Skip to main content

Wearable haptic anklets for gait and freezing improvement in Parkinson’s disease: a proof-of-concept study

Abstract

Background and objective

In a proof-of-concept study, we aimed to verify whether the wearable haptic anklets, a device that delivers personalized suprathreshold alternating exteroceptive stimulation at the anklets on demand, may improve the quality of walking, including the freezing of gate (FOG), in idiopathic Parkinson’s disease (PD) patients. The clinical relevance of the presented device as a walking pacemaker to compensate the disturbed locomotion through the generation of a more physiological internal walking rhythm should be verified in a dedicated clinical trial.

Methods

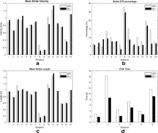
We tested 15 patients diagnosed as idiopathic PD, during their regular treatment regimen. Patients were evaluated during walking with the device switched on and off, personalized at their most comfortable cadence. Stride velocity, variance, and length, as well as FOG episode duration during walking or turning of 180°, were quantified by an optical high-performance motion capture VICON system.

Results

The alternating, rhythmic, sensory stimulation significantly improved either walking velocity or reduced inter-stride variance. Effects were more variable on stride length. The significant reduction of FOG episodes’ duration correlated with clinical severity of scales rating gate and balance. No safety problems occurred.

Conclusions

The WEARHAP-PD device, whose Technology Readiness Level (TRL) is 6, significantly improved some walking abilities (walking velocity and stride variance) and reduced the duration of FOG episodes in idiopathic PD patients. Unlike the traditional auditory and visual explicit cues that require the user’s allocation of attention for correct functioning, the interaction of the patients with the surrounding environment was preserved, due to the likely implicit processing of haptic stimuli.

This is a preview of subscription content, access via your institution.

Fig. 1
Fig. 2
Fig. 3

References

  1. Nieuwboer A, Dom R, De Weerdt W, Desloovere K, Fieuws S, Broens-Kaucsik E (2001) Abnormalities of the spatiotemporal characteristics of gait at the onset of freezing in Parkinson’s disease. Mov Disord 16:1066–1075

    CAS  Article  Google Scholar 

  2. Nonnekes J, Snijders AH, Nutt JG, Deuscl G, Giladi N, Bloem BR (2015) Freezing of gait: a practical approach to management. Lancet Neurol 14:768–778

    Article  Google Scholar 

  3. Abboud H, Genc G, Thompson NR, Oravivattanakul S, Alsallom F, Reyes D, Wilson K, Cerejo R, Yu XX, Floden D, Ahmed A, Gostkowski M, Ezzeldin A, Marouf H, Mansour OY, Machado A, Fernandez HH (2017) Predictors of functional and quality of life outcomes following deep brain stimulation surgery in parkinson's disease patients: disease, patient, and surgical factors. Parkinsons Dis 5609163

  4. Muslimovic D, Post B, Speelman JD, Schmand B, de Haan RJ (2008) Determinants of disability and quality of life in mild to moderate Parkinson disease. Neurology 70:2241–2247

  5. Spaulding SJ, Barber B, Colby M, Cormack B, Mick T, Jenkins ME (2013) Cueing and gait improvement among people with Parkinson’s disease: a meta-analysis. Arch Phys Med Rehabil 94:562–570

    Article  Google Scholar 

  6. Ginis P, Nackaerts E, Nieuwboer A, Heremans E (2018) Cueing for people with Parkinson’s disease with freezing of gait: a narrative review of the state-of-the-art and novel perspectives. Ann Phys Rehabil Med 61:407–413

    Article  Google Scholar 

  7. Thaut MH, McIntosh GC, Rice RR, Miller RA, Rathbun J, Brault JM (1996) Rhythmic auditory stimulation in gait training for Parkinson’s disease patients. Mov Disord 11:193–200

    CAS  Article  Google Scholar 

  8. Cochen Decock V, Dotov D, Damm L, Picot MC, Ihalainen P, Driss V, Geny C, Bardy B, Dalla Bella S. (2019) BeatPark: a new wearable device for gait auto-rehabilitation in Parkinson’s disease delivering adapted musical stimulation. Mov Disord 34: (suppl 2) [abstract]

  9. Novak P, Novak V (2006) Effect of step-synchronized vibration stimulation of soles on gait in Parkinson’s disease: a pilot study. J Neuroeng Rehabil 3:9

    Article  Google Scholar 

  10. King LK, Almeida QJ, Ahonen H (2009) Short-term effects of vibration therapy on motor impairments in Parkinson’s disease. NeuroRehabilitation 25:297–306

    Article  Google Scholar 

  11. De Nunzio AM, Grasso M, Nardone A, Godi M, Schieppati M (2010) Alternate rhythmic vibratory stimulation of trunk muscles affects walking cadence and velocity in Parkinson’s disease. Clin Neurophysiol 121:240–247

    Article  Google Scholar 

  12. Winfree KN, Pretzer-Aboff I, Hilgart D, Aggarwal R, Behari M, Agrawal SK (2013) The effect of step-synchronized vibration on patients with Parkinson’s disease: case studies on subjects with freezing of gait or an implanted deep brain stimulator. IEEE Trans Neural Syst Rehabil Eng 5:806–811

    Article  Google Scholar 

  13. Kuo AD (2002) The relative role of feedforward and feedback in the control of rhythmic movements. Mot Control 6:129–145

    Article  Google Scholar 

  14. Dimitrijevic MR, Gerasimenko Y, Pinter MM (1998) Evidence for a spinal central pattern generator in humans. Ann N Y Acad Sci 860:360–376

    CAS  Article  Google Scholar 

  15. Lisini Baldi T, Paolocci G, Prattichizzo D (2018) Human guidance: suggesting walking pace under manual and cognitive load. In EuroHaptics 2018: Haptics: science, technology, and applications, volume 10894, Pages 416–427, Pisa, Italy

  16. Lisini Bladi T, Paolocci G, Barcelli D, Prattichizzo D (2020) Wearable haptics for remote social walking. IEEE Trans Haptics, 2020 (in press)

  17. Scheggi S, Talarico A, Prattichizzo D (2014) A remote guidance system for blind and visually impaired people via vibrotactile haptic feedback. In 22nd Mediterranean conference on control and automation (pp. 20–23). IEEE

  18. Hughes AJ, Daniel SE, Kilford L, Lees AJ (1992) Accuracy of clinical diagnosis of idiopathic Parkinson’s disease. a clinico-pathological study of 100 cases. J Neurol Neurosurg Psychiatry 55:181–184

    CAS  Article  Google Scholar 

  19. Goetz CG, Tilley BC, Shaftman SR, Stebbins GT, Fahn S, Martinez-Martin P, Poewe W, Sampaio C, Stern MB, Dodel R, Dubois B, Holloway R, Jankovic J, Kulisevsky J, Lang AE, Lees A, Leurgans S, LeWitt PA, Nyenhuis D, Olanow CW, Rascol O, Schrag A, Teresi JA, van Hilten JJ, LaPelle N, Movement Disorder Society UPDRS Revision Task Force (2008) Movement Disorder Society-sponsored revision of the unified Parkinson’s disease rating scale (MDS-UPDRS): scale presentation and clinimetric testing results. Mov Disord 23:2129–2170

    Article  Google Scholar 

  20. Barthel C, Nonnekes J, van Helvert M, Haan R, Janssen A, Delval A, Weerdesteyn V, Debû B, van Wezel R, Bloem BR, Ferraye MU (2018) The laser shoes. A new ambulatory device to alleviate freezing of gait in Parkinson disease. Neurology 90:e164–e171

  21. Nieuwboer A, Rochester L, Herman T, Vandenberghe W, Emil GE, Thomaes T, Giladi N (2009) Reliability of the new freezing of gait questionnaire: agreement between patients with Parkinson’s disease and their carers. Gait Posture 30:459–463

    Article  Google Scholar 

  22. Tinetti ME, Williams TF, Mayewski R (1986) Tinetti balance assessment tool. Fall risk index for elderly patients based on number of chronic dis- abilities. Am J Med 80:429–434

    CAS  Article  Google Scholar 

  23. Gemperle F, Hirsch T, Goode A, Pearce J, Siewiorek D, Smailigic A (2003) “Wearable vibro-tactile display,” Corneige Mellon University

  24. Riener A (2011) Sensor-actuator supported implicit interaction in driver assistance systems, S. H. Et al., Ed. Springer, vol. 10

  25. Roerdink M, Bank PJ, Peper CL, Beek PJ (2011) Walking to the beat of different drums: practical implications for the use of acoustic rhythms in gait rehabilitation. Gait Posture 33:690–694

    Article  Google Scholar 

  26. Ahn J, Hogan N (2012) Walking is not like reaching: evidence from periodic mechanical perturbations. PLoS One 7:e31767

    CAS  Article  Google Scholar 

  27. Leman M, Moelants D, Varewyck M, Styns F, van Noorden L, Martens JP (2013) Activating and relaxing music entrains the speed of beat synchronized walking. PLoS One 8:e67932

    CAS  Article  Google Scholar 

  28. Damm L, Varoqui D, De Cock VC, Dalla Bella S, Bardy B (2019) Why do we move to the beat? A multi-scale approach, from physical principles to brain dynamics. Neurosci Biobehav Rev 112:553–584. https://doi.org/10.1016/j.neubiorev.2019.12.024

    Article  PubMed  Google Scholar 

  29. Abbruzzese G, Berardelli A (2003) Sensorimotor integration in movement disorders. Mov Disord 18:231–240

    Article  Google Scholar 

  30. Zis P, Grünewald RA, Chaudhuri RK, Hadjivassiliou M (2017) Peripheral neuropathy in idiopathic Parkinson’s disease: a systematic review. J Neurol Sci 378:204–209

    Article  Google Scholar 

  31. Zehr EP, Duysens J (2004) Regulation of arm and leg movement during human locomotion. Neuroscientist 10:347–361

    Article  Google Scholar 

  32. Nielsen JB (2003) How we walk: central control of muscle activity during human walking. Neuroscientist 9:195–204

    Article  Google Scholar 

  33. Kotz SA, Schwartze M (2010) Cortical speech processing unplugged: a timely subcortico-cortical framework. Trends Cogn Sci 14:392–399

    Article  Google Scholar 

  34. Kotz SA, Schwartze M (2011) Differential input of the supplementary motor area to a dedicated temporal processing network: functional and clinical implications. Front Integr Neurosci 5:86

    Article  Google Scholar 

  35. Nutt JG, Bloem BR, Giladi N, Hallett M, Horak FB, Nieuwboer A (2011) Freezing of gait: moving forward on a mysterious clinical phenomenon. Lancet Neurol 10:734–744

    Article  Google Scholar 

  36. Boecker H, Ceballos-Baumann A, Bartenstein P, Weindl A, Siebner HR, Fassbender T, Munz F, Schwaiger M, Conrad B (1999) Sensory processing in Parkinson’s and Huntington’s disease: investigations with 3D H(2)(15)O-PET. Brain 122:1651–1665

    Article  Google Scholar 

  37. Ulivelli M, Rossi S, Pasqualetti P, Rossini PM, Ghiglieri O, Passero S, Battistini N (1999) Time course of frontal somatosensory evoked potentials relation to L-dopa plasma levels and motor performance in PD. Neurology 53:1451–1457

    CAS  Article  Google Scholar 

  38. Lewis GN, Byblow WD (2002) Altered sensorimotor integration in Parkinson’s disease. Brain 125:2089–2099

    Article  Google Scholar 

  39. Fasano A, Herman T, Tessitore A, Strafella AP, Bohnen NI (2015) Neuroimaging of freezing of gait. J Park Dis 5:241–254

    Google Scholar 

  40. Shik ML, Severin FV, Orlovsky GN (1996) Control of walking and running by means of electrical stimulation of the mid-brain. Biophysics 11:756–765

    Google Scholar 

  41. Chung SJ, Lee YH, Yoo HS, Oh JS, Kim JS, Ye BS, Sohn YH, Lee PH (2019) White matter hyperintensities as a predictor of freezing of gate in Parkinon’s disease. Parkinsonism Relat Disord 66:105–109

    Article  Google Scholar 

  42. Nonnekes J, Ružicka E, Nieuwboer A, Hallett M, Fasano A, Bloem BR (2019) Comopensation strategies for gait impairment in Parkinson diseae. JAMA Neurol 76:718–725

    Article  Google Scholar 

  43. Conte A, Khan N, Defazio G, Rothwell JC, Berardelli A (2013) Pathophysiology of somatosensory abnormalities in Parkinson disease. Nat Rev Neurol 9:687–697

    CAS  Article  Google Scholar 

  44. Konczak J, Sciutti A, Avanzino L, Squeri V, Gori M, Masia L, Abbruzzese G, Sandini G (2012) Parkinson’s disease accelerates age-related decline in haptic perception by altering somatosensory integration. Brain 135:3371–3379

    Article  Google Scholar 

Download references

Funding

The research leading to these results has received funding from the European Union’s Horizon 2020 research and innovation program—Societal Challenge 1 (DG CONNECT/H) under grant agreement n. 643644 of the project “ACANTO: A CyberphysicAl social NeTwOrk using robot friends” and under grant agreement n° 601165 of the project ``WEARHAP–WEARable HAPtics for humans and robots”.

Author information

Affiliations

Authors

Contributions

Simone Rossi: Study conception, patients’ recruitment, supervision of data acquisition, and manuscript preparation.

Tommaso Lisini Baldi: Device conception and manufacturing, data acquisition and analysis, and manuscript preparation.

Marco Aggravi: Device conception and manufacturing and data acquisition and analysis.

Monica Ulivelli: Patients’ recruitment, clinical coordination, and critical revision of the manuscript.

David Cioncoloni: Data acquisition and organization.

Viola Niccolini: Data acquisition and analysis.

Lorenzo Donati: Data acquisition and analysis.

Domenico Prattichizzo: Device and study conception and critical review of the manuscript.

Corresponding author

Correspondence to Simone Rossi.

Ethics declarations

Conflict of interest

None.

Ethical approval

None.

Additional information

Publisher’s note

Springer Nature remains neutral with regard to jurisdictional claims in published maps and institutional affiliations.

Rights and permissions

Reprints and Permissions

About this article

Verify currency and authenticity via CrossMark

Cite this article

Rossi, S., Lisini Baldi, T., Aggravi, M. et al. Wearable haptic anklets for gait and freezing improvement in Parkinson’s disease: a proof-of-concept study. Neurol Sci 41, 3643–3651 (2020). https://doi.org/10.1007/s10072-020-04485-4

Download citation

  • Received:

  • Accepted:

  • Published:

  • Issue Date:

  • DOI: https://doi.org/10.1007/s10072-020-04485-4

Keywords

  • Parkinson’s disease
  • Freezing of gate
  • Wearable robotics
  • Gait disturbances
  • Vibration