Abstract
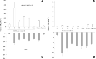
Wetlands of Melaleuca spp. in Australia form large forests that are highly threatened by deforestation and degradation. In America, Melaleuca has invaded large areas of native wetlands causing extensive damage. Despite their status as an endangered native ecosystem and as a highly invasive one, little is known about their C and N dynamics. In this study, we sampled five Melaleuca wetlands and measured their C and N ecosystem stocks (aboveground biomass and soil), tree accumulation rates, sedimentation rates, and soil stability. Melaleuca wetlands were highly heterogeneous, but most have large ecosystem C [mean ± SE (range); 360 ± 100 (80–670) Mg C ha−1] and N [8100 ± 1900 (1600–13,000) kg N ha−1] stocks. Tree accumulation rates were 5.0 ± 2.1 Mg C y−1 and 26 ± 14 kg N y−1, and surface soil accumulation rates were 0.6 ± 0.2 Mg C ha−1 y−1 and 39 ± 1 kg N y−1. We found evidence of long-term C and N accumulation in the soil, but also of some level of organic decomposition. Overall, we found that Melaleuca wetlands store and accumulate large amounts of C, especially in their trees, and large amounts of N in their soils, suggesting an important role in coastal biogeochemical cycles.




References
ABM, Australian Bureau of Meteorology, Viewed September 2018. http://www.bom.gov.au/
ABARES. 2016. Australian Bureau of Agricultural and Resource Economics and Sciences. Department of Agriculture and Water Resources. Australian Government. Australian forest profiles: Melaleuca. http://www.agriculture.gov.au/abares/research-topics/forests
Adame MF, Franklin H, Waltham N, Rodriguez S, Kavehei E, Turschwell M, Balcombe S, Kaniweska P, Burford M, Ronan M. 2019. Nitrogen removal by tropical floodplain wetlands through denitrification. Marine and Freshwater Research, in press.
Adame MF, Fry B. 2016. Source and stability of soil carbon in mangrove and freshwater wetlands of the Mexican Pacific coast. Wetland Ecoly and Management 24:129–37.
Adame MF, Kauffman JB, Medina I, Gamboa JN, Torres O, Caamal JP, Reza M, Herrera-Silveira JA. 2013. Carbon stocks of tropical coastal wetlands within the karstic landscape of the Mexican Caribbean. Chen HYH, editor. PLoS ONE 8:e56569.
Adame MF, Santini NS, Tovilla C, Vázquez-Lule A, Castro L, Guevara M. 2015. Carbon stocks and soil sequestration rates of tropical riverine wetlands. Biogeosciences 12:3805–18.
Appleby P, Oldfield F. 1978. The calculation of lead-210 dates assuming a constant rate of supply of unsupported 210Pb to the sediment. Catena 5:108.
Arias-Ortiz A, Masqué P, Garcia-Orellana J, Serrano O, Mazarrasa I, Marbà N, Lovelock CE, Lavery PS, Duarte CM. 2018. Reviews and syntheses: 210Pb-derived sediment and carbon accumulation rates in vegetated coastal ecosystems—setting the record straight. Biogeosciences 15:6791–818.
Atwood TB, Connolly RM, Almahasheer H, Carnell PE, Duarte CM, Ewers Lewis CJ, Irigoien X, Kelleway JJ, Lavery PS, Macreadie PI, Serrano O, Sanders CJ, Santos I, Steven ADL, Lovelock CE. 2017. Global patterns in mangrove soil carbon stocks and losses. Nature Climate Change 7:523–8.
Barlow B. 1988. Patterns of differentiation in tropical species of Melaleuca L. (Myrtaceae). Proceedings of the Ecology Society of Australia 15:239–47.
Boland DJ, Brooker MIH, Chippendale GM, Hall N, Hyland BPM, Johnson RD, Kleinig DA, McDonald MW, Turner JD. 2006. Forest trees of Australia. Collingwood: CSIRO Publishing.
Carsib CF, Hammer KA, Riley TV. 2006. Melaleuca alternifolia (Tea Tree) oil: a review of antimicrobial and other medicinal properties. Clinical Microbiol Rev 19:50–62.
Chmura GL, Anisfeld SC, Cahoon DR, Lynch JC. 2003. Global carbon sequestration in tidal, saline wetland soils. Biogeochem Cycles 17:1111–20.
Clough B. 1998. Mangrove forest productivity and biomass accumulation in Hinchinbrook. Mangroves and Salt Marshes 2:191–8.
Commonwealth of Australia. 2014. Reef 2050 Long-Term Sustainability Plan:1–111. https://www.environment.gov.au/marine/gbr/long-term-sustainability-plan
Finlayson CM. 2005. Plant ecology of Australia’s tropical floodplain wetlands: a review. Annals of Botany 96:541–55.
Finlayson CM, Cowie ID, Bailey BJ. 1993. Biomass and litter dynamics in a Melaleuca forest on a seasonally inundated floodplain in tropical, northern Australia. Wetland Ecology and Management 2:177–88.
Fortier J, Truax B, Gagnon D, Lambert F. 2015. Biomass carbon, nitrogen and phosphorus stocks in hybrid poplar buffers, herbaceous buffers and natural woodlots in the riparian zone on agricultural land. Journal of Environmental Management 154:333–45.
Fourqurean JW, Duarte CM, Kennedy H, Marbà N, Holmer M, Mateo MA, Apostolaki ET, Kendrick GA, Krause-Jensen D, McGlathery KJ, Serrano O. 2012. Seagrass ecosystems as a globally significant carbon stock. Nature Geoscience 5:505–9.
Fry B. 2006. Isotope ecology. New York: Springer. p 295.
Geoscience Australia, 2005. Viewed March 2018. http://www.ga.gov.au/
Giri C, Ochieng E, Tieszen LL, Zhu Z, Singh A, Loveland T, Masek J, Duke N. 2011. Status and distribution of mangrove forests of the world using earth observation satellite data. Global Ecology and Biogeography 20:154–9.
Gong WK, Ong J-E. 1990. Plant biomass and nutrient flux in a managed mangrove forest in Malaysia. Estuarine Coastal and Shelf Science 31:519–30.
Greenway M. 1994. Litter accession and accumulation in a Melaleuca quinquenervia (Vac.)S.T. Blake wetland in south-eastern Queensland. Marine and Freshwater Research 45:1509–19.
Greenway M, Jenkins G. 2004. A comparative study of the effectiveness of wetlands and ponds in the treatment of stormwater in subtropical Australia. 9Th IWA Conference on Wetland Systems for Water Pollution Control, 1–12.
Hayes MA, Jesse A, Hawke B, Baldock J, Tabet B, Lockington D, Lovelock CE. 2017. Dynamics of sediment carbon stocks across intertidal wetland habitats of Moreton Bay, Australia. Global Change Biology 23:4222–34.
Hutchison J, Manica A, Swetnam R, Balmford A, Spalding M. 2014. Predicting global patterns in mangrove forest biomass. Conservation Letters 7:233–40.
Isbell R. 2002. The Australian Soil Classification. (Publishing C, editor.). Melbourne, Australia
Karim F, Kinsey-Henderson A, Wallace J, Arthington AH, Pearson RG. 2012. Modelling wetland connectivity during overbank flooding in a tropical floodplain in north Queensland, Australia. Hydrological Processes 26:2710–23.
Kelleway J, Jeffrey J, Saintilan N, Macreadie P, Ralph P. 2016. Sedimentary factors are key predictors of carbon storage in SE Australian saltmarshes. Ecosystems 19:865–80.
Kelleway JJ, Saintilan N, Macreadie PI, Baldock JA, Heijnis H, Zawadzki A, Gadd P, Jacobsen G, Ralph PJ. 2017a. Geochemical analyses reveal the importance of environmental history for blue carbon sequestration. Journal of Geophysical Research: Biogeosciences 122:1789–805.
Kelleway J, Serrano O, Baldock J, Cannard T, Lavery P, Lovelock C, Macreadie P, Masque P, Saintilan N, Steven A. 2017b. Technical review of opportunities for including Blue Carbon in the Australian government’s Emissions Reduction Fund. Canberra: Department of Environment and Energy, Australian Government.
Krauss KW, Duberstein JA, Doyle TW, Conner WH, Day RH, Inabinette LW, Whitebeck JL. 2009. Site condition, structure, and growth of baldcypress along tidal/non-tidal salinity gradients. Wetlands 29:505–19.
Krauss KW, Noe GB, Duberstein JA, Conner WH, Stagg CL, Cormier N, Jones MC, Bernhardt CE, Lockaby BG, From AS, Doyle TW, Day RH, Ensign SH, Pierfelice KN, Hupp CR, Chow AT, Whitbeck JL. 2018. The role of the upper tidal estuary in wetland Blue Carbon storage and flux. Global Biogeochemical Cycles 32:817–39.
Krishnaswami S, Lal D, Marin J, Meybeck M. 1971. Geochronology of lake sediments. Earth and Planetary Science Letters 11:407–14.
Kulkarni MV, Groffman PM, Yavitt JB. 2008. Solving the global nitrogen problem: it’s a gas!. Frontiers in Ecology and the Environment 6:199–206.
Lovelock CE, Duarte CM. 2019. Dimensions of Blue Carbon and emerging perspectives. Biology Letters, in press.
Macreadie PI, Ollivier QR, Kelleway JJ, Serrano O, Carnell PE, Ewers Lewis CJ, Atwood TB, Sanderman J, Baldock J, Connolly RM, Duarte CM, Lavery PS, Steven A, Lovelock CE. 2017. Carbon sequestration by Australian tidal marshes. Scientific Reports 7:1–10.
Maher DT, Santos IR, Schulz KG, Call M, Jacobsen Sanders CJ. 2017. Blue carbon oxidation revealed by radiogenic and stable isotopes in a mangrove system. Geophysical Research Letters 44:4889–96.
Meerts P. 2002. Mineral nutrient concentrations in sapwood and heartwood: a literature review. Annals of Forest Science 59:713–22.
Mensforth LS, Walker GR. 1996. Root dynamics of Melaleuca halmaturorum in response to fluctuating saline groundwater. Plant and Soil 184:75–84.
Murtha G, Smith C. 1994. Key to the soils and land suitability of the wet tropical coast: Cardwell – Cape Tribulation. Brisbane: CSIRO Division of Soils.
Nadelhoffer KJ, Fry B. 1988. Controls on Natural nitrogen-15 and Carbon-13 abundances in forest soil organic matter. Soil Science Society of American Journal 52:1633–40.
Rasiah V, Armour JD, Cogle AL, Florentine SK. 2010. Nitrate import-export dynamics in groundwater interacting with surface-water in a wet-tropical environment. Australian Journal of Soil Research 48:361–70.
Rayment G, Lyons D. 2001. Australian laboratory handbook of soil and water chemical methods. Australia: CSIRO Press.
Robertson MJ, Wood AW, Muchow RC. 1996. Growth of sugarcane under high input conditions in tropical Australia. III. Accumulation, partitioning and use of nitrogen. Field Crops Research 48:223–33.
Rogers K, Kelleway JJ, Saintilan N, Megonigal JP, Adams JB, Holmquist JR, Lu M, Schile-Beers L, Zawadzki A, Mazumder D, Woodroffe CD. 2019. Wetland carbon storage controlled by millennial-scale variation in relative sea-level rise. Nature Letters 567:91–5.
Saintilan N, Rogers K, Mazumder D, Woodroffe C. 2013. Allochthonous and autochthonous contributions to carbon accumulation and carbon store in southeastern Australian coastal wetlands. Estuarine Coastal and Shelf Science 128:84–92.
Sanchez-Cabeza J, Masque P, Ani-Ragolta I. 1998. 210Pb and 210Po analysis in sediments and soils by microwave acid digestion. Journal of Radioanalytical and Nuclear Chemistry 227:19–22.
State of Queensland. 2014. Environmental Protection (Water) Policy, 2009. Brisbane: Wet Tropics Groundwater Zones.
Tran DB, Dargusch P. 2016. Melaleuca forests in Australia have globally significant carbon stocks. Forest Ecology and Management 375:230–7.
Tran DB, Dargusch P, Herbohn J, Moss P. 2013a. Interventions to better manage the carbon stocks in Australian Melaleuca forests. Land Use Policy 35:417–20.
Tran DB, Dargusch P, Moss P, Hoang TV. 2013b. An assessment of potential responses of Melaleuca genus to global climate change. Mitigation and Adaptation Strategies for Global Change 18:851–67.
Tran DB, Hoang TV, Dargusch P. 2015. An assessment of the carbon stocks and sodicity tolerance of disturbed Melaleuca forests in Southern Vietnam. Carbon Balance and Management 10:15.
Turner CE, Center TD, Burrows DW, Buckingham GR. 1998. Ecology and management of Melaleuca quinquenervia, an invader of wetlands in Florida, U.S.A. Wetland Ecology and Management 5:165–78.
Wilson P, Baker D. 1990. Soils and agricultural land suitability of the wet tropical coast of North Queensland: Ingham area. Brisbane, Australia: Queensland Department of Primary Industries. Land Resources Bulletin. QV90001.
Acknowledgements
We acknowledge the Traditional Owners of the land in which the field study was conducted, especially the Nywaigi, Djiru, Girramay, and Gulnay people. We thank the Queensland Government through the Advance Queensland Fellowship granted to MFA, the Great Barrier Reef Water Quality Program for their financial support, and the Australian Government’s National Environmental Science Program, Tropical Water Quality Hub (Project 3.3.2). Funding was provided to PM by the Generalitat de Catalunya (Grant 2017 SGR-1588) and through an Australian Research Council LIEF Project (LE170100219). This work is contributing to the ICTA “Unit of Excellence” (MinECo, MDM2015-0552).
Author information
Authors and Affiliations
Corresponding author
Additional information
Authors’ contributions
MFA and MR designed the study; MFA, RR, VNLW, SRB, MT, EK, and SR conducted field work; VNLW, EK, SR, DCR, and PM conducted laboratory work, MFA, RR, VNLW, MT, JJ, and PM analysed the data; MFA, RR, SRB, JJK, PM, and MR wrote the manuscript.
Electronic supplementary material
Below is the link to the electronic supplementary material.
Rights and permissions
About this article
Cite this article
Adame, M.F., Reef, R., Wong, V.N.L. et al. Carbon and Nitrogen Sequestration of Melaleuca Floodplain Wetlands in Tropical Australia. Ecosystems 23, 454–466 (2020). https://doi.org/10.1007/s10021-019-00414-5
Received:
Accepted:
Published:
Issue Date:
DOI: https://doi.org/10.1007/s10021-019-00414-5