Abstract
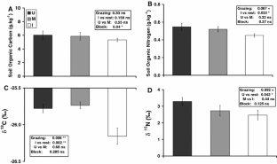
We explored the net effects of grazing on soil C and N pools in a Patagonian shrub–grass steppe (temperate South America). Net effects result from the combination of direct impacts of grazing on biogeochemical characteristics of microsites with indirect effects on relative cover of vegetated and unvegetated microsites. Within five independent areas, we sampled surface soils in sites subjected to three grazing intensities: (1) ungrazed sites inside grazing exclosures, (2) moderately grazed sites adjacent to them, and (3) intensely grazed sites within the same paddock. Grazing significantly reduced soil C and N pools, although this pattern was clearest in intensely grazed sites. This net effect was due to the combination of a direct reduction of soil N content in bare soil patches, and indirect effects mediated by the increase of the cover of bare soil microsites, with lower C and N content than either grass or shrub microsites. This increase in bare soil cover was accompanied by a reduction in cover of preferred grass species and standing dead material. Finally, stable isotope signatures varied significantly among grazed and ungrazed sites, with δ15N and δ13C significantly depleted in intensely grazed sites, suggesting reduced mineralization with increased grazing intensity. In the Patagonian steppe, grazing appears to exert a negative effect on soil C and N cycles; sound management practices must incorporate the importance of species shifts within life form, and the critical role of standing dead material in maintaining soil C and N stocks and biogeochemical processes.
This is a preview of subscription content, access via your institution.


References
Aguiar MR, Sala OE. 1997. Seed distribution constrains the dynamics of the Patagonian steppe. Ecology 78:93–100.
Amundson R, Austin AT, Schuur EAG, Yoo K, Matzek V, Kendall C, Uebersax A, Brenner D, Baisden WT. 2003. Global patterns of the isotopic composition of soil and plant nitrogen. Global Biogeochem Cycles 17:1–10.
Austin AT, Vitousek PM. 1998. Nutrient dynamics on a precipitation gradient in Hawaii. Oecologia 113:519–29.
Austin AT, Sala OE. 1999. Foliar δ15N is negatively correlated with rainfall along the IGBP transect in Australia. Aust J Plant Physiol 26:293–5.
Austin AT, Sala OE, Jackson RB. 2006. Inhibition of nitrification alters carbon turnover in the Patagonian steppe. Ecosystems 9:1257–65.
Austin AT, Vivanco L. 2006. Plant litter decomposition in a semi-arid ecosystem controlled by photodegradation. Nature 442:555–8.
Berendse F. 1994. Litter decomposability—a neglected component of plant fitness. J Ecol 82:187–90.
Bisigato A, Bertiller M, Ares JO, Pazos GE. 2005. Effect of grazing on plant patterns in arid ecosystems of Patagonian Monte. Ecography 28:561–72.
Biondini ME, Patton BD, Nyren PE. 1998. Grazing intensity and ecosystem processes in a northern mixed-grass prairie, USA. Ecol Appl 8: 469–79.
Burke IC, Lauenroth WK, Milchunas D. 1997. Biogeochemistry of managed grasslands in Central North America. In: Paul E, Pauchan K, Elliot E, Cole CV, Eds. Soil organic matter in temperate ecosystems. Long-term experiments in North America. New York: CRC Press. pp 85–102.
Cavagnaro FP, Golluscio RA, Wassner DF, Ravetta DA. 2003. Caracterización química de arbustos patagónicos con diferente preferencia por los herbívoros. Ecología Austral 13:215–22.
Cipriotti P, Aguiar MR. 2005. Effects of grazing on patch structure in a semi-arid two-phase vegetation mosaic. J Veg Sci 16:57–66.
Cook GD. 2001. Effects of frequent fires and grazing on stable nitrogen isotope ratios in northern Australia. Austral Ecol 26:630–6.
Dawson T, Mambelli S, Plamboeck AH, Templer PH, Tu KP. 2002. Stable isotopes in plant ecology. Annu Rev Ecol Syst 33:507–59.
Ehleringer JR, Buchmann N, Flanagan LB. 2000. Carbon isotope ratio in belowground carbon cycle processes. Ecol Appl 10(2):412–22.
Frank DA, Evans RD. 1997. Effects of native grazers on grassland N cycling in Yellowstone National Park. Ecology 78:2238–48.
Gillson L, Hoffman M. 2007. Rangeland ecology in a changing world. Science 315:53–4.
Golluscio RA, León RJC, Perelman SB. 1982. Caracterización fitosociológica de la estepa del Oeste de Chubut: su relación con el gradiente ambiental. Boletín de la Sociedad Argentina de Botánica 21:299–324.
Golluscio RA, Deregibus VA, Paruelo JM. 1998. Sustainability and range management in the Patagonian steppes. Ecología Austral 8(2):265–84.
Golluscio RA, Oesterheld M. 2007. Water use efficiency of 25 co-existing Patagonian species growing under different soil water availability. Oecologia 154:207–17.
González-Polo M, Austin AT. 2009. Spatial heterogeneity provides organic matter refuges for soil microbial activity in the Patagonian steppe, Argentina. Soil Biol Biochem. doi:10.1016/j.soilbio.2009.03.008
Han GD, Xiying HY, Mengli ZL, Mingjun WJ, Ellert BH, Walter W, Wang MJ. 2008. Effect of grazing intensity on carbon and nitrogen in soil and vegetation in a meadow steppe in Inner Mongolia. Agric Ecosyst Environ 125: 21–32.
Hibbard KA, Archer S, Schimel DS, Valentine DW. 2001. Biogeochemical changes accompanying woody plant encroachment in a subtropical savanna. Ecology 82:1999–2011.
Hurlbert SH. 1984. Pseudoreplication and the design of ecological field experiments. Ecol Monogr 54:187–211.
Jobbágy E.G, Sala OE. 2000. Controls on grass and shrub aboveground production in the Patagonian steppe. Ecol Appl 10:541–9.
Kéfi S, Rietkerk M, Alados CL, Pueyo Y, Papanastasis VP, El Aich A, de Ruiter PC. 2007. Spatial vegetation patterns and imminent desertification in Mediterranean arid ecosystems. Nature 449:213–7.
Knapp AK, Briggs JM, Collins SL, Archer SR, Bret-Harte MS, Ewers BE, Peters DP, Young DR, Shaver GR, Pendall E, Cleary MB. 2008. Shrub encroachment in North American grasslands: shifts in growth form dominance rapidly alters control of ecosystem carbon inputs. Glob Chang Biol 14:615–23.
Lange RT, Willcocks MC. 1978. The relation between sheep-time spent and egesta accumulated within an arid zone paddock. Aust J Exp Anim Husb 18:764–7.
León RJC, Aguiar MR. 1985. El deterioro por uso pasturil en estepas herbáceas patagónicas. Phytocoenologia 13:181–96.
López N, Austin AT, Sala OE, Méndez B. 2003. Controls on nitrification in a water-limited ecosystem: experimental inhibition of ammonia-oxidising bacteria in the Patagonian steppe. Soil Biol Biochem 35:1609–13.
McNaughton S, Banyikwa F, McNaughton M. 1997. Promotion of the cycling of diet-enhancing nutrients by African grazers. Science 278:1798–800.
Milchunas DG, Lauenroth WK. 1993. Quantitative effects of grazing on vegetation and soils over a global range of environments. Ecol Monogr 63: 327–66.
Milton S, Dean W, Plessis M, Siegfried W. 1994. A conceptual model of arid rangeland degradation. Bioscience 44: 70–6.
Moretto AS, Distel RA. 1999. Effects of selective defoliation on the competitive interactions between palatable and unpalatable grasses native to a temperate semi-arid grassland of Argentina. J Arid Environ 42:167–75.
Paruelo JM, Aguiar MR, Golluscio RA. 1988. Soil water availability in the Patagonian arid steppe: gravel content effect. Arid Soil Res Rehab 2:67–74.
Pazos G, Bisigato A, Bertiller M. 2007. Abundance and spatial patterning of coexisting perennial grasses in grazed shrublands of the Patagonian Monte. J Arid Environ 70:316–28.
Perelman SB, León RJC, Bussacca JP. 1997. Floristic changes related to grazing intensity in a Patagonian shrub steppe. Ecography 20:400–6.
Reeder JD, Schuman GE. 2002. Influence of livestock grazing on C sequestration in semi-arid mixed-grass and short-grass rangelands. Environ Pollut 116:457–63.
Robinson D. 2001. δ15N as an integrator of the nitrogen cycle. Trends Ecol Evol 16(3):153–61.
Sala OE, Golluscio RA, Lauenroth WK, Soriano A. 1989. Resource partitioning between shrubs and grasses in the Patagonian steppe. Oecologia 81:501–5.
Schlesinger WH. 1997. Biogeochemistry: an analysis of global change. San Diego: Academic Press.
Scholes R, Archer S. 1997. Tree–grass interactions in savannas. Annu Rev Ecol Syst 28:517–44.
Schulze E-D, Williams RJ, Farquhar GD, Schulze W, Langridge J, Miller JM, Walker BH. 1998. Carbon and nitrogen isotope discrimination and nitrogen nutrition of trees along a rainfall gradient in northern Australia. Aust J Plant Physiol 25:413–25.
Schuman GE, Reeder JD, Manley JT, Hart RH, ManleyWA. 1999. Impact of grazing management on the carbon and nitrogen balance of a mixed-grass rangeland. Ecol Appl 9:65–71.
Semmartin M, Aguiar MR, Distel RA, Moretto AS, Ghersa CM. 2004. Litter quality and nutrient cycling affected by grazing-induced species replacements along a precipitation gradient. Oikos 107:148–60.
Somlo R, Pelliza A, Willems P, Nakamatsu V, Manero A. 1997. Atlas Dietario de Herbívoros Patagónicos. Bariloche, Argentina: PRODESAR-INTA-GTZ. 109 p
Soriano A, Golluscio RA, Satorre EH. 1987. Spatial heterogeneity of the root systems of grasses in the Patagonian arid steppe. Bull Torrey Bot Club 114:103–8.
Soriano A, Sala OE, León RJC. 1980. Vegetación actual y potencial en el pastizal de coirón amargo (Stipa spp.) del SW de Chubut. Boletín de la Sociedad Argentina de Botánica 19:309–14.
Vivanco L, Austin AT. 2006. Intrinsic species’ effects on leaf litter and root decomposition: a comparison of temperate grasses from North and South America. Oecologia 150:97–107.
Yahdjian L, Sala OE, Austin AT (2006) Differential controls of water input on litter decomposition and nitrogen dynamics in the Patagonian steppe. Ecosystems 9:128–41.
Wardle DA, Bardgett RD. 2004. Human-induced changes in large herbivorous mammal density: the consequences for decomposers. Front Ecol Environ 2:145–53.
Wedin DA, Tilman D. 1990. Species effects on nitrogen cycling: a test with perennial grasses. Oecologia 84: 433–41.
Acknowledgements
We thank Ana Srur and Fernando Cavagnaro, who helped us with the field and laboratory work. John Karr performed the laboratory analyses for C, N, and stable isotopes in the Duke University laboratory. Special thanks to INTA, for permission to work in the Río Mayo experimental station, and three anonymous reviewers who allowed us to improve the manuscript. We acknowledge ANPCyT (PICTs 15124/03, 21247/04, 31970/05, and 00463/08), University of Buenos Aires (G044, G062, G090 and G812), Fundación Antorchas of Antorchas (Early Career Award, ATA) and CONICET (PIP 5963/04) for financial support during this study.
Author information
Authors and Affiliations
Corresponding author
Additional information
Author Contributions
RAG designed study, performed research, analyzed data, wrote the paper; ATA designed study, wrote the paper; CGGM designed study, performed research, analyzed data; MGP performed research; OES designed study; RBJ designed study, contributed new methods.
Electronic supplementary material
Below is the link to the electronic supplementary material.
Rights and permissions
About this article
Cite this article
Golluscio, R.A., Austin, A.T., García Martínez, G.C. et al. Sheep Grazing Decreases Organic Carbon and Nitrogen Pools in the Patagonian Steppe: Combination of Direct and Indirect Effects. Ecosystems 12, 686–697 (2009). https://doi.org/10.1007/s10021-009-9252-6
Received:
Revised:
Accepted:
Published:
Issue Date:
DOI: https://doi.org/10.1007/s10021-009-9252-6
Key words
- δ15N
- δ13C
- stable isotopes
- semiarid ecosystems
- biogeochemistry
- shrub–grass steppe
- Argentina
- desertification
- life forms