Abstract
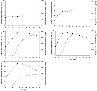
Bacteria from the Propionibacterium genus were cocktailed to investigate growth and production of propionic acid at different temperatures and pH levels. A gas chromatograph with a flame ionization detector was also used for instrumental analysis. The Propionibacterium cocktails did not produce propionic acid at 10 and 20 °C for 10 days, but produced propionic acid at concentrations of 3265.32, 3670.76, and 1926.04 μg/mL at 25, 30, and 40 °C for 18 days, respectively. In pH tests, the cocktails did not produce propionic acid at pH 3 and 9 for 14 and 7 days, respectively. However, they produced propionic acid at concentrations of 2596.66, 2952.66, 3321.35, and 3586.95 μg/mL at pH 4, 5, 6, and 7 for 18 days, respectively. Growth characteristics of Propionibacterium cocktails by temperature and pH were set so that they reached the extinction stage after four days in the logarithmic phase.


Similar content being viewed by others
Explore related subjects
Discover the latest articles and news from researchers in related subjects, suggested using machine learning.References
Ahmadi N, Khosravi-Darani, K, Mortazavian, AM. An overview of biotechnological production of propionic acid: From upstream to downstream processes. Electronic Journal of Biotechnology. 28: 67-75 (2017)
Cho T, Shuler ML. Multimembrane bioreactor for extractive fermentation. Biotechnology Progress. 2: 53-60 (1986)
Coral J, Karp SG, de Souza Vandenberghe LP, Parada JL, Pandey A, Soccol CR. Batch fermentation model of propionic acid production by Propionibacterium acidipropionici in different carbon sources. Applied Biochemistry and Biotechnology. 151: 333-341 (2008)
Farhadi S, Khosravi‐Darani K, Mashayekh M, Mortazavian AM, Mohammadi A, Shahraz F. Production of propionic acid in a fermented dairy beverage. International Journal of Dairy Technology. 66: 127-134 (2013)
Feng X, Xu H, Yao J, Li S, Zhu H, Ouyang P. Kinetic analysis and pH-shift control strategy for propionic acid production with Propionibacterium freudenreichii CCTCC M207015. Applied Biochemistry and Biotechnology. 160: 343-349 (2010)
Forage RG. Effect of environment on microbial activity. Comprehensive Biotechnology. 1: 251-280 (1985)
Gonzalez-Garcia R, McCubbin T, Navone L, Stowers C, Nielsen L, Marcellin E. Microbial propionic acid production. Fermentation. 3: 21 (2017)
Himmi EH, Bories A, Boussaid A, Hassani L. Propionic acid fermentation of glycerol and glucose by Propionibacterium acidipropionici and Propionibacterium freudenreichii ssp. shermanii. Applied Microbiology and Biotechnology. 53: 435-440 (2000)
Hsu ST, Yang ST. Propionic acid fermentation of lactose by Propionibacterium acidipropionici: effects of pH. Biotechnology and Bioengineering. 38: 571-578 (1991)
Jang YM, Cho WJ, Chung YJ, Shin YW, Lee SM, Lee CH. The naturally occurring levels of food preservatives in raw materials and fermented foods, MFDS research report. (2010)
Jin HJ, Lim JY, Lee KI. The sentiment index of consumers about food safety and analysis for influential factors. Korean Consumer Agency. 45: 117-138 (2014)
Kim MC, Park HK, Hong JH, Lee, DY, Park JS. Studies on the naturally occurring benzoic acid in foods. Part (I)-Naturally occurring benzoic acid and sorbic acid on several plants used as teas or spices. Korean Journal of Food Science and Technology. 31: 1144-1152 (1999)
Kim CK, Eom SK, Kil HK, Lee MK. Comparison of Calibration Methods using External Standards and Internal Standards. Journal of Korean Society for Environmental Analysis. 12: 307-313 (2009)
Kim MK, Choi JC, Lee GY, Lim HS, Park SJ, Choi HJ. Monitoring of preservatives produced naturally in cereal grains, nuts and seeds, MFDS research report. (2016)
Koussémon M, Combet-Blanc Y, Ollivier B. Glucose fermentation by Propionibacterium microaerophilum: effect of pH on metabolism and bioenergetic. Current Microbiology. 46: 141-145 (2003)
Kumar S, Babu BV. A brief review on propionic acid: a renewal energy source. National Conference on Environmental Conservation (NCEC-2006) (2006)
Lee SH, Lee MY, Lim SR, Bae JH. Determination of amounts of benzoic acid and propionic acid in fermented soybean products. Korean Journal of Food Science and Technology. 45: 565-570 (2003)
Lee HJ, Ahn HJ, Kang CS, Choi JC, Choi HJ, Lee KG. Naturally occurring propionic acid in foods marketed in South Korea. Food Control. 21: 217-220 (2010)
Lim SD, Park MS, Kim KS, Yoo MY. Evaluation of benzoic acid level of fermented dairy products during fermentation. Korean Journal of Food Science and Technology. 33: 640-645 (2013)
Macy, J.M., Ljungdahl, L.G., Gottschalk, G., 1978. Pathway of succinatem and propionate formation in Bacteroides fragilis. Journal of Bacteriology. 134: 84-91.
Martínez-Campos R. de la Torre M. Production of propionate by fed-batch fermentation of Propionibacterium acidipropionici using mixed feed of lactate and glucose. Biotechnol Letters. 24: 427-431 (2002)
Ministry of food and drug safety (MFDS) Korean food additives codes, Standards and specifications of food additives (Notice 2019-31).
Ministry of food and drug safety (MFDS) Korean food additives codes, Standards and specifications of food additives (Notice 2020-59).
Oh JY, Kim YS, Shin DH. Changes in physicochemical characteristics of low-salted Kochujang with natural preservatives during fermentation. Korean Journal of Food Science and Technology. 34: 835-841 (2000)
Park HD, Chae JK, Ha SD. Analysis of Propionic acid Production in Joraengyi Rice Cake during Storage. Journal of Food Hygiene and Safety. 33: 483-487 (2018a)
Park HD, Chae JK, Ha SD. Genetic analysis of natural microflora in the stored Joraengyi rice cake and their capability of propionic acid production. Journal of Food Hygiene and Safety. 33: 375-382 (2018b)
Piwowarek K, Lipińska E, Hać-Szymańczuk E, Kieliszek M, Ścibisz I. Propionibacterium spp.—source of propionic acid, vitamin B12, and other metabolites important for the industry. Applied Microbiology and Biotechnology. 102: 515-538 (2018)
Playne MJ. Acidogenic fermentation of wastes to produce chemicals and liquid fuels. In: Proc. 1st ASEAN Workshop on Fermentation Technology, Kualalumpur, pp. 474-509 (1978)
Quesada‐Chanto A, Da Costa JPCL, Silveira MM, Schroeder AG, Schroeder AG, Schmid‐Meyer AC, Jonas R. Influence of different vitamin‐nitrogen sources on cell growth and propionic acid production from sucrose by Propionibacterium shermanii. Acta Biotechnology. 18: 267-274 (1998)
Ray B. Fundamental Food Microbiology (3rd ed.), Library of Congress, 227&488 (2004)
Ray B, Bhunia A. Fundamental food microbiology (4th ed.), Bioscience, pp. 73 (2013)
Roberto MC, Mayra T. Production of propionate by fed-batch fermentation of Propionibacterium acidipropionici using mixed feed of lactate and glucose. Biotechnol Letter. 24: 427-431 (2002)
Silliker JH. Microbial Ecology of Foods. Academic Press. (1980)
Son YJ, Chang MS, Jung SY, Shin JM, Kim NY, Lee JI. Monitoring of naturally occurring propionic acid in fermented food products, Report of S.I.H.E. 47: 3-10 (2011)
Walker M. Phillips CA. The growth of Propionibacterium cyclohexanicum in fruit juices and its survival following elevated temperature treatments. Food Microbiology. 4: 313-318 (2007)
Acknowledgements
This research was supported by the Chung-Ang University Research Scholarship Grants in 2021.
Funding
Funding was provided by The Chung-Ang University Research scholarship Grants in 2021.
Author information
Authors and Affiliations
Contributions
JKC Methodology, Data curation, Writing-Original draft preparation. SHH Investigation, Writing-Original draft preparation, Writing-Reviewing and Editing. DHK Methodology, Data curation. SHP Writing-Reviewing. SDH Conceptualization, Supervision, Funding acquisition.
Corresponding author
Ethics declarations
Conflict of interest
The authors declare that they have no known competing financial interests or personal relationships that could have appeared to influence the work reported in this paper.s
Additional information
Publisher's Note
Springer Nature remains neutral with regard to jurisdictional claims in published maps and institutional affiliations.
Rights and permissions
About this article
Cite this article
Chae, J.K., Han, S., Kim, D.H. et al. Growth characterization of Propionibacterium and propionic acid production capabilities at different temperatures and pH levels. Food Sci Biotechnol 31, 357–364 (2022). https://doi.org/10.1007/s10068-022-01038-7
Received:
Revised:
Accepted:
Published:
Issue Date:
DOI: https://doi.org/10.1007/s10068-022-01038-7


