Abstract
Predation risk may affect the foraging behavior of birds. However, there has been little research on the ability of domestic birds to perceive predation risk and thus adjust their feeding behavior. In this study, we tested whether domestic budgerigars (Melopsittacus undulatus) perceived predation risk after the presentation of specimens and sounds of sparrowhawks (Accipiter nisus), domestic cats (Felis catus), and humans, and whether this in turn influenced their feeding behavior. When exposed to visual or acoustic stimuli, budgerigars showed significantly longer latency to feed under sparrowhawk, domestic cat, and human treatments than with controls. Budgerigars responded more strongly to acoustic stimuli than visual stimuli, and they showed the longest latency to feed and the least number of feeding times in response to sparrowhawk calls. Moreover, budgerigars showed shorter latency to feed and greater numbers of feeding times in response to human voices than to sparrowhawk or domestic cat calls. Our results suggest that domestic budgerigars may identify predation risk through visual or acoustic signals and adjust their feeding behavior accordingly.
Similar content being viewed by others
Explore related subjects
Discover the latest articles and news from researchers in related subjects, suggested using machine learning.Avoid common mistakes on your manuscript.
Introduction
In nature, predation is the primary cause of death for most animals (Sinclair et al. 2003). Because predators exert strong selection pressure on their prey (Caro 2005), many species have evolved anti-predator behavior to minimize their risk of predation (Lima 1998). However, anti-predator behavior may incur high costs, including energy expenditure, reduced foraging opportunities, and decreased investment in reproduction (Lima 1998; Lima and Bednekoff 1999; Lima and Dill 1990). Animals are capable of trading off effort between foraging needs and predator avoidance depending on the level of threat, as predicted by the threat-sensitivity hypothesis (Helfman 1989). Avian species are often exposed to a higher risk of predation through an increase in foraging time caused by their higher metabolic demands compared to other animals. Thus, avian species should consider tradeoffs between the benefits of foraging and the risk of predation to maximize their fitness (Lima 1998; Lima and Dill 1990). Before this tradeoff can be implemented, avian species must be able to recognize predatory stimuli and accurately assess the risk of predation in the environment.
The majority of avian species primarily use visual and/or acoustic cues to detect predators (Arteaga-Torres et al. 2020; Bartmess-LeVasseur et al. 2010; Billings et al. 2015; Hettena et al. 2014; Smith and Belk 2001). Numerous studies have shown that many avian species can identify the type of predator through visual cues (Duré Ruiz et al. 2018), assess the level of predation threat (Turney and Godin 2014), and adjust their feeding behavior accordingly (Freeberg et al. 2014, 2016). For example, tufted titmice (Baeolophus bicolor) were sensitive to the head and body orientation of domestic cat (Felis catus) models. They exhibited greater predator avoidance responses when the cat model faced the food (Book and Freeberg 2015). In addition, acoustic cues are essential for some avian species to identify predators. For example, black-capped chickadees (Poecile atricapillus) could perceive the level of predation risk according to the type and intensity of predator calls (Congdon et al. 2021). Song sparrows (Melospiza melodia) discriminated the calls of Cooper’s hawk (Accipiter cooperii), their primary predator, and increased alarm calling during Cooper’s hawk call playback (Akçay et al. 2016).
The domestication process in animals may reduce their fear of humans, and it may also modify their behavior in response to predators (Agnvall and Jensen 2016; Geffroy et al. 2020). Due to the relaxed predation pressure in human-dominated environments, some domestic animal species allocate more time and energy to other important activities to increase their fitness (Jolly and Phillips 2021). For example, domesticated White Leghorn chickens (a breed selected for egg production) have a reduced fear of humans and aerial predators compared to their ancestors, red junglefowl (Gallus gallus) (Campler et al. 2009). Although domesticated birds exhibit anti-predator behaviors that are significantly different from those of undomesticated birds (Agnvall and Jensen 2016; Carrete and Tella 2016), some studies conducted on domesticated birds selected for production have shown that they retain some instincts related to recognizing predators. For example, domestic chickens (Gallus gallus domesticus) are able to discriminate between aerial and terrestrial predators and produce different alarm sounds (Evans et al. 1993; Gyger et al. 1987; Palleroni et al. 2005), and Mallard ducklings (Anas platyrhynchos) have demonstrated an innate capacity to identify different predator types and adjust their anti-predator behavior accordingly (Dessborn et al. 2012). However, less is known about the innate ability of domestic pet birds to recognize predators and whether they have become habituated to humans due to their long-term social interactions with them.
Budgerigars (Melopsittacus undulatus) are small-sized scansorial birds native to Australia, and they have a long history of domestication (Polverino et al. 2012). Previous studies have found that budgerigars have acute visual (Chaib et al. 2019) and acoustic perception (Fishbein 2022). For example, a budgerigar was able to spot a conspecific from a distance of 25 m and a bird predator from a distance of 85 m (Chaib et al. 2019), and budgerigars also can extract information from conspecific vocalizations (Fishbein 2022). Therefore, the budgerigar is an ideal species for testing the ability of domestic birds to perceive and recognize predation risk. However, to our knowledge, there are few studies on whether budgerigars can perceive predation risk and make appropriate behavioral decisions.
The main aim of this study was to test whether domestic budgerigars could perceive predation risk and adjust their feeding behavior accordingly. Therefore, we examined the feeding behavior of budgerigars in response to an aerial predator (the sparrowhawk, Accipiter nisus), a terrestrial predator (the domestic cat), a potential predator (humans), and controls by conducting dummy and sound playback experiments. We hypothesized that domestic budgerigars would be able to recognize predation risk during feeding. Given that some domestic birds still exhibit the innate ability to recognize predators and that budgerigars have acute visual and acoustic perception as mentioned previously, we predicted that (1) budgerigars would be capable of perceiving predation risk through visual or acoustic cues and thus adjusting their feeding behavior. Because studies have shown that visual cues convey higher certainty of information on predation risk than acoustic cues (Akçay et al. 2016), we predicted that (2) budgerigars would exhibit a greater response to the appearance than to the sounds of predators. Finally, based on humans as the main suppliers of food resources to budgerigars during long-term domestication, we predicted that (3) budgerigars may have become habituated to humans and would show relatively more feeding behavior when facing humans.
Materials and methods
Subjects
Adult male budgerigars (N = 33) were used as subjects in this study. The birds were purchased from a local pet market, had the same rearing history, and none of them had been previously involved in any experiments. Each bird was marked randomly with a unique numbered metallic leg band. All budgerigars were housed in an indoor feeding chamber, where every individual was housed alone in a cage (90 cm × 40 cm × 50 cm) containing a food box, a water box, and a standing pole. We provided daylight lighting from 7:00 AM to 7:00 PM (12 h:12 h diurnal cycle), a temperature of 20–23 °C, and a relative humidity of 50–60%. The budgerigars were given grain seeds and drinking water at 12:00 AM daily and were regularly supplemented with fresh vegetables, fruits, and parrot nourishment pills to maintain balanced nutrition. All the birds were raised by the same experimenter who always wore the same type of clothes when interacting with them.
Experimental design
This study was conducted from August to December 2022. All experiments were conducted in a behavior observation chamber (4.0 m × 2.4 m × 2.3 m) containing a birdcage (90 cm × 40 cm × 50 cm) as well as a removable camera (HDR-PJ675; Sony, Shanghai, China) that used to record the behavior of the subjects. A food box and a standing pole were placed inside the birdcage. During the experiments, we could observe the progress in real time through an external monitor placed outside the chamber. The experiments were conducted between 9:00 AM and 12:00 AM. The subject was randomly chosen before the experiment and the food box in its feeding cage was removed approximately 2 h before the beginning of the experiment, with an ad libitum water supply being maintained, so that the bird was slightly starved during the experiment. We used a small birdcage (28 cm × 18 cm × 14 cm) to transfer the subject from the feeding chamber to the birdcage in the behavior observation lab and then left the lab. Each experiment consisted of three periods: a 2-min pre-trial adaptation period, a 3-min predator visual or acoustic stimulation period, and a 2-min observation period after the stimulation. After the experiment, the subject was put back into the birdcage in the feeding chamber and fed at a random time during a 0–2 h period to avoid the subject recognizing the rule of feeding and thus affecting the experimental results.
In this study, an aerial predator (sparrowhawk), a terrestrial predator (domestic cat), and a potential predator (human) were chosen to represent different forms of predation risk. Sparrowhawks are raptors that pose a high level of threat to budgerigars (Carlson et al. 2017). Domestic cats, one of the most popular pets for humans (Courchamp et al. 2003; Crowley et al. 2020; Hunter 2015), not only prey directly upon birds (Murphy et al. 2019) but also increase birds’ fear and stress (Beckerman et al. 2007), indirectly affecting their survival (Fardell et al. 2023; Tryjanowski et al. 2015). In this experiment, we used a sparrowhawk specimen, a domestic cat model made of plush fabric (see the Supplementary Materials), and the sounds of both to test the budgerigars’ responses to natural predators. In addition, birds may associate humans’ presence with the food resources received in a captive environment, thereby reducing responsiveness to humans (Franzone et al. 2022; Ramos et al. 2021). Therefore, we tested the budgerigars’ responses to humans using a human dummy model made of glass-fiber-reinforced plastic wearing cotton clothes (see the Supplementary Materials) and a human voice recording. We used a non-threatening specimen holder (15 cm × 15 cm × 0.5 cm) and background noise as control stimuli. The background noise was recorded in the field and did not involve predator sounds or human voices. Each experimental individual bird was randomly exposed to one kind of visual or acoustic stimulus on each experimental day. The order of stimulus presentation was randomly determined. To ensure the effectiveness of the experiments, an interval of at least 1 day was allowed between two experiments conducted on each individual. The visual dummy experiments and the acoustic playback experiments are described in detail in the following sections.
Dummy experiments
Stuffed predator specimens and models have been shown to cause birds to respond in a manner similar to how they respond to real predators (Book and Freeberg 2015; Duré Ruiz et al. 2018). We placed the predator specimen or model mentioned above at a distance of 1 m in front of the birdcage. An opaque curtain separated the subject from the predator specimen or model, and we could display or hide the specimen or model by opening or closing the curtain, respectively. During the 2-min adaptation period, the predator specimen or model was hidden behind the curtain, and when the 3-min stimulation period began, the experimenter gently pulled the curtain to expose the subject to the predator specimen or model. At the end of the stimulation period, the curtain was gently closed, and the subject was observed continuously for another 2 min to record the subsequent effects of visual stimulation on feeding behavior. During the experiment, the experimenter was hidden behind the curtain to avoid influencing the subjects.
Playback experiments
We used Avisoft-SASLab Pro 5.2 (Avisoft Bioacoustics, Berlin, Germany) to choose segments with the lowest levels of background noise based on spectrograms of sparrowhawk calls, domestic cat calls, human voices, and background noise, which we had previously recorded. For each type of sound, we then combined the recordings with natural silence to make a 7-min playback file consisting of a 2-min silent interval (adaptation period) + 3-min of sound (stimulation period) + a 2-min silent interval (follow-up observation period). In the playback experiments, a loudspeaker (M 300; Lang-qin, Shenzhen, China) was placed at a distance of 1 m from the birdcage, and the sound was broadcast at 50 dB SPL at 1 m (Digital Sound-Level Meter 322; Voltcraft, Hirschau, Germany).
Data collection and analysis
The experimental videos were reviewed to quantify the feeding behavior of each individual from the beginning of the stimulus to the end of the experiment, i.e., the 3-min stimulus period + a 2-min follow-up observation period under different stimulus types. We measured four behavioral variables, i.e., (1) feeding intention: we specified that the subject entering the nearest 1/8 volume area from the food box in the birdcage was considered to have feeding intention; (2) the presence of feeding behavior: the number of individuals exhibiting feeding behavior within specified periods under different stimulus types; (3) latency to feed: the amount of time (s) from the stimulus onset to the presence of the subject’s feeding behavior; and (4) number of feeding times: the number of times each subject took the food.
We performed all statistical analyses in R version 4.2.1 (https://www.r-project.org). We tested the differences in the feeding behavior of budgerigars under different types of predation risks and visual and acoustic stimuli using generalized linear mixed models (GLMMs, glmer in the R package lme4), where the behavioral variables (feeding intention, the presence of feeding behavior, latency to feed, and number of feeding times) were considered dependent variables. The different stimulus types were considered independent variables, and the identification numbers of the budgerigars were considered random variables. To assess the robustness of our results, we calculated both the marginal and conditional R2 values specific to the models (Nakagawa and Schielzeth 2012). In the case of significant differences in multiple comparisons, we then used the lsmeans function (lsmeans package in R) to make post hoc pairwise comparisons between different experimental groups. Because two-group comparisons after multiple comparisons will increase the probability of type I errors, we used the false discovery rate control in the lsmeans package to adjust P values. The significance level was set to 0.05. All data are presented as means ± SE.
Ethical approval
The experimental procedures were approved by the National Animal Research Authority in Northeast Normal University, China (Approval No. NENU-20080416). Behavioral experiments complied with the experimental animal management regulations of the People’s Republic of China (State Scientific and Technological Commission Decree [1988] No. 2) for the ethical treatment of animals and were in line with the ASAB/ABS Guidelines for the Use of Animals in Research. No budgerigars were injured or died during the research.
Results
Feeding intention and the presence of feeding behavior
The feeding intention exhibited a binomial distribution, and the frequency of individuals entering the 1/8th volume area closest to the food box was not significantly different between groups during the experiment (GLMMs, χ2 = 6.14, df = 7, P = 0.524); in other words, there was no significant difference in the feeding intention of budgerigars among different experimental treatments.
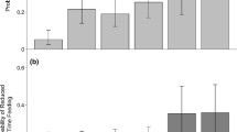
The frequency of displaying feeding behavior exhibited a binomial distribution, and it under different experimental treatments differed significantly (GLMMs, χ2 = 22.41, df = 7, conditional R2 = 0.284, marginal R2 = 0.141, P = 0.002; Fig. 1). The frequency of individuals showing feeding behavior was significantly lower in response to sparrowhawk calls than in response to background noise (adjusted P = 0.0011, Fig. 1), while there were no significant differences between the other experimental groups (adjusted P > 0.05 for all tests).
Latency to feed
The latency to feed of budgerigars had a Poisson distribution, and it differed significantly among different stimuli (GLMMs, χ2 = 4492.7, df = 7, conditional R2 = 0.984, marginal R2 = 0.290, P < 0.001; Fig. 2). When budgerigars were exposed to the sparrowhawk, domestic cat, or human in both dummy and playback experiments, latency to feed was significantly longer than with controls (adjusted P < 0.001). In dummy experiments, budgerigars responded most strongly to the human dummy model with the longest latency to feed (adjusted P < 0.001). In playback experiments, budgerigars exposed to sparrowhawk calls had the longest latency to feed, significantly longer than with domestic cat, human, and control sounds (sparrowhawk calls: 219.67 ± 21.15 s, domestic cat calls: 148.06 ± 24.36 s, human voices: 136.18 ± 23.64 s, and background noise: 70.73 ± 19.33 s, adjusted P < 0.001). In addition, the latency to feed of budgerigars exposed to sparrowhawk calls was significantly longer than after exposure to the sparrowhawk specimen (adjusted P < 0.001).
Number of feeding times
The number of feeding times of budgerigars exhibited a Poisson distribution, and it differed significantly among stimulus types (GLMMs, χ2 = 2475.5, df = 7, conditional R2 = 0.986, marginal R2 = 0.141, P < 0.001; Fig. 3). In dummy experiments, the number of feeding times was significantly lower when budgerigars were exposed to sparrowhawk, domestic cat, and human models than in the control group (adjusted P < 0.001). In playback experiments, the number of feeding times when budgerigars were exposed to sparrowhawk, domestic cat, and human sounds was significantly lower than with control stimuli (adjusted P < 0.001). Budgerigars were most sensitive to sparrowhawk calls among all stimulus types, and the number of feeding times when exposed to sparrowhawk calls was significantly lower than that associated with other stimuli (adjusted P < 0.001). The number of feeding times when exposed to human voices was significantly higher than with sparrowhawk or domestic cat calls (human voices: 100.27 ± 22.02, sparrowhawk calls: 45.67 ± 14.44, and domestic cat calls: 68.21 ± 17.32, adjusted P < 0.001).
Discussion
Our experiments demonstrated that budgerigars could perceive predation risk through visual or acoustic signals and adjust their feeding behavior according to the level of threat, thus supporting the threat-sensitivity hypothesis (Helfman 1989). This was in line with our first prediction. In this experiment, budgerigars were capable of discriminating the appearance and sound of the aerial predator (sparrowhawk) and the terrestrial predator (domestic cat), responding most strongly to the sparrowhawk calls. In nature, strong predation pressure may drive budgerigars to develop the ability to recognize and respond to predators. As raptors that primarily prey on small birds, sparrowhawks may pose a higher predation threat than domestic cats. Therefore, budgerigars may perceive a higher risk of predation from the sharp and loud calls of sparrowhawks. Previous studies have shown that domestic poultry are able to innately recognize aerial and terrestrial predators (Evans et al. 1993; Gyger et al. 1987; Palleroni et al. 2005). This suggests that although some bird species have undergone a long process of domestication, they likely maintain an innate ability to recognize predators, which may be related to the strong predation selection pressures they faced during their long evolutionary history (Lima and Dill 1990). In contrast, another study showed that the first generation of captive-bred birds rapidly lost their antipredator response and escape abilities compared with wild-caught birds (Carrete and Tella 2016). Therefore, to better understand these inconsistent findings, the ability of more domestic bird species to perceive predation should be explored in the future, which will help us to better understand the selective forces that influence their fitness.
Compared with predator sounds, budgerigars responded more weakly to the motionless predator specimen or model, contrary to our second prediction. The results of a study based on mallard ducklings born in an artificial environment were similar to those of our experiments, i.e., mallard ducklings showed stronger vigilance to the calls of predatory birds, whereas they did not react to still predator specimens (Dessborn et al. 2012). Although birds generally have good eyesight, captive-bred birds without previous experience with predators may not associate still predator specimens with predation risk (Carrete and Tella 2016; Dessborn et al. 2012). In addition, some bird species may have higher detection acuity for moving predators. For example, one study found that blue tits (Cyanistes caeruleus) exhibited lower feeding rates in response to moving sparrowhawk specimens than still ones (Carlson et al. 2017). In the future, the response of domesticated birds to moving predators should be further examined.
In line with our third prediction, budgerigars responded less strongly to human voices than to sparrowhawk or domestic cat calls. A possible reason is that budgerigars had lived in a human environment for a long time and might have become habituated to human voices. Thus, they may assess the threat level of humans as being low. A previous study found that scarlet macaws (Ara macao) showed lower fear of humans after release and often foraged in close proximity to humans (Brightsmith et al. 2005). In our experiment, the experimenters did not talk to the budgerigars, but before we purchased them at the pet market, they may have been exposed to and become accustomed to human voices, which may have caused their low-intensity response to human voices. However, compared with the sparrowhawk specimen and the domestic cat model, budgerigars showed decreased feeding behavior when confronted with the human dummy model. Although we hypothesized that contact between experimenters and budgerigars during the rearing period could lead to a decrease in their fear of humans, one study showed that visual contact with humans did not affect condition or physiological stress indicators in budgerigars (Price and Lill 2009). In the present experiment, this result was probably due to the unfamiliar human dummy model being chosen instead of the budgerigars’ keeper. Previous studies have shown that red junglefowl chicks that engage in frequent contact (e.g., being hugged and talked to) with an experimenter are more likely to approach the experimenter than a stranger (Rubene and Løvlie 2021). Moreover, predator size affects the intensity of prey anti-predatory behavior, and the prey often must react more quickly to avoid larger predators (Preisser and Orrock 2012; Templeton et al. 2005). Accordingly, budgerigars might have perceived the human dummy model as a novel large predator and showed stronger feeding avoidance responses than toward the smaller sparrowhawk and domestic cat models.
In addition, no significant difference was found in the feeding intention of budgerigars under different forms of predation risk, probably because the budgerigars were in a lightly starved state during the experiment. Most of the subjects approached the food box during the first 2 min of the adaptation period and displayed feeding behavior. When stimulation began, most budgerigars remained in a state of alertness and avoided movements, often staying near the food box, and thus, we judged that they had the intention to take food. Similar results were recorded for other parrot species that also decreased their movements faced with the presentation of a predator-like model (Paulino et al. 2018). At that moment, budgerigars adjusted their feeding behavior according to the level of predation risk. Therefore, the differences in the number of individuals showing feeding behavior, latency to feed, and the number of feeding times under different stimulus types can truly reflect the discrimination of different levels of predation risk by budgerigars.
In this study, there were large differences in feeding behavior among individuals, even under the same stimulus type, a result that may be related to the personality traits of individuals, especially exploration and boldness (Medina-García et al. 2017). Some studies have indicated that personality can influence the exploratory and anti-predator behaviors of birds (Paulino et al. 2018). By increasing exploration, bolder individuals may expose themselves to more risk from predators. In contrast, shy individuals behave more warily in the presence of predators. In addition, antipredator behavior in birds may be sex-linked, with males showing greater vigilance than females in birds with sexual dimorphism (Dávila et al. 2019). Further research is required to test the effects of domestic birds’ personality and sex on their anti-predator behavior.
In summary, we have shown that domestic budgerigars can recognize predation risk through visual or acoustic signals and adjust their feeding behavior accordingly. Budgerigars responded more strongly to predator sounds than appearance, probably because of their weak ability to recognize still predator specimens. In addition, the results of the present study suggest that domestication processes can lead to birds becoming habituated to humans, exhibiting a lower level of alertness to humans. Future studies should determine whether domestication history affects the predator avoidance behavior of birds.
Availability of data and materials
The data can be downloaded from the supplementary files and the materials are available from the corresponding authors upon reasonable request.
References
Agnvall B, Jensen P (2016) Effects of divergent selection for fear of humans on behaviour in Red Junglefowl. PLoS ONE 11:e0166075. https://doi.org/10.1371/journal.pone.0166075
Akçay Ç, Clay A, Campbell SE, Beecher MD (2016) The sparrow and the hawk: aggressive signaling under risk of predation. Behav Ecol 27:601–607. https://doi.org/10.1093/beheco/arv196
Arteaga-Torres JD, Wijmenga JJ, Mathot KJ (2020) Visual cues of predation risk outweigh acoustic cues: a field experiment in black-capped chickadees. P Roy Soc B-Biol Sci 287:20202002. https://doi.org/10.1098/rspb.2020.2002
Bartmess-LeVasseur J, Branch CL, Browning SA, Owens JL, Freeberg TM (2010) Predator stimuli and calling behavior of Carolina chickadees (Poecile carolinensis), tufted tit-mice (Baeolophus bicolor), and white-breasted nutha-tches (Sitta carolinensis). Behav Ecol Sociobiol 64:1187–1198. https://doi.org/10.1007/s00265-010-0935-y
Beckerman AP, Boots M, Gaeston KJ (2007) Urban bird declines and the fear of cats. Anim Conserv 10:320–325. https://doi.org/10.1111/j.1469-1795.2007.00115.x
Billings AC, Greene E, Jensen SMDLL (2015) Are chickadees good listeners? Antipredator responses to raptor vocalizations. Anim Behav 110:1–8. https://doi.org/10.1016/j.anbehav.2015.09.004
Book DL, Freeberg TM (2015) Titmouse calling and foraging are affected by head and body orientation of cat predator models and possible experience with real cats. Anim Cogn 18:1155–1164. https://doi.org/10.1007/s10071-015-0888-7
Brightsmith D, Hilburn J, Del Campo A, Boyd J, Frisius M, Frisius R, Janik D, Guillen F (2005) The use of hand-raised psittacines for reintroduction: a case study of scarlet macaws (Ara macao) in Peru and Costa Rica. Biol Conserv 121:465–472. https://doi.org/10.1016/j.biocon.2004.05.016
Campler M, Jöngren M, Jensen P (2009) Fearfulness in red junglefowl and domesticated White Leghorn chickens. Behav Process 81:39–43. https://doi.org/10.1016/j.beproc.2008.12.018
Carlson NV, Pargeter HM, Templeton CN (2017) Sparrowhawk movement, calling, and presence of dead conspecifics differentially impact blue tit (Cyanistes caeruleus) vocal and behavioral mobbing responses. Behav Ecol Sociobiol 71:133. https://doi.org/10.1007/s00265-017-2361-x
Caro T (2005) Antipredator defenses in birds and mammals. University of Chicago Press, Chicago, p 592
Carrete M, Tella JL (2016) Rapid loss of antipredatory behaviour in captive-bred birds is linked to current avian invasions. Sci Rep-UK 5:1–8. https://doi.org/10.1038/srep18274
Chaib S, Ljungholm M, Lind O, Kelber A (2019) Single target acuity is not higher than grating acuity in a bird, the budgerigar. Vision Res 160:37–42. https://doi.org/10.1016/j.visres.2019.04.005
Congdon JV, Hahn AH, Campbell KA, Scully EN, Yip DA, Bayne EM, Sturdy CB (2021) Can you hear me now? The effect of signal degradation on perceived predator threat in black-capped chickadees (Poecile atricapillus). Anim Cogn 24:193–204. https://doi.org/10.1007/s10071-020-01433-9
Courchamp F, Chapuis JL, Pascal M (2003) Mammal invaders on islands: imp-act, control and control impact. Biol Rev 78:347–383. https://doi.org/10.1017/s1464793102006061
Crowley SL, Cecchetti M, McDonald RA (2020) Our wild companions: domestic cats in the Anthropocene. Trends Ecol Evol 35:477–483. https://doi.org/10.1016/j.tree.2020.01.008
Dávila SG, Cuenca OT, Gil MG, Toledano-Díaz OA, Castaño C, Santiago-Moreno J, Campo JL (2019) Anti-predator behavior in pure and hybrid red-legged partridges. Poultry Sci 8:3085–3092. https://doi.org/10.3382/ps/pez075
Dessborn L, Englund G, Elmberg J, Arzél C (2012) Innate responses of mallard ducklings towards aerial, aquatic and terrestrial predators. Behaviour 149:1299–1317. https://doi.org/10.1163/1568539x-00003014
Duré Ruiz NM, Fasanella M, Fernández GJ (2018) Breeding southern house wrens exhibit a threat-sensitive response when exposed to different predator models. J Ethol 36:43–53. https://doi.org/10.1007/s10164-017-0528-6
Evans CS, Evans L, Marler P (1993) On the meaning of alarm calls: functional reference in an avian vocal system. Anim Behav 46:23–38. https://doi.org/10.1006/anbe.1993.1158
Fardell LL, Pavey CR, Dickman CR (2023) Influences of roaming domestic cats on wildlife activity in patchy urban environments. Front Ecol Evol 11:23355. https://doi.org/10.3389/fevo.2023.1123355
Fishbein AR (2022) Auditory pattern discrimination in budgerigars (Melopsittacs undulatus). Behav Process 202:104742. https://doi.org/10.1016/j.beproc.2022.104742
Franzone V, Ramos GDAP, Lima Kascher LK, Azevedo CS, Sant’ Anna AC (2022) Flight capacity and human aversion in captive Amazon parrots: related factors and the effects of pre-releasing training. Appl Anim Behav Sci 256:105772. https://doi.org/10.1016/j.applanim.2022.105772
Freeberg TM, Krama T, Vrublevska J, Krams I, Kullberg C (2014) Tufted titmouse (Baeolophus bicolor) calling and risk-sensitive foraging in the face of threat. Anim Cogn 17:1341–1352. https://doi.org/10.1007/s10071-014-0770-z
Freeberg TM, Book DL, Weiner RL (2016) Foraging and calling behavior of Carolina chickadees (Poecile carolinensis) in response to the head orientation of potential Predators. Ethology 122:10–19. https://doi.org/10.1111/eth.12438
Geffroy B, Sadoul B, Putman BJ, Berger-Tal O, Garamszegi LZ, Møller AP, Blumstein DT (2020) Evolutionary dynamics in the Anthropocene: Life history and intensity of human contact shape antipredator responses. PLOS Biol 18:e3000818. https://doi.org/10.1371/journal.pbio.3000818
Gyger M, Marler P, Pickert R (1987) Semantics of an avian alarm call system: the male domestic fowl, Gallus domesticus. Behaviour 102:15–40. https://doi.org/10.1163/156853986x00027
Helfman GS (1989) Threat-sensitive predator avoidance in damselfish-trumpetfih interactions. Behav Ecol Sociobiol 24:47–58. https://doi.org/10.1007/bf00300117
Hettena AM, Munoz N, Blumstein DT (2014) Prey responses to predator’s sou-nds: a review and empirical study. Ethology 120:427–452. https://doi.org/10.1111/eth.12219
Hunter L (2015) Wild cats of the world. Bloomsbury, London, UK
Jolly CJ, Phillips BL (2021) Rapid evolution in predator-free conservation havens and its effects on endangered species recovery. Conserv Biol 35:383–385. https://doi.org/10.1111/cobi.13521
Lima SL (1998) Stress and decision making under the risk of predation: recent developments from behavioral, reproductive, and ecological perspectives. Adv Stud Behav 27:215–290. https://doi.org/10.1016/S0065-3454(08)60366-6
Lima SL, Bednekoff PA (1999) Temporal variation in danger drives antipredator behavior: the predation risk allocation hypothesis. Am Nat 153:649–659. https://doi.org/10.1086/303202
Lima SL, Dill LM (1990) Behavioral decisions made under the risk of predation: a review and prospectus. Can J Zool 68:619–640. https://doi.org/10.1139/z90-092
Medina-García A, Jawor JM, Wright TF (2017) Cognition, personality, and stress in budgerigars, Melopsittacus undulatus. Behav Ecol 28:1504–1516. https://doi.org/10.1093/beheco/arx116
Murphy BP, Woolley LA, Geyle HM, Legge SM, Palmer R, Dickman CR, Augusteyn J, Brown SC, Comer S, Doherty TS, Eager C, Edwards G, Fordham DA, Harley D, McDonald PJ, McGregor H, Moseby KE, Myers C, Read J, Riley J, Stokeld D, Trewella GJ, Turpin JM, Woinarski JCZ (2019) Introduced cats (Felis catus) eating a continental fauna: the number of mammals killed in Australia. Biol Conserv 237:28–40. https://doi.org/10.1016/j.biocon.2019.06.013
Nakagawa S, Schielzeth H (2012) A general and simple method for obtaining R2 from generalized linear mixed-effects models. In: Ellison A, Cooper N, Lecomte N, Qiao H (eds) Methods in Ecology and Evolution, British Ecological Society, pp: 133–142. https://doi.org/10.1111/j.2041-210x.2012.00261.x
Palleroni A, Hauser M, Marler P (2005) Do responses of galliform birds vary adaptively with predator size? Anim Cogn 8:200–210. https://doi.org/10.1007/s10071-004-0250-y
Paulino R, Nogueira-Filho SLG, Cunha Nogueira SS (2018) The role of individual behavioral distinctiveness in exploratory and anti-predatory behaviors of red-browed Amazon parrot (Amazona rhodocorytha) during pre-release t-raining. Appl Anim Behav Sci 205:107–114. https://doi.org/10.1016/j.applanim.2018.05.023
Polverino G, Manciocco A, Alleva E (2012) Effects of spatial and social restrictions on the presence of stereotypies in the budgerigar (Melopsittacus undulatus): a pilot study. Ethol Ecol Evol 24:39–53. https://doi.org/10.1080/03949370.2011.582045
Preisser EL, Orrock JL (2012) The allometry of fear: interspecific relationships between body size and response to predation risk. Ecosphere 3:1–27. https://doi.org/10.1890/es12-00084.1
Price M, Lill A (2009) Visual contact with humans and condition in domestica-ted Budgerigars. Avian Biol Res 2:221–228. https://doi.org/10.3184/175815509X12570987029270
Ramos GAP, Azevedo CS, Lovestain DDC, Jardim THA, Sant’ Anna AC (2021) Is individual temperament related to behaviors in a social context for a Neotropical parakeet species? Appl Anim Behav Sci 243:379–391. https://doi.org/10.1016/j.applanim.2021.105455
Rubene D, Løvlie H (2021) Red junglefowl chicks seek contact with humans during foraging task. Front Psychol 12:675526. https://doi.org/10.3389/fpsyg.2021.675526
Sinclair ARE, Mduma S, Brashares JS (2003) Patterns of predation in a diverse predator-prey system. Nature 425:288–290. https://doi.org/10.1038/nature01934
Smith ME, Belk MC (2001) Risk assessment in western mosquitofish (Gambusia affinis): do multiple cues have additive effects? Behav Ecol Sociobiol 51:101–107. https://doi.org/10.1007/s002650100415
Templeton CN, Greene E, Davis K (2005) Allometry of alarm calls: black-capped chickadees encode information about predator size. Science 308:1934–1937. https://doi.org/10.1126/science.1108841
Tryjanowski P, Morelli F, Skórka P, Goławski A, Pape IP, Møller AP, Mitrus C, Wysocki D, Zduniak P (2015) Who started first? Bird species visiting novel bird feeders. Sci Rep-UK 5:11858. https://doi.org/10.1038/srep11858
Turney S, Godin JGJ (2014) To forage or hide? Threat-sensitive foraging behaviour in wild, non-reproductive passerine birds. Curr Zool 60:719–728. https://doi.org/10.1093/czoolo/60.6.719
Acknowledgements
This work was supported by the Natural Science Foundation of Jilin Province, China (No. 20230101160JC to L. J. and No. YDZJ202201ZYTS434 to J. Y.), and the National Natural Science Foundation of China (No. 32001094).
Author information
Authors and Affiliations
Contributions
CW: formal analysis, writing-original draft. XZ, BT, and JP: investigation, data curation. HW: resources, supervision. JY and LJ: conceptualization, methodology, writing-review and editing, funding acquisition.
Corresponding authors
Ethics declarations
Conflict of interest
We declare that all authors have no competing interests.
Ethical approval
The experimental procedures were approved by the National Animal Research Authority at Northeast Normal University, China (Approval No. NENU-20080416). Behavioral experiments complied with the experimental animal management regulations of the People’s Republic of China (State Scientific and Technological Commission Decree [1988] No. 2) for the ethical treatment of animals and were in line with the ASAB/ABS Guidelines for the Use of Animals in Research.
Additional information
Publisher's Note
Springer Nature remains neutral with regard to jurisdictional claims in published maps and institutional affiliations.
Supplementary Information
Below is the link to the electronic supplementary material.
Rights and permissions
Open Access This article is licensed under a Creative Commons Attribution 4.0 International License, which permits use, sharing, adaptation, distribution and reproduction in any medium or format, as long as you give appropriate credit to the original author(s) and the source, provide a link to the Creative Commons licence, and indicate if changes were made. The images or other third party material in this article are included in the article's Creative Commons licence, unless indicated otherwise in a credit line to the material. If material is not included in the article's Creative Commons licence and your intended use is not permitted by statutory regulation or exceeds the permitted use, you will need to obtain permission directly from the copyright holder. To view a copy of this licence, visit http://creativecommons.org/licenses/by/4.0/.
About this article
Cite this article
Wang, C., Zhao, X., Tao, B. et al. Do domestic budgerigars perceive predation risk?. Anim Cogn 27, 8 (2024). https://doi.org/10.1007/s10071-024-01847-9
Received:
Revised:
Accepted:
Published:
DOI: https://doi.org/10.1007/s10071-024-01847-9





