Skip to main content

Individual strategies and release site features determine the extent of deviation in clock-shifted pigeons at familiar sites

Abstract

When homing from familiar areas, homing pigeons are able to exploit previously acquired topographical information, but the mechanisms behind this ability are still poorly understood. One possibility is that they recall the familiar release site topographical features in association with the home direction (site-specific compass orientation strategy), another that the spatial relationships among landmarks guide their route home (piloting strategy), without relying on the compass mechanism. The two strategies can be put in conflict by releasing clock-shifted birds at familiar locations, in order to highlight which is preferred. We analysed GPS tracks of clock-shifted pigeons, with familiarity controlled at each of three different release sites, and we observed that pigeons can display individual preferences for one of the two orientation strategies and that some characteristic features of the release site have an important role in determining the level of landmark-based homeward orientation.

This is a preview of subscription content, access via your institution.

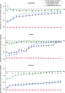
Fig. 1
Fig. 2
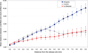
Fig. 3
Fig. 4
Fig. 5

References

  • Alyan S, Jander R (1994) Short-range homing in the house mouse, Mus musculus: stages in the learning of directions. Anim Behav 48:285–298

    Article  Google Scholar 

  • Benvenuti S, Fiaschi V, Fiore L, Papi F (1973) Homing performances of inexperienced and directionally trained pigeons subjected to olfactory nerve section. J Comp Physiol 83:81–92

    Article  Google Scholar 

  • Bingman VP, Ioalè P (1989) Initial orientation of anosmic homing pigeons based on information gathered at familiar release sites remains homeward directed following clock-shift. Behaviour 110:1–4

    Article  Google Scholar 

  • Biro D, Guilford T, Dawkins MS (2003) Mechanisms of visually mediated site recognition by the homing pigeon. Anim Behav 65:115–122

    Article  Google Scholar 

  • Biro D, Freeman R, Meade J, Roberts S, Guilford T (2007) Pigeons combine compass and landmark guidance in familiar route navigation. Proc Natl Acad Sci 104:7471–7476

    CAS  PubMed  Article  Google Scholar 

  • Bonadonna F, Holland R, Dall’Antonia L, Guilford T, Benvenuti S (2000) Tracking clock-shifted homing pigeons from familiar release sites. J Exp Biol 203:207–212

    Google Scholar 

  • Braithwaite VA, Guilford T (1991) Previewing familiar landscapes affect pigeon homing. Proc R Soc Lond B 245:183–186

    Article  Google Scholar 

  • Cartwright BA, Collett TS (1982) How honey bees use landmarks to guide their return to a food source. Nature 295:560–564

    Article  Google Scholar 

  • Cartwright BA, Collett TS (1983) Landmark learning in bees: experiment and models. J Comp Physiol A 151:521–543

    Article  Google Scholar 

  • Collett TS, Land MF (1975) Visual spatial memory in a hoverfly. J Comp Physiol A 100:59–84

    Article  Google Scholar 

  • Dawkins MS, Woodington A (2000) Pattern recognition and active vision in chickens. Nature 403:652–655

    CAS  PubMed  Article  Google Scholar 

  • Etienne AS, Jeffery JK (2004) Path integration in mammals. Hippocampus 14:180–192

    PubMed  Article  Google Scholar 

  • Etienne AS, Teroni E, Portenier V, Hurni C (1990) The effect of a single light cue on homing behaviour of the golden hamster. Anim Behav 39:17–41

    Article  Google Scholar 

  • Foà A, Albonetti E (1980) Does familiarity with the release site influence the initial orientation of homing pigeons? Experiments with clock-shifted birds. Z Tierpsychol 54:327–338

    Article  Google Scholar 

  • Füller E, Kowalski U, Wiltschko R (1983) Orientation of homing pigeons: compass orientation vs piloting by familiar landmarks. J Comp Physiol 153:55–58

    Article  Google Scholar 

  • Gagliardo A, Ioalè P, Bingman VP (1999) Homing in pigeons: the role of the hippocampal formation in the representation of landmarks used for navigation. J Neurosci 19:311–315

    CAS  PubMed  Google Scholar 

  • Gagliardo A, Odetti F, Ioalè P (2001) Relevance of visual cues for orientation at familiar sites by homing pigeons: an experiment in a circular arena. Proc R Soc Lond B 268:2065–2070

    CAS  Article  Google Scholar 

  • Gagliardo A, Odetti F, Ioalè P, Bingman VP, Tuttle S, Vallortigara G (2002) Bilateral participation of the hippocampus in familiar landmark navigation by homing pigeons. Behav Brain Res 136:201–209

    PubMed  Article  Google Scholar 

  • Gagliardo A, Ioalè P, Odetti F, Kahn MC, Bingman VP (2004) Hippocampal lesions do not disrupt navigational map retention in homing pigeons under conditions when map acquisition is hippocampal dependent. Behav Brain Res 153:35–42

    PubMed  Article  Google Scholar 

  • Gagliardo A, Odetti F, Ioalè P (2005) Factors reducing the expected deflection in initial orientation in clock-shifted homing pigeons. J Exp Biol 208:469–478

    PubMed  Article  Google Scholar 

  • Gagliardo A, Ioalè P, Savini M, Dell’Omo G, Bingman PV (2009a) Hippocampal-dependent familiar area map supports corrective re-orientation following navigational error during pigeon homing: a GPS-tracking study. Eur J Neurosci 29:2389–2400

    PubMed  Article  Google Scholar 

  • Gagliardo A, Savini M, De Santis A, Dell’Omo G, Ioalè P (2009b) Re-orientation in clock-shifted homing pigeons subjected to a magnetic disturbance: a study with GPS data loggers. Behav Ecol Sociobiol 64:289–296

    Article  Google Scholar 

  • Graham P, Cheng K (2009a) Which portion of the natural panorama is used for view-based navigation in the Australian desert ant? J Comp Physiol A 195:681–689

    Article  Google Scholar 

  • Graham P, Cheng K (2009b) Ants use panoramic skyline as a visual cue during navigation. Curr Biol 19:R935–R937

    CAS  PubMed  Article  Google Scholar 

  • Güntürkün O (1997) Avian visual lateralization: a review. NeuroReport 8:3–11

    Google Scholar 

  • Holland RA (2003) The role of visual landmarks in the avian familiar area map. J Exp Biol 206:1773–1778

    PubMed  Article  Google Scholar 

  • Holland R, Bonadonna F, Dall’Antonia L, Benvenuti S, Burt de Pereira T, Guilford T (2000) Short distance phase shifts revisited: tracking clock-shifted homing pigeons (Rock Dove Columba livia) close to the loft. Ibis 142:111–118

    Article  Google Scholar 

  • Hough GE, Bingman PV (2004) Spatial response properties of homing pigeon hippocampal neurons: correlations with goal locations, movement between goals, and environmental context in a radial-arm arena. J Comp Physiol 190:1047–1062

    Article  Google Scholar 

  • Kohler M, Wehner R (2005) Idiosyncratic route-based memories in desert ants, Melophorus bagoti: how do they interact with path-integration vectors? Neurobiol Learn Mem 83:1–12

    PubMed  Article  Google Scholar 

  • Lipp H-P, Vyssotski AL, Wolfer DP, Renaudineau S, Savini M, Tröster G, Dell’Omo G (2004) Pigeon homing along highways and exits. Curr Biol 14:1239–1249

    CAS  PubMed  Article  Google Scholar 

  • Meade J, Biro D, Guilford T (2005) Homing pigeons develop local route stereotypy. Proc R Soc Lond B 272:17–23

    Article  Google Scholar 

  • Meade J, Biro D, Guilford T (2006) Route recognition in the homing pigeon, Columba livia. Anim Behav 72:975–980

    Article  Google Scholar 

  • Mora CV, Ross JD, Gorsevki PV, Chowdhury B, Bingman VP (2012) Evidence for discrete landmark use by pigeons during homing. J Exp Biol 215:3379–3387

    PubMed  Article  Google Scholar 

  • Nicholson DJ, Judd SPD, Cartwright BA, Collett TS (1999) Learning walks and landmark guidance in wood ants, Formica rufa. J Exp Biol 202:1831–1838

    PubMed  Google Scholar 

  • Papi F, Ioalè P, Dall’Antonia P, Benvenuti S (1991) Homing strategies of pigeons investigated by clock shift and flight path reconstruction. Naturwiss 78:370–373

    Article  Google Scholar 

  • Schmidt-Koenig K (1990) The sun compass. Experientia 46:336–342

    Article  Google Scholar 

  • Schmidt-Koenig K, Schlichte HJ (1972) Homing in pigeon with impaired vision. Proc Natl Acad Sci 69:2446–2447

    CAS  PubMed  Article  Google Scholar 

  • Wallraff HG (1974) The effect of directional experience on initial orientation of pigeons. Auk 91:24–34

    Article  Google Scholar 

  • Wallraff HG (2005) Avian Navigation: pigeon homing as a paradigm. Springer, Berlin

    Google Scholar 

  • Wallraff HG, Chappell J, Guilford T (1999) The roles of the sun and the landscape in pigeon homing. J Exp Biol 202:2121–2126

    PubMed  Google Scholar 

  • Wehner R (1998) Navigation in context: grand theories and basic mechanisms. J Avian Biol 29:370–386

    Article  Google Scholar 

  • Wehner R, Muller M (2010) Piloting in desert ants: pinpointing the goal by discrete landmarks. J Exp Biol 213:4174–4179

    PubMed  Article  Google Scholar 

  • Wehner R, Bleuer S, Nievergelt C, Shah D (1990) Bees navigate by using vectors and routes rather than maps. Naturwiss 77:479–482

    Article  Google Scholar 

  • Wehner R, Michel B, Antonsen P (1996) Visual navigation in insects: coupling egocentric and geocentric information. J Exp Biol 199:129–140

    PubMed  Google Scholar 

  • Wiltschko R, Wiltschko W (2001) Clock-shift experiments with homing pigeons: a compromise between solar and magnetic information? Behav Ecol Sociobiol 49:393–400

    Article  Google Scholar 

  • Wiltschko W, Wiltschko R, Keeton WT (1976) Effects of a “permanent” clock-shift on the orientation of young homing pigeons. Behav Ecol Sociobiol 1:229–243

    Article  Google Scholar 

  • Wiltschko R, Kumpfmuller R, Muth R, Wiltschko W (1994) Pigeon homing: the effect of a clock-shift is often smaller than predicted. Behav Ecol Sociobiol 35:63–73

    Article  Google Scholar 

  • Wiltschko R, Siegmund B, Stapput K (2005) Navigational strategies of homing pigeons at familiar sites: do landmarks reduce the deflections induced by clock-shifting? Behav Ecol Sociobiol 59:303–312

    Article  Google Scholar 

Download references

Acknowledgments

We thank Fabio Chini, Andrea Guidi for their help in taking care of the pigeons, and Daniele Santerini and Resi Mencacci for their help in preparing the figures.

Author information

Affiliations

Authors

Corresponding author

Correspondence to Anna Gagliardo.

Electronic supplementary material

Below is the link to the electronic supplementary material.

Supplementary material 1 (DOC 66 kb)

Supplementary material 2 (TIFF 1927 kb)

Rights and permissions

Reprints and Permissions

About this article

Cite this article

Filannino, C., Armstrong, C., Guilford, T. et al. Individual strategies and release site features determine the extent of deviation in clock-shifted pigeons at familiar sites. Anim Cogn 17, 33–43 (2014). https://doi.org/10.1007/s10071-013-0635-x

Download citation

  • Received:

  • Revised:

  • Accepted:

  • Published:

  • Issue Date:

  • DOI: https://doi.org/10.1007/s10071-013-0635-x

Keywords

  • Sun compass
  • Landmarks
  • Homing pigeons