeated adjunctive antimicrobial photodynamic therapy on subgingival periodontal pathogens in the treatment of chronic periodontitis. Lasers Med Sci 30, 1647–1656 (2015). https://doi.org/10.1007/s10103-014-1632-2

Download citation

  • Received:

  • Accepted:

  • Published:

  • Issue Date:

  • DOI: https://doi.org/10.1007/s10103-014-1632-2

Keywords

  • Chronic periodontitis
  • Photodynamic therapy
  • Non-surgical periodontal treatment
  • Periodontal pathogens
  • Supportive periodontal therapy