Abstract
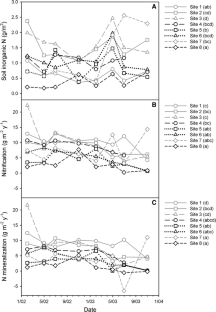
Elaeagnus angustifolia L., a nonnative N2-fixer, has established within riparian corridors of the interior western United States and is now the fourth most frequently occurring woody riparian plant in this region. We examined whether E. angustifolia alters pools and fluxes of soil inorganic N at eight sites dominated by Populus deltoides ssp. wislizeni along the Rio Grande in New Mexico over 2 years. E. angustifolia contributed a small fraction of total leaf fall (<5% across sites) but accounted for a disproportionately high amount of N (19%) that entered the system from P. deltoides and E. angustifolia leaf fall, due to the high N content (>2%) of E. angustifolia senesced leaves. Soil inorganic N concentrations and potential rates of nitrification and net N mineralization varied across sites. E. angustifolia leaf fall explained 59% of the variation in soil inorganic N concentrations across years. This relationship suggests that inputs of N-rich leaf litter from E. angustifolia may increase N availability in riparian soils. We detected no relationship between E. angustifolia leaf fall and fluxes of soil inorganic N, whereas others have measured both stimulation and inhibition of soil N cycling by E. angustifolia. Greater abundance of N2-fixing species in riparian forests may augment growth of neighboring plants or increase N export to rivers. Given these possibilities, ecosystem studies and restoration projects should further examine the potential for E. angustifolia to affect N pools and fluxes along western North American rivers.







Similar content being viewed by others
References
Adair EC, Binkley D, Andersen DC. 2004. Patterns of nitrogen accumulation and cycling in riparian floodplain ecosystems along the Green and Yampa rivers. Oecologia 139:108–16.
Al-Jamal MS, Sammis TW, Ball ST. 2001. The nitrate chloride technique to improve irrigation and nitrogen practices in farmers’ fields. Appl Eng Agric 17:601–10.
Andersen DC, Nelson SM. 2003. Effects of river flow regime on cottonwood leaf litter dynamics in semiarid northwestern Colorado. Southwest Nat 48:188–201.
Baer SG, Church JM, Williard KWJ, Groninger JW. 2006. Changes in intrasystem N cycling from N2-fixing shrub encroachment in grassland: multiple positive feedbacks. Agric Ecosyst Environ 115:174–82.
Baez S, Fargione J, Moore DI, Collins SL, Gosz JR. 2007. Atmospheric nitrogen deposition in the northern Chihuahuan desert: temporal trends and potential consequences. J Arid Environ 68:640–51.
Beauchamp, V. Unpublished data, Department of Biological Sciences, Towson University, Towson, MD 21252 USA, vbeauchamp@towson.edu.
Braatne JH, Rood SB, Heilman PE. 1996. Life history, ecology, and conservation of riparian cottonwoods in North America. In: Stettler RF, Bradshaw JHD, Heilman PE, Hinckley TM, Eds. Biology of populus and its implications for management and conservation. Ottawa, ON: NRC Research Press, National Research Council of Canada. p 57–85.
Chapin FS, Matson P, Mooney HA. 2002. Terrestrial nutrient cycling. In: Chapin FS, Matson P, Mooney HA, Eds. Principles of terrestrial ecosystem ecology. New York, NY: Springer. p 197–223.
Cleverly JR, Dahm CN, Thibault JR, McDonnell DE, Coonrod JEA. 2006. Riparian ecohydrology: regulation of water flux from the ground to the atmosphere in the middle Rio Grande, New Mexico. Hydrol Process 20:3207–25.
Compton JE, Church MR, Larned ST, Hogsett WE. 2003. Nitrogen export from forested watersheds in the Oregon Coast Range: the role of N2-fixing red alder. Ecosystems 6:773–85.
Correll DL. 1997. Buffer zones and water quality protection: general principles. In: Haycock NE, Burt TP, Goulding KWT, Pinay G, Eds. Buffer zones: their processes and potential in water protection. Harpenden, UK: Quest Environmental. p 7–20.
Crawford CS, Culley AC, Leutheuser R, Sifuentes MS, White LH, Wilbur JP. 1993. Middle Rio Grande ecosystem: bosque biological management plan. Albuquerque, NM: U.S. Fish and Wildlife Service.
DeCant JP. 2008. Russian olive, Elaeagnus angustifolia, alters patterns in soil nitrogen pools along the Rio Grande River, New Mexico, USA. Wetlands 28:896–904.
Ehrenfeld JG. 2003. Effects of exotic plant invasions on soil nutrient cycling processes. Ecosystems 6:503–23.
Ellis L, Molles M, Crawford C. 1999. Influence of experimental flooding on litter dynamics in a Rio Grande riparian forest, New Mexico. Restor Ecol 7:193–204.
Ellis LM, Crawford CS, Molles MC. 2002. The role of the flood pulse in ecosystem-level processes in southwestern riparian forests: a case study from the middle Rio Grande. In: Middleton BA, Ed. Flood pulsing in wetlands: restoring the natural hydrological balance. Hoboken, NJ: Wiley. p 51–107.
Follstad Shah JJ, Dahm CN. 2008. Flood regime and leaf fall determine soil nitrogen cycling in semiarid riparian forests. Ecol Appl 18:771–88.
Freehling MD. 1982. Riparian woodlands of the middle Rio Grande Valley, New Mexico: a study of bird populations and vegetation with special reference to Russian olive (Elaeagnus angustifolia). Albuquerque, NM: U.S. Fish and Wildlife Service.
Friedman JM, Auble GT, Shafroth PB, Scott ML, Merigliano MF, Freehling MD, Griffin ER. 2005. Dominance of nonnative riparian trees in western USA. Biol Invasions 7:747–51.
Hacker LW. 1977. Soil survey of Bernalillo County and parts of Sandoval and Valencia Counties, New Mexico. Albuquerque, NM: U.S. Department of Agriculture, Natural Resources Conservation Service. p 101.
Harner MJ, Crenshaw CL, Abehlo M, Stursova M, Follstad Shah JJ, Sinsabaugh RL. 2009. Decomposition of leaf litter from a native tree and an actinorhizal invasive across riparian habitats. Ecol Appl 19:1135–46.
Heffernan JB, Sponseller RA. 2004. Nutrient mobilization and processing in Sonoran desert riparian soils following artificial re-wetting. Biogeochemistry 70:117–34.
Hill AR. 1996. Nitrate removal in stream riparian zones. J Environ Qual 25:743–55.
Hink VC, Ohmart RD. 1984. Middle Rio Grande biological survey. Albuquerque, NM: U.S. Army Corps of Engineers.
Högberg P. 1997. Tansley Review No. 95 15N natural abundance in soil-plant systems. New Phytol 137:179–203.
Howe WH, Knopf FL. 1991. On the imminent decline of Rio Grande cottonwoods in central New Mexico. Southwest Nat 36:218–24.
Jacobson, P. Unpublished data, Department of Biology, Grinnell College, Grinnell, IA 50112 USA, jacobsop@grinnell.edu.
Katz GL, Shafroth PB. 2003. Biology, ecology and management of Elaeagnus angustifolia L. (Russian olive) in western North America. Wetlands 23:763–77.
Kaye JP, Binkley D, Rhoades C. 2003. Stable soil nitrogen accumulation and flexible organic matter stoichiometry during primary floodplain succession. Biogeochemistry 63:1–22.
Klingensmith KM, Van Cleve K. 1993. Patterns of nitrogen mineralization and nitrification in floodplain successional soils along the Tanana River, interior Alaska. Can J Forest Res 23:964–9.
Knopf FL, Johnson RR, Rich T, Samson FB, Szaro RC. 1988. Conservation of riparian ecosystems in the United States. Wilson Bull 100:272–84.
Llinares F, Munoz-Mingarro , Pozuelo JM, Ramos B, Bermudez de Castro. F. 1993. Microbial inhibition and nitrification potential in soils incubated with Elaeagnus angustifolia L. leaf litter. Geomicrobiol J 11:149–56.
Martí E, Fisher SG, Schade JD, Grimm NB. 2000. Flood frequency and stream-riparian linkages in arid lands. In: Jones JB, Mulholland PJ, Eds. Streams and ground waters. San Diego, CA: Academic Press. p 111–36.
McDonnell DE. 2006. Scaling of riparian evapotranspiration to canopies along the middle Rio Grande corridor in central New Mexico. PhD thesis. University of New Mexico, Albuquerque, New Mexico, USA.
Molles MC, Crawford CS, Ellis LM, Valett HM, Dahm CN. 1998. Managed flooding for riparian ecosystem restoration—managed flooding reorganizes riparian forest ecosystems along the middle Rio Grande in New Mexico. Bioscience 48:749–56.
NADP. 2007. Annual isopleth maps. National Atmospheric Deposition Program. http://nadp.sws.uiuc.edu/isopleths/annualmaps.asp.
NOAA. 2006. National Climate Data Center Climate Monitoring: reports and products. National Oceanographic and Atmospheric Administration. http://nadp.sws.uiuc.edu/NTN/maps.aspx.
Nourbakhsh F, Dick RP. 2005. Net nitrogen mineralization or immobilization potential in a residue-amended calcareous soil. Arid Land Res Manage 19:299–306.
Oelsner GP, Brooks PD, Hogan JF. 2007. Nitrogen sources and sinks within the middle Rio Grande, New Mexico. J Am Water Resour Assoc 43:850–63.
Ohmart RD, Anderson BW. 1982. North American desert riparian ecosystems. In: Bender GL, Ed. Reference handbook on the deserts of North America. Westport, CT: Greenwood Press. p 433–79.
Orr SP, Rudgers JA, Clay K. 2005. Invasive plants can inhibit native tree seedlings: testing potential allelopathic mechanisms. Plant Ecology 181:153–65.
Pease DS. 1975. Soil survey of Valencia County, New Mexico, Eastern Part. Albuquerque, NM: U.S. Department of Agriculture, Natural Resources Conservation Service. p 121.
Pinay G, Clement JC, Naiman RJ. 2002. Basic principles and ecological consequences of changing water regimes on nitrogen cycling in fluvial systems. Environ Manage 30:481–91.
Roggy JC, Moiroud A, Lensi R, Domenach AM. 2004. Estimating N transfers between N2-fixing actinorhizal species and the non-N2-fixing Prunus avium under partially controlled conditions. Biol Fertil Soils 39:312–19.
Royer TV, Monaghan MT, Minshall GW. 1999. Processing of native and exotic leaf litter in two Idaho (USA) streams. Hydrobiologia 400:123–8.
Rundel PW, Nilsen ET, Sharifi MR, Virginia RA, Jarrell WM, Kohl DH, Shearer GB. 1982. Seasonal dynamics of nitrogen cycling for a Prosopis woodland in the Sonoran Desert. Plant Soil 67:343–53.
Schlesinger WH. 1997. Biogeochemistry: an analysis of global change. 2nd edn. San Diego, CA: Academic Press.
Simons SB, Seastedt TR. 1999. Decomposition and nitrogen release from foliage of cottonwood (Populus deltoides) and Russian-olive (Elaeagnus angustifolia) in a riparian ecosystem. Southwest Nat 44:256–60.
Szaro RC. 1991. Wildlife communities of southwestern riparian ecosystems. In: Rodiek JE, Bolen EG, Eds. Wildlife habitats in managed landscapes. Washington, DC: Island Press. p 174–201.
Tibbets TM, Molles MC. 2005. C:N:P stoichiometry of dominant riparian trees and arthropods along the middle Rio Grande. Freshw Biol 50:1882–94.
Tjepkema JD, Schwintzer CR, Burris RH, Johnson GV, Silvester WB. 2000. Natural abundance of 15N in actinorhizal plants and nodules. Plant Soil 219:285–9.
Tuan Y-F, Everard CE, Widdison JG. 1973. The Climate of New Mexico. Santa Fe, NM: State Planning Office.
USDA. 2007. PLANTS Database. U.S. Department of Agriculture Natural Resources Conservation Service. http://plants.usda.gov/.
Valett HM, Baker MA, Morrice JA, Crawford CS, Molles MC, Dahm CN, Moyer DL, Thibault JR, Ellis LM. 2005. Biogeochemical and metabolic responses to the flood pulse in a semiarid floodplain. Ecology 86:220–34.
Van Cleve K, Yarie J, Erickson R, Dyrness CT. 1993. Nitrogen mineralization and nitrification in successional ecosystems on the Tanana River floodplain, interior Alaska. Can J Forest Res 23:970–8.
Vitousek PM, Walker LR. 1989. Biological invasion by Myrica faya in Hawaii—plant demography, nitrogen-fixation, and ecosystem effects. Ecol Monogr 59:247–65.
Vitousek PM, Walker LR, Whiteaker LD, Muellerdombois D, Matson PA. 1987. Biological invasion by Myrica faya alters ecosystem development in Hawaii. Science 238:802–4.
Vivoni ER, Bowman RS, Wyckoff RL, Jakubowski RT, Richards KE. 2006. Analysis of a monsoon flood event in an ephemeral tributary and its downstream hydrologic effects. Water Resour Res 42:W03404.
Wan S, Hui D, Luo Y. 2001. Fire effects on nitrogen pools and dynamics in terrestrial ecosystems: a meta-analysis. Ecol Appl 11:1349–65.
White, C. Unpublished data, Department of Biology, University of New Mexico, Albuquerque, NM 87131 USA, cswhite@sevilleta.unm.edu.
Zitzer SF, Dawson JO. 1992. Soil properties and actinorhizal vegetation influence nodulation of Alnus glutinosa and Elaeanus angustifolia by Frankia. Plant Soil 140:197–204.
Acknowledgements
We thank members of the University of New Mexico Hydrogeoecology Group for assistance in the field and laboratory. We thank Drs. Cliff Crawford, Cliff Dahm, and Manuel Molles for establishing study sites as part of companion studies of riparian ecosystem structure and function. Earlier versions of the manuscript were improved by comments provided by Dr. Robert Sinsabaugh and anonymous reviewers. The U.S. National Science Foundation funded research through the IGERT Freshwater Sciences Interdisciplinary Doctoral Program (NSF DGE 9972810), a Conservation and Restoration Biology grant: Flooding Regime and Restoration of Riparian Ecosystem Integrity (NSF DEB-9903973), and the Sevilleta Long Term Ecological Research Program (NSF DEB-0217774). This is Sevilleta LTER publication number 501.
Author information
Authors and Affiliations
Corresponding author
Additional information
Author Contributions
All authors contributed equally to the manuscript and are listed alphabetically.
Electronic supplementary material
Below is the link to the electronic supplementary material.
Rights and permissions
About this article
Cite this article
Follstad Shah, J.J., Harner, M.J. & Tibbets, T.M. Elaeagnus angustifolia Elevates Soil Inorganic Nitrogen Pools in Riparian Ecosystems. Ecosystems 13, 46–61 (2010). https://doi.org/10.1007/s10021-009-9299-4
Received:
Accepted:
Published:
Issue Date:
DOI: https://doi.org/10.1007/s10021-009-9299-4


