Skip to main content

Association of neuropathic-like pain characteristics with clinical and radiographic features in patients with ankylosing spondylitis

Abstract

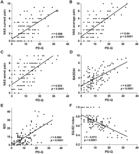
Ankylosing spondylitis (AS) is a chronic, progressive, and inflammatory disorder and causes chronic back pain. It is not unusual for patients with AS to have symptoms similar to neuropathic pain. We aimed to investigate the neuropathic pain (NeP) component in patients with AS using the painDETECT questionnaire (PD-Q) and to assess the relation between NeP and the disease characteristics of AS. A single-center prospective study was performed, including 105 patients. Patients with AS completed three questionnaires: PD-Q, Beck Depression Inventory (BDI), and Euro Quality of Life (EQ-5D) questionnaires. Patients were classified into three groups according to the PD-Q scores: nociceptive pain (NoP) (score ≤ 12), mixed pain (MP) (score 13–18), and NeP pain (score ≥ 19). Fifteen patients (14.2%) were classified into the NeP group, 22 (21.0%) in the MP group, and 68 (64.8%) in the NoP group. The questionnaires and clinical and radiographic findings were analyzed. Patients with NeP and MP scored worse on the Bath Ankylosing Spondylitis Disease Activity Index (BASDAI); BDI; modified Stoke Ankylosing Spondylitis Spine Score; pain-visual analog scale (VAS); and EQ-5L index and showed an increased prevalence of enthesitis and peripheral arthritis. There were no differences in objective inflammatory markers. PD-Q scores were positively correlated with pain-VAS, BASDAI, BDI, and inversely correlated with EQ-5D index. Age, BASDAI, presence of current enthesitis, and BDI score were independently associated with PD-Q scores. The findings showed that NeP component in AS was associated with age, high disease activity, presence of current enthesitis, and depression.

This is a preview of subscription content, access via your institution.

Fig. 1

References

  1. Campochiaro C, Caruso PF (2016) Ankylosing spondylitis and axial spondyloarthritis. N Engl J Med 375(13):1302. https://doi.org/10.1056/NEJMc1609622#SA1

    Article  PubMed  Google Scholar 

  2. Braun J, Sieper J (2007) Ankylosing spondylitis. Lancet 369(9570):1379–1390. https://doi.org/10.1016/S0140-6736(07)60635-7

    Article  PubMed  PubMed Central  Google Scholar 

  3. Wu Q, Inman RD, Davis KD (2013) Neuropathic pain in ankylosing spondylitis: a psychophysics and brain imaging study. Arthritis Rheum 65(6):1494–1503. https://doi.org/10.1002/art.37920

    Article  PubMed  Google Scholar 

  4. Classification of chronic pain. Descriptions of chronic pain syndromes and definitions of pain terms. Prepared by the International Association for the Study of Pain, Subcommittee on Taxonomy (1986). Pain Suppl 3:S1–226

  5. Nijs J, Apeldoorn A, Hallegraeff H, Clark J, Smeets R, Malfliet A, Girbes EL, De Kooning M, Ickmans K (2015) Low back pain: guidelines for the clinical classification of predominant neuropathic, nociceptive, or central sensitization pain. Pain Physician 18(3):E333–E346

    PubMed  Google Scholar 

  6. Finnerup NB, Haroutounian S, Kamerman P, Baron R, Bennett DL, Bouhassira D, Cruccu G, Freeman R, Hansson P, Nurmikko T, Raja SN, Rice AS, Serra J, Smith BH, Treede RD, Jensen TS (2016) Neuropathic pain: an updated grading system for research and clinical practice. Pain 157(8):1599–1606. https://doi.org/10.1097/j.pain.0000000000000492

    CAS  Article  PubMed  PubMed Central  Google Scholar 

  7. Schukro RP, Oehmke MJ, Geroldinger A, Heinze G, Kress HG, Pramhas S (2016) Efficacy of duloxetine in chronic low back pain with a neuropathic component: a randomized, double-blind, placebo-controlled crossover trial. Anesthesiology 124(1):150–158. https://doi.org/10.1097/ALN.0000000000000902

    CAS  Article  PubMed  Google Scholar 

  8. Freynhagen R, Baron R, Gockel U, Tolle TR (2006) painDETECT: a new screening questionnaire to identify neuropathic components in patients with back pain. Curr Med Res Opin 22(10):1911–1920. https://doi.org/10.1185/030079906X132488

    Article  PubMed  Google Scholar 

  9. Koop SM, ten Klooster PM, Vonkeman HE, Steunebrink LM, van de Laar MA (2015) Neuropathic-like pain features and cross-sectional associations in rheumatoid arthritis. Arthritis Res Ther 17:237. https://doi.org/10.1186/s13075-015-0761-8

    Article  PubMed  PubMed Central  Google Scholar 

  10. Gauffin J, Hankama T, Kautiainen H, Hannonen P, Haanpaa M (2013) Neuropathic pain and use of PainDETECT in patients with fibromyalgia: a cohort study. BMC Neurol 13:Artn 21. https://doi.org/10.1186/1471-2377-13-21

    Article  Google Scholar 

  11. Goransson LG, Herigstad A, Tjensvoll AB, Harboe E, Mellgren SI, Omdal R (2006) Peripheral neuropathy in primary sjogren syndrome: a population-based study. Arch Neurol 63(11):1612–1615. https://doi.org/10.1001/archneur.63.11.1612

    Article  PubMed  Google Scholar 

  12. Sene D, Jallouli M, Lefaucheur JP, Saadoun D, Costedoat-Chalumeau N, Maisonobe T, Diemert MC, Musset L, Haroche J, Piette JC, Amoura Z, Cacoub P (2011) Peripheral neuropathies associated with primary Sjogren syndrome: immunologic profiles of nonataxic sensory neuropathy and sensorimotor neuropathy. Medicine (Baltimore) 90(2):133–138. https://doi.org/10.1097/MD.0b013e31820fd2d1

    Article  Google Scholar 

  13. Sung JK, Choi JH, Jeong J, Kim WJ, Lee DJ, Lee SC, Kim YC, Moon JY (2017) Korean version of the painDETECT questionnaire: a study for cultural adaptation and validation. Pain Pract 17(4):494–504. https://doi.org/10.1111/papr.12472

    Article  PubMed  Google Scholar 

  14. van der Linden S, Valkenburg HA, Cats A (1984) Evaluation of diagnostic criteria for ankylosing spondylitis. A proposal for modification of the New York criteria. Arthritis Rheum 27(4):361–368

    Article  Google Scholar 

  15. Wolfe F, Clauw DJ, Fitzcharles MA, Goldenberg DL, Katz RS, Mease P, Russell AS, Russell IJ, Winfield JB, Yunus MB (2010) The American College of Rheumatology preliminary diagnostic criteria for fibromyalgia and measurement of symptom severity. Arthritis Care Res 62(5):600–610. https://doi.org/10.1002/acr.20140

    Article  Google Scholar 

  16. Beck AT, Ward CH, Mendelson M, Mock J, Erbaugh J (1961) An inventory for measuring depression. Arch Gen Psychiatry 4:561–571

    CAS  Article  Google Scholar 

  17. Durmus D, Sarisoy G, Alayli G, Kesmen H, Cetin E, Bilgici A, Kuru O, Unal M (2015) Psychiatric symptoms in ankylosing spondylitis: their relationship with disease activity, functional capacity, pain and fatigue. Compr Psychiatry 62:170–177. https://doi.org/10.1016/j.comppsych.2015.07.016

    Article  PubMed  Google Scholar 

  18. Obradovic M, Lal A, Liedgens H (2013) Validity and responsiveness of EuroQol-5 dimension (EQ-5D) versus Short Form-6 dimension (SF-6D) questionnaire in chronic pain. Health Qual Life Outcomes 11:110. https://doi.org/10.1186/1477-7525-11-110

    Article  PubMed  PubMed Central  Google Scholar 

  19. Rudwaleit M, Landewe R, Sieper J (2016) Ankylosing spondylitis and axial spondyloarthritis. N Engl J Med 375(13):1302–1303. https://doi.org/10.1056/NEJMc1609622#SA2

    Article  PubMed  Google Scholar 

  20. Latremoliere A, Woolf CJ (2009) Central sensitization: a generator of pain hypersensitivity by central neural plasticity. J Pain 10(9):895–926. https://doi.org/10.1016/j.jpain.2009.06.012

    Article  PubMed  PubMed Central  Google Scholar 

  21. Woolf CJ (2011) Central sensitization: implications for the diagnosis and treatment of pain. Pain 152(3 Suppl):S2–S15. https://doi.org/10.1016/j.pain.2010.09.030

    Article  Google Scholar 

  22. Almodovar R, Carmona L, Zarco P, Collantes E, Gonzalez C, Mulero J, Sueiro JL, Gratacos J, Torre-Alonso JC, Juanola X, Batlle E, Ariza R, Font P (2010) Fibromyalgia in patients with ankylosing spondylitis: prevalence and utility of the measures of activity, function and radiological damage. Clin Exp Rheumatol 28(6 Suppl 63):S33–S39

    CAS  PubMed  Google Scholar 

  23. Rifbjerg-Madsen S, Christensen AW, Christensen R, Hetland ML, Bliddal H, Kristensen LE, Danneskiold-Samsoe B, Amris K (2017) Pain and pain mechanisms in patients with inflammatory arthritis: a Danish nationwide cross-sectional DANBIO registry survey. PLoS One 12(7):e0180014. https://doi.org/10.1371/journal.pone.0180014

    CAS  Article  PubMed  PubMed Central  Google Scholar 

  24. Park DJ, Lee SS (2017) New insights into the genetics of fibromyalgia. Korean J Int Med 32(6):984–995. https://doi.org/10.3904/kjim.2016.207

    Article  Google Scholar 

  25. Ranganathan V, Gracey E, Brown MA, Inman RD, Haroon N (2017) Pathogenesis of ankylosing spondylitis—recent advances and future directions. Nat Rev Rheumatol 13(6):359–367. https://doi.org/10.1038/nrrheum.2017.56

    CAS  Article  PubMed  Google Scholar 

  26. Schett G, Lories RJ, D’Agostino MA, Elewaut D, Kirkham B, Soriano ER, McGonagle D (2017) Enthesitis: from pathophysiology to treatment. Nat Rev Rheumatol 13(12):731–741. https://doi.org/10.1038/nrrheum.2017.188

    CAS  Article  PubMed  Google Scholar 

  27. Costigan M, Scholz J, Woolf CJ (2009) Neuropathic pain: a maladaptive response of the nervous system to damage. Annu Rev Neurosci 32:1–32. https://doi.org/10.1146/annurev.neuro.051508.135531

    CAS  Article  PubMed  PubMed Central  Google Scholar 

  28. Chiu IM, von Hehn CA, Woolf CJ (2012) Neurogenic inflammation and the peripheral nervous system in host defense and immunopathology. Nat Neurosci 15(8):1063–1067. https://doi.org/10.1038/nn.3144

    CAS  Article  PubMed  PubMed Central  Google Scholar 

  29. Bidad K, Gracey E, Hemington KS, Mapplebeck JCS, Davis KD, Inman RD (2017) Pain in ankylosing spondylitis: a neuro-immune collaboration. Nat Rev Rheumatol 13(7):410–420. https://doi.org/10.1038/nrrheum.2017.92

    CAS  Article  PubMed  Google Scholar 

  30. Gibson SJ (2007) IASP global year against pain in older persons: highlighting the current status and future perspectives in geriatric pain. Expert Rev Neurother 7(6):627–635. https://doi.org/10.1586/14737175.7.6.627

    Article  PubMed  Google Scholar 

  31. Grashorn W, Sprenger C, Forkmann K, Wrobel N, Bingel U (2013) Age-dependent decline of endogenous pain control: exploring the effect of expectation and depression. PLoS One 8(9):e75629. https://doi.org/10.1371/journal.pone.0075629

    CAS  Article  PubMed  PubMed Central  Google Scholar 

  32. Jiang Y, Yang M, Lv Q, Qi J, Lin Z, Liao Z, Zhang Y, Wu H, Song H, Zhan F, Liu S, Gao G, Hu S, Li Y, Shen L, Huang A, Wei Q, Cao S, Gu J (2018) Prevalence of psychological disorders, sleep disturbance and stressful life events and their relationships with disease parameters in Chinese patients with ankylosing spondylitis. Clin Rheumatol 37(2):407–414. https://doi.org/10.1007/s10067-017-3907-z

    Article  PubMed  Google Scholar 

  33. Shen CC, Hu LY, Yang AC, Kuo BI, Chiang YY, Tsai SJ (2016) Risk of psychiatric disorders following ankylosing spondylitis: a nationwide population-based retrospective cohort study. J Rheumatol 43(3):625–631. https://doi.org/10.3899/jrheum.150388

    Article  PubMed  Google Scholar 

  34. Berk M, Williams LJ, Jacka FN, O’Neil A, Pasco JA, Moylan S, Allen NB, Stuart AL, Hayley AC, Byrne ML, Maes M (2013) So depression is an inflammatory disease, but where does the inflammation come from? BMC Med 11:Artn 200. https://doi.org/10.1186/1741-7015-11-200

    CAS  Article  Google Scholar 

  35. Bagnato G, De Andres I, Sorbara S, Verduci E, Corallo G, Ferrera A, Morgante S, Roberts WN Jr, Bagnato G (2015) Pain threshold and intensity in rheumatic patients: correlations with the Hamilton depression rating scale. Clin Rheumatol 34(3):555–561. https://doi.org/10.1007/s10067-013-2477-y

    Article  PubMed  Google Scholar 

  36. Doan L, Manders T, Wang J (2015) Neuroplasticity underlying the comorbidity of pain and depression. Neural Plasticity 2015:504691. https://doi.org/10.1155/2015/504691

    CAS  Article  PubMed  PubMed Central  Google Scholar 

  37. Bodur H, Ataman S, Rezvani A, Bugdayci DS, Cevik R, Birtane M, Akinci A, Altay Z, Gunaydin R, Yener M, Kocyigit H, Duruoz T, Yazgan P, Cakar E, Aydin G, Hepguler S, Altan L, Kirnap M, Olmez N, Soydemir R, Kozanoglu E, Bal A, Sivrioglu K, Karkucak M, Gunendi Z (2011) Quality of life and related variables in patients with ankylosing spondylitis. Qual Life Res Int J Qual Life Asp Treat Care Rehabil 20(4):543–549. https://doi.org/10.1007/s11136-010-9771-9

    Article  Google Scholar 

  38. Turan Y, Duruoz MT, Cerrahoglu L (2007) Quality of life in patients with ankylosing spondylitis: a pilot study. Rheumatol Int 27(10):895–899. https://doi.org/10.1007/s00296-007-0315-8

    Article  PubMed  Google Scholar 

  39. Hoeksema L, Los LI (2016) Vision-related quality of life in patients with inactive HLA-B27-associated-spectrum anterior uveitis. PLoS One 11(1):e0146956. https://doi.org/10.1371/journal.pone.0146956

    CAS  Article  PubMed  PubMed Central  Google Scholar 

  40. Yildirim T, Solmaz D, Emul M, Akgol G, Yalvac D, Ersoy Y (2017) Affective temperament profile in ankylosing spondylitis patients using TEMPS-A. J Phys Ther Sci 29(3):394–400. https://doi.org/10.1589/jpts.29.394

    Article  PubMed  PubMed Central  Google Scholar 

  41. Chan CYY, Tsang HHL, Lau CS, Chung HY (2017) Prevalence of depressive and anxiety disorders and validation of the hospital anxiety and depression scale as a screening tool in axial spondyloarthritis patients. Int J Rheum Dis 20(3):317–325. https://doi.org/10.1111/1756-185x.12456

    Article  PubMed  Google Scholar 

Download references

Acknowledgments

The authors received no financial support for the research, authorship, and/or publication of this article.

Author information

Affiliations

Authors

Corresponding author

Correspondence to Kyung-Ann Lee.

Ethics declarations

This study was conducted in compliance with the Helsinki Declaration to protect human subjects and was approved by the Institutional Review Board for Human Research, Konkuk University Medical Center (KUH Number 1010831). Written consent was obtained from all participants.

Disclosures

None.

Rights and permissions

Reprints and Permissions

About this article

Verify currency and authenticity via CrossMark

Cite this article

Choi, JH., Lee, SH., Kim, HR. et al. Association of neuropathic-like pain characteristics with clinical and radiographic features in patients with ankylosing spondylitis. Clin Rheumatol 37, 3077–3086 (2018). https://doi.org/10.1007/s10067-018-4125-z

Download citation

  • Received:

  • Revised:

  • Accepted:

  • Published:

  • Issue Date:

  • DOI: https://doi.org/10.1007/s10067-018-4125-z

Keywords

  • Ankylosing spondylitis
  • Depression
  • Enthesitis
  • mSASSS
  • Neuropathic pain
  • painDETECT questionnaire