Abstract
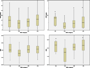
Obesity is characterised by low-grade inflammation and could potentially affect disease activity and severity in patients with rheumatoid arthritis (RA). Body mass index (BMI), body fat (BF), erythrocyte sedimentation rate, C-reactive protein, disease activity score 28, physical function (health assessment questionnaire) and presence of erosions and joint surgery were assessed in 294 (female = 219) volunteers with established RA [age 63.3 (56.2–69.6); disease duration 13 (7–20) years]. Smoking status, rheumatoid factor and anti-cyclic citrullinated peptide positivity were also assessed. BMI and BF independently associated with disease characteristics. Compared to normal-weight patients, underweight and obese had higher C-reactive protein (p = 0.046) and physical dysfunction (p = 0.034). BMI or BF did not associate with presence of erosions or joint surgery. In patients with established RA, both very low and very high BMI and BF associate independently with increased disease activity and physical dysfunction; however, this does not seem to associate with presence of erosions or joint surgery. Further longitudinal studies are required to address this apparent dissociation.
This is a preview of subscription content, access via your institution.

References
Feldmann M, Brennan FM, Maini RN (1996) Role of cytokines in rheumatoid arthritis. Ann Rev Immunol 14:397–440
Buchan G, Barrett K, Turner M, Chantry D, Maini RN, Feldmann M (1988) Interleukin-1 and tumour necrosis factor mRNA expression in rheumatoid arthritis: prolonged production of IL-1 alpha. Clin Exp Immunol 73:449–455
Minor MA, Lane NE (1996) Recreational exercise in arthritis. Rheum Dis Clin North Am 22:563–577
Kitas GD, Erb N (2003) Tackling ischaemic heart disease in rheumatoid arthritis. Rheumatology 42:607–613
Roubenoff R, Roubenoff RA, Cannon JG, Kehayias JJ, Zhuang H, Dawson-Hughes B, Dinarello CA, Rosenberg IH (1994) Rheumatoid cachexia: cytokine-driven hypermetabolism accompanying reduced body cell mass in chronic inflammation. J Clin Invest 93:2379–2386
Stavropoulos-Kalinoglou A, Metsios GS, Koutedakis Y, Nevill AM, Douglas KM, Jamurtas A, van Zanten JJCSV, Labib M, Kitas GD (2007) Redefining overweight and obesity in rheumatoid arthritis patients. Ann Rheum Dis 66:1316–1321
Pi-Sunyer XF (2006) The relation of adipose tissue to cardiometabolic risk. Clinical Cornerstone 8:S14–S23
Westhoff G, Rau R, Zink A (2007) Radiographic joint damage in early rheumatoid arthritis is highly dependent on body mass index. Arthritis Rheum 56:3575–3582
Kaufmann J, Kielstein V, Kilian S, Stein G, Hein G (2003) Relation between body mass index and radiological progression in patients with rheumatoid arthritis. J Rheumatol 30:2350–2355
van der Helm-van Mil AHM, van der Kooij SM, Allaart CF, Toes REM, Huizinga TWJ (2008) A high body mass index has a protective effect on the amount of joint destruction in small joints in early rheumatoid arthritis. Ann Rheum Dis 67:769–774
Garcia-Poma A, Segami MI, Mora CS, Ugarte MF, Terrazas HN, Rhor EA, Garcia E, Ramos MP, Alva M, Castaneda I, Chung CP (2007) Obesity is independently associated with impaired quality of life in patients with rheumatoid arthritis. Clin Rheumatol 26:1831–1835
Arnett FC, Edworthy SM, Bloch DA, McShane DJ, Fries JF, Cooper NS, Healey LA, Kaplan SR, Liang MH, Luthra HS et al (1988) The American Rheumatism Association 1987 revised criteria for the classification of rheumatoid arthritis. Arthritis Rheum 31:315–324
Alamanos Y, Drosos AA (2005) Epidemiology of adult rheumatoid arthritis. Autoimmun Rev 4:130–136
Tanita (2002) BC 418 MA instruction manual and technical notes. Tanita Corp, Tokyo
Prevoo ML, van ‘t Hof MA, Kuper HH, van Leeuwen MA, van de Putte LB, van Riel PL (1995) Modified disease activity scores that include twenty-eight-joint counts. Development and validation in a prospective longitudinal study of patients with rheumatoid arthritis. Arthritis Rheum 38:44–48
Kirwan JR, Reeback JS (1986) Stanford Health Assessment Questionnaire modified to assess disability in British patients with rheumatoid arthritis. Br J Rheumatol 25:206–209
Provan SA, Angel K, Odegard S, Mowinckel P, Atar D, Kvien TK (2008) The association between disease activity and NT-proBNP in 238 patients with rheumatoid arthritis: a 10-year longitudinal study. Arthritis Res Ther 10:R70
Nevill AM, Stewart AD, Olds T, Holder R (2004) Are adult physiques geometrically similar? The dangers of allometric scaling using body mass power laws. Am J Phys Anthropol 124:177–182
Wellens RI, Roche AF, Khamis HJ, Jackson AS, Pollock ML, Siervogel RM (1996) Relationships between the body mass index and body composition. Obes Res 4:35–44
Tanaka K, Kim H, Nakanishi T, Amagi H (1999) Multifrequency impedance method for the assessment of body composition in Japanese adults. J Exercise Sports Physiol 6:37–45
Oppliger RA, Nielsen DH, Shetler AC, Crowley ET, Albright JP (1992) Body composition of collegiate football players: bioelectrical impedance and skinfolds compared to hydrostatic weighing. J Orthop Sports Phys Ther 15:187–192 Apr
Gray D, Bray G, Gemayel N, Kaplan K (1989) Effect of obesity on bioelectrical impedance. Am J Clin Nutr 50:255–260
Bolanowski M, Nilsson BE (2001) Assessment of human body composition using dual-energy X-ray absorptiometry and bioelectrical impedance analysis. Med Sci Monit 7:1029–1033
Demura S, Sato S, Kitabayashi T (2004) Percentage of total body fat as estimated by three automatic bioelectrical impedance analyzers. J Physiol Anthropol Appl Human Sci 23:93–99
Lofthouse CM, Azad F, Baildam EM, Akobeng AK (2002) Measuring the nutritional status of children with juvenile idiopathic arthritis using the bioelectrical impedance method. Rheumatology 41:1172–1177
Demura S, Sato S, Kitabayashi T (2005) Estimation accuracy of percent total body fat and percent segmental fat measured by single-frequency bioelectrical impedance analysis with 8 electrodes: the effect of difference in adiposity. J Sports Med Phys Fitness 45:68–76
Lemmey A, Maddison P, Breslin A, Cassar P, Hasso N, McCann R, Whellams E, Holly J (2001) Association between insulin-like growth factor status and physical activity levels in rheumatoid arthritis. J Rheumatol 28:29–34
Metsios GS, Stavropoulos-Kalinoglou A, Nevill AM, Douglas KMJ, Koutedakis Y, Kitas GD (2008) Cigarette smoking significantly increases basal metabolic rate in patients with rheumatoid arthritis. Ann Rheum Dis 67:70–73
Metsios GS, Stavropoulos-Kalinoglou A, Panoulas VF, Koutedakis Y, Nevill AM, Douglas KM, Kita M, Kitas GD (2008) New resting energy expenditure prediction equations for patients with RA. Rheumatology (Oxford) 47:500–506
Stavropoulos-Kalinoglou A, Metsios GS, Panoulas VF, Douglas KM, Nevill AM, Jamurtas AZ, Kita M, Koutedakis Y, Kitas GD (2008) Cigarette smoking associates with body weight and muscle mass of patients with rheumatoid arthritis: a cross-sectional, observational study. Arthritis Res Ther 10:R59
Park JY, Pillinger MH (2007) Interleukin-6 in the pathogenesis of rheumatoid arthritis. Bull NYU Hosp Jt Dis 65:S4–S10
Castell JV, Gómez-Lechón MJ, David M, Fabra R, Trullenque R, Heinrich PC (1990) Acute-phase response of human hepatocytes: regulation of acute-phase protein synthesis by interleukin-6. Hepatology 12:1179–1186
Lyon CJ, Law RE, Hsueh WA (2003) Minireview: adiposity, inflammation, and atherogenesis. Endocrinology 144:2195–2200
Okazaki Y, Sawada T, Nagatani K, Komagata Y, Inoue T, Muto S, Itai A, Yamamoto K (2005) Effect of nuclear factor-kappa B inhibition on rheumatoid fibroblast-like synoviocytes and collagen induced arthritis. J Rheumatol 32:1440–1447
Han Z, Boyle DL, Manning AM, Firestein GS (1998) AP-1 and NF-kappa B regulation in rheumatoid arthritis and murine collagen-induced arthritis. Autoimmunity 28:197–208
Tak PP, Firestein GS (2001) NF-kappa B: a key role in inflammatory diseases. J Clin Invest 107:7–11
Juge-Aubry CE, Henrichot E, Meier CA (2005) Adipose tissue: a regulator of inflammation. Best Pract Res Clin Endocrinol Metab 19:547–566
Kremers HM, Nicola PJ, Crowson CS, Ballman KV, Gabriel SE (2004) Prognostic importance of low body mass index in relation to cardiovascular mortality in rheumatoid arthritis. Arthritis Rheum 50:3450–3457
Tremollieres FA, Pouilles JM, Ribot C (1993) Vertebral postmenopausal bone loss is reduced in overweight women: a longitudinal study in 155 early postmenopausal women. J Clin Endocrinol Metab 77:683–686
Smolen JS, Van Der Heijde DMFM, St. Clair EW, Emery P, Bathon JM, Keystone E, Maini RN, Kalden JR, Schiff M, Baker D et al (2006) Predictors of joint damage in patients with early rheumatoid arthritis treated with high-dose methotrexate with or without concomitant infliximab: Results from the ASPIRE trial. Arthritis Rheum 54:702–710
Acknowledgements
This study was funded by the Dudley Group of Hospitals R&D directorate cardiovascular programme grant and a Wolverhampton University equipment grant. The Department of Rheumatology, Dudley Group of Hospitals, has an infrastructure support grant from the Arthritis Research Campaign (number 17682).
Disclosures
None.
Author information
Authors and Affiliations
Corresponding author
Rights and permissions
About this article
Cite this article
Stavropoulos-Kalinoglou, A., Metsios, G.S., Panoulas, V.F. et al. Underweight and obese states both associate with worse disease activity and physical function in patients with established rheumatoid arthritis. Clin Rheumatol 28, 439–444 (2009). https://doi.org/10.1007/s10067-008-1073-z
Received:
Revised:
Accepted:
Published:
Issue Date:
DOI: https://doi.org/10.1007/s10067-008-1073-z
Keywords
- Body weight
- Body mass index
- Obesity
- Percentage body fat
- Rheumatoid arthritis outcome