Abstract
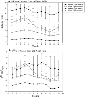
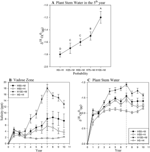
Sea level rise and the subsequent intrusion of saline seawater can result in an increase in soil salinity, and potentially cause coastal salinity-intolerant vegetation (for example, hardwood hammocks or pines) to be replaced by salinity-tolerant vegetation (for example, mangroves or salt marshes). Although the vegetation shifts can be easily monitored by satellite imagery, it is hard to predict a particular area or even a particular tree that is vulnerable to such a shift. To find an appropriate indicator for the potential vegetation shift, we incorporated stable isotope 18O abundance as a tracer in various hydrologic components (for example, vadose zone, water table) in a previously published model describing ecosystem shifts between hammock and mangrove communities in southern Florida. Our simulations showed that (1) there was a linear relationship between salinity and the δ18O value in the water table, whereas this relationship was curvilinear in the vadose zone; (2) hammock trees with higher probability of being replaced by mangroves had higher δ18O values of plant stem water, and this difference could be detected 2 years before the trees reached a tipping point, beyond which future replacement became certain; and (3) individuals that were eventually replaced by mangroves from the hammock tree population with a 50% replacement probability had higher stem water δ18O values 3 years before their replacement became certain compared to those from the same population which were not replaced. Overall, these simulation results suggest that it is promising to track the yearly δ18O values of plant stem water in hammock forests to predict impending salinity stress and mortality.






Similar content being viewed by others
References
Armas C, Padilla FM, Pugnaire FI, Jackson RB. 2010. Hydraulic lift and tolerance to salinity of semiarid species: consequences for species interactions. Oecologia 162:11–21.
Baldwin AH, Mendelssohn IA. 1998. Effects of salinity and water level on coastal marshes: an experimental test of disturbance as a catalyst for vegetation change. Aquat Bot 61:255–68.
Ball MC. 1988. Ecophysiology of mangroves. Trees 2:129–42.
Brovkin V, Claussen M, Petoukhov V, Ganopolski A. 1998. On the stability of the atmosphere-vegetation system in the Sahara/Sahel region. J Geophys Res: Atmos 103:31613–24.
Chapman VJ. 1976. Mangrove vegetation. Vaduz: J. Cramer.
Dakos V, Carpenter SR, Brock WA, Ellison AM, Guttal V, Ives AR, Kefi S, Livina V, Seekell DA, Van Nes EH. 2012. Methods for detecting early warnings of critical transitions in time series illustrated using simulated ecological data. PLoS One 7:e41010.
Davis SM, Childers DL, Lorenz JJ, Wanless HR, Hopkins TE. 2005. A conceptual model of ecological interactions in the mangrove estuaries of the Florida Everglades. Wetlands 25:832–42.
Dawson TE, Ehleringer JR. 1991. Streamside trees that do not use stream water. Nature 350:335–7.
Dawson TE, Mambelli S, Plamboeck AH, Templer PH, Tu KP. 2002. Stable isotopes in plant ecology. Annu Rev Ecol Syst 33:507–59.
Desantis LR, Bhotika S, Williams K, Putz FE. 2007. Sea-level rise and drought interactions accelerate forest decline on the Gulf Coast of Florida, USA. Glob Change Biol 13:2349–60.
Doering PH, Chamberlain RH, Haunert DE. 2002. Using submerged aquatic vegetation to establish minimum and maximum freshwater inflows to the Caloosahatchee Estuary, Florida. Estuaries 25:1343–54.
Doyle TW, Krauss KW, Conner WH, From AS. 2010. Predicting the retreat and migration of tidal forests along the northern Gulf of Mexico under sea-level rise. For Ecol Manag 259:770–7.
Egler FE. 1952. Southeast saline Everglades vegetation, Florida and its management. Vegetatio 3:213–65.
Ellsworth P, Williams D. 2007. Hydrogen isotope fractionation during water uptake by woody xerophytes. Plant Soil 291:93–107.
Eslami-Andargoli L, Dale P, Sipe N, Chaseling J. 2009. Mangrove expansion and rainfall patterns in Moreton Bay, Southeast Queensland, Australia. Estuary Coast Shelf Sci 85:292–8.
Ewe SML, Sternberg LdSL. 2005. Water uptake patterns of an invasive exotic plant in coastal saline habitats. J Coast Res 23:255–64.
Ewe SML, Sternberg LdSL, Childers DL. 2007. Seasonal plant water uptake patterns in the saline southeast Everglades ecotone. Oecologia 152:607–16.
Ezer T, Atkinson LP. 2014. Accelerated flooding along the U.S. East Coast: on the impact of sea-level rise, tides, storms, the Gulf Stream, and the North Atlantic Oscillations. Earth’s Future 2:362–82.
Fitterman DV, Deszcz-Pan M, Stoddard CE. 1999. Results of time-domain electromagnetic soundings in Everglades National Park, Florida. US Department of the Interior. pp 99–426.
Fourqurean JW, Robblee MB. 1999. Florida Bay: a history of recent ecological changes. Estuaries 22:345–57.
Gill AM, Tomlinson PB. 1977. Studies on the growth of red mangrove (Rhizophora mangle L.) 4. The adult root system. Biotropica 9:145–55.
Greaver TL, Sternberg LLdS. 2006. Linking marine resources to ecotonal shifts of water uptake by terrestrial dune vegetation. Ecology 87:2389–96.
Greiner La Peyre M, Grace J, Hahn E, Mendelssohn I. 2001. The importance of competition in regulating plant species abundance along a salinity gradient. Ecology 82:62–9.
Guha H, Panday S. 2012. Impact of sea level rise on groundwater salinity in a coastal community of south Florida. J Am Water Resour Assoc 48:510–29.
Gunderson LH. 1994. Vegetation of the Everglades: determinants of community composition. In: Davis SM, Ogden JC, Eds. Everglades: the ecosystem and its restoration. Boca Raton: CRC Press. p 323–40.
Herbert DA, Perry WB, Cosby BJ, Fourqurean JW. 2011. Projected reorganization of Florida Bay seagrass communities in response to the increased freshwater inflow of Everglades restoration. Estuar Coasts 34:973–92.
Hoffmeister JE. 1974. Land from the sea: the geologic story of South Florida. Coral Gables: University of Miami Press.
Hollins S, Ridd P, Read W. 2000. Measurement of the diffusion coefficient for salt in salt flat and mangrove soils. Wetlands Ecol Manag 8:257–62.
Ish-Shalom N, Sternberg LdSL, Ross M, O’Brien J, Flynn L. 1992. Water utilization of tropical hardwood hammocks of the lower Florida Keys. Oecologia 92:108–12.
Jiang J, DeAngelis DL, Anderson GH, Smith TJIII. 2014. Analysis and simulation of propagule dispersal and salinity intrusion from storm surge on the movement of a marsh–mangrove ecotone in South Florida. Estuar Coasts 37:24–35.
Jiang J, DeAngelis DL, Smith TJIII, Teh SY, Koh HL. 2012. Spatial pattern formation of coastal vegetation in response to external gradients and positive feedbacks affecting soil porewater salinity: a model study. Landsc Ecol 27:109–19.
Jiang J, DeAngelis DL, Teh S-Y, Krauss KW, Wang H, Li H, Smith TJ, Koh H-L. 2015. Defining the next generation modeling of coastal ecotone dynamics in response to global change. Ecol Model. doi:10.1016/j.ecolmodel.2015.04.013.
Kathiresan K, Bingham BL. 2001. Biology of mangroves and mangrove ecosystems. Adv Mar Biol 40:81–251.
Kenkel N, McIlraith A, Burchill C, Jones G. 1991. Competition and the response of three plant species to a salinity gradient. Can J Bot 69:2497–502.
Krauss KW, From AS, Doyle TW, Doyle TJ, Barry MJ. 2011. Sea-level rise and landscape change influence mangrove encroachment onto marsh in the Ten Thousand Islands region of Florida, USA. J Coast Conserv 15:629–38.
Kriebel DL, Geiman JD, Henderson GR. 2015. Future flood frequency under sea-level rise scenarios. J Coast Res. doi:10.2112/JCOASTRES-D-13-00190.1.
López-Medellín X, Ezcurra E, González-Abraham C, Hak J, Santiago LS, Sickman JO. 2011. Oceanographic anomalies and sea-level rise drive mangroves inland in the Pacific coast of Mexico. J Veg Sci 22:143–51.
Lin G, Sternberg LdSL. 1993. Hydrogen isotopic fractionation by plant roots during water uptake in coastal wetland plants. In: Ehleringer J, Hall A, Farquhar G, Eds. Stable isotopes and plant carbon-water relations. San Diego: Academic Press. p 397–410.
Lin G, Sternberg LdSL. 1994. Utilization of surface water by red mangrove (Rhizophora mangle L.): an isotopic study. Bull Mar Sci 54:94–102.
Lloyd RM. 1964. Variations in the oxygen and carbon isotope ratios of Florida Bay mollusks and their environmental significance. J Geol 72:84–111.
Lugo AE. 1980. Mangrove ecosystems: successional or steady state? Biotropica 12:65–72.
Lugo AE, Sell M, Snedaker SC. 1976. Mangrove ecosystem analysis. Syst Anal Simul Ecol 4:113–45.
Meeder JF, Ross MS, Telesnicki G, Ruiz PL, Sah JP. 1996. Vegetation analysis in the C-111/Taylor Slough basin. Final Report for Contract C-4244. Miami, FL, USA: Southeast Environmental Research Program, Florida International University.
Moffett KB, Gorelick SM, McLaren RG, Sudicky EA. 2012. Salt marsh ecohydrological zonation due to heterogeneous vegetation–groundwater–surface water interactions. Water Resour Res 48:1–22.
Morris JT. 2006. Competition among marsh macrophytes by means of geomorphological displacement in the intertidal zone. Estuar Coast Shelf Sci 69:395–402.
Odum WE, McIvor CC. 1990. Mangroves. In: Myers RL, Ewel JJ, Eds. Ecosystems of Florida. Orlando: University of Central Florida Press. p 517–48.
Odum WE, McIvor CC, Smith TJIII. 1982. The ecology of the mangroves of south Florida: a community profile. Washington DC: Fish and Wildlife Service.
Passioura J, Ball M, Knight J. 1992. Mangroves may salinize the soil and in so doing limit their transpiration rate. Funct Ecol 6:476–81.
Perry W. 2004. Elements of South Florida’s comprehensive everglades restoration plan. Ecotoxicology 13:185–93.
Price RM, Swart PK, Willoughby HE. 2008. Seasonal and spatial variation in the stable isotopic composition (δ18O and δD) of precipitation in south Florida. J Hydrol 358:193–205.
Rabinowitz D. 1978. Early growth of mangrove seedlings in Panama, and an hypothesis concerning the relationship of dispersal and zonation. J Biogeogr 5:113–33.
Ross MS, Meeder JF, Sah JP, Ruiz PL, Telesnicki GJ. 2000. The southeast saline Everglades revisited: 50 years of coastal vegetation change. J Veg Sci 11:101–12.
Ross MS, O’Brien JJ, Flynn LJ. 1992. Ecological site classification of Florida Keys terrestrial habitats. Biotropica 24:488–502.
Ross MS, O’Brien JJ, Ford RG, Zhang K, Morkill A. 2009. Disturbance and the rising tide: the challenge of biodiversity management on low-island ecosystems. Front Ecol Environ 7:471–8.
Saha AK, Saha S, Sadle J, Jiang J, Ross MS, Price RM, Sternberg LdSL, Wendelberger KS. 2011. Sea level rise and South Florida coastal forests. Clim Change 107:81–108.
Saha AK, Sternberg LdSL, Miralles-Wilhelm F. 2009. Linking water sources with foliar nutrient status in upland plant communities in the Everglades National Park, USA. Ecohydrology 2:42–54.
Saha S, Sadle J, Heiden C, Sternberg LdSL. 2014. Salinity, groundwater, and water uptake depth of plants in coastal uplands of Everglades National Park (Florida, USA). Ecohydrology 8:128–36.
Scheffer M, Bascompte J, Brock WA, Brovkin V, Carpenter SR, Dakos V, Held H, Van Nes EH, Rietkerk M, Sugihara G. 2009. Early-warning signals for critical transitions. Nature 461:53–9.
Scheffer M, Rinaldi S, Gragnani A, Mur LR, van Nes EH. 1997. On the dominance of filamentous cyanobacteria in shallow, turbid lakes. Ecology 78:272–82.
Scholander PF. 1968. How mangroves desalinate seawater. Physiol Plant 21:251–61.
Scholander PF, Hammel HT, Hemmingsen E, Garey W. 1962. Salt balance in mangroves. Plant Physiol 37:722.
Silander J, Antonovics J. 1982. Analysis of interspecific interactions in a coastal plant community—a perturbation approach. Nature 298:557–60.
Sklar FH, McVoy C, VanZee R, Gawlik DE, Tarboton K, Rudnick D, Miao S, Armentano T. 2002. The effects of altered hydrology on the ecology of the Everglades. In: Porter JW, Porter KG, Eds. The Everglades, Florida Bay and coral reefs of the Florida keys: an ecosystem source book. Boca Raton: CRC Press. p 39–82.
Sklar FH, van der Valk A. 2002. Tree islands of the Everglades. Boston: Springer.
Smith TJIII, Tiling-Range G, Jones J, Nelson P, Foster A, Balentine K. 2010. The use of historical charts and photographs in ecosystem restoration: examples from the Everglades Historical Air Photo Project. In: Cowley DC, Standring RA, Abicht MJ, Eds. Landscapes through the lens: aerial photographs and the historic environment. Occasional Publication of the Aerial Archaeology Research Group. Oxford, UK: Oxbow Books. p 179–91.
Snedaker SC. 1995. Mangroves and climate change in the Florida and Caribbean region: scenarios and hypotheses. In: Wong Y-S, Tam NY Eds. Asia-Pacific symposium on mangrove ecosystems. Dordrecht: Springer. pp 43–49.
Snyder JR, Herndon A, Robertson WB. 1990. South Florida rockland. In: Myers RL, Ewel JJ, Eds. Ecosystems of Florida. Orlando: University of Central Florida Press. p 230–79.
Sokal R, Rohlf F. 1995. Biometry: the principles and practice of statistics in biological research. New York: W. H. Freeman and Company.
Stephens DB. 1995. Vadose zone hydrology. Boca Raton: CRC Press. pp 1–2.
Sternberg LdSL. 2001. Savanna-forest hysteresis in the tropics. Glob Ecol Biogeogr 10:369–78.
Sternberg LdSL, Green L, Moreira MZ, Nepstad D, Martinelli LA, Victória R. 1998. Root distribution in an Amazonian seasonal forest as derived from δ13C profiles. Plant Soil 205:45–50.
Sternberg LdSL, Ish-Shalom-Gordon N, Ross M, O’Brien J. 1991. Water relations of coastal plant communities near the ocean/freshwater boundary. Oecologia 88:305–10.
Sternberg LdSL, Moreira MZ, Nepstad DC. 2002. Uptake of water by lateral roots of small trees in an Amazonian tropical forest. Plant Soil 238:151–8.
Sternberg LdSL, Swart PK. 1987. Utilization of freshwater and ocean water by coastal plants of southern Florida. Ecology 68:1898–905.
Sternberg LdSL, Teh SY, Ewe SML, Miralles-Wilhelm FR, DeAngelis DL. 2007. Competition between hardwood hammocks and mangroves. Ecosystems 10:648–60.
Steyer GD, Cretini KF, Piazza S, Sharp LA, Snedden GA, Sapkota S. 2010. Hurricane influences on vegetation community change in coastal Louisiana. Reston: U.S. Geological Survey.
Swart PK, Sternberg LdSL, Steinen R, Harrison SA. 1989. Controls on the oxygen and hydrogen isotopic composition of the waters of Florida Bay, USA. Chem Geol 79:113–23.
Teh SY, DeAngelis DL, Sternberg LdSL, Miralles-Wilhelm FR, Smith TJ, Koh H-L. 2008. A simulation model for projecting changes in salinity concentrations and species dominance in the coastal margin habitats of the Everglades. Ecol Model 213:245–56.
Tomlinson PB. 1994. The botany of mangroves. Cambridge: Cambridge University Press.
Vendramini PF, Sternberg LdSL. 2007. A faster plant stem-water extraction method. Rapid Commun Mass Spectrom 21:164–8.
Volkmar K, Hu Y, Steppuhn H. 1998. Physiological responses of plants to salinity: a review. Can J Plant Sci 78:19–27.
Wasson K, Woolfolk A, Fresquez C. 2013. Ecotones as indicators of changing environmental conditions: rapid migration of salt marsh-upland boundaries. Estuar Coasts 36:654–64.
Wei L, Lockington DA, Poh S-C, Gasparon M, Lovelock CE. 2012. Water use patterns of estuarine vegetation in a tidal creek system. Oecologia 172:485–94.
Wilson AM, Moore WS, Joye SB, Anderson JL, Schutte CA. 2011. Storm-driven groundwater flow in a salt marsh. Water Resour Res 47:W02535.
Xin P, Jin G, Li L, Barry DA. 2009. Effects of crab burrows on pore water flows in salt marshes. Adv Water Resour 32:439–49.
Acknowledgments
We thank the Department of Biology at the University of Miami for providing the equipment and funding to Lu Zhai for this study. Dr. Carol Horvitz, Dr. Robert Stephen Cantrell, Dr. Lili Wei, Dr. Su Yean Teh, and Dr. Guanghui Lin provided useful comments on an early draft of the manuscript. We also thank the three journal reviewers as well as USGS reviewer Ken Krauss for helpful comments on the manuscript. DLD was supported by the USGS′s Greater Everglades Priority Ecosystem Science Program. Any use of trade, firm, or product names is for descriptive purposes only and does not imply endorsement by the U.S. Government.
Author information
Authors and Affiliations
Corresponding author
Additional information
Author contributions
Conceived of or designed study: Lu Zhai, Leo Sternberg. Performed research: Lu Zhai. Analyzed data: Lu Zhai. Contributed new methods or models: Lu Zhai, Jiang Jiang, Don DeAngelis, Leo Sternberg. Wrote the paper: Lu Zhai.
Electronic supplementary material
Below is the link to the electronic supplementary material.
Rights and permissions
About this article
Cite this article
Zhai, L., Jiang, J., DeAngelis, D. et al. Prediction of Plant Vulnerability to Salinity Increase in a Coastal Ecosystem by Stable Isotope Composition (δ18O) of Plant Stem Water: A Model Study. Ecosystems 19, 32–49 (2016). https://doi.org/10.1007/s10021-015-9916-3
Received:
Accepted:
Published:
Issue Date:
DOI: https://doi.org/10.1007/s10021-015-9916-3


