Skip to main content

First principles calculations of phenol adsorption on pristine and group III (B, Al, Ga) doped graphene layers

Abstract

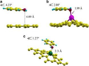
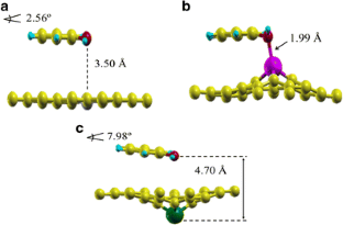
We studied the doping effects on the electronic and structural properties of graphene upon interaction with phenol. Calculations were performed within the periodic density functional theory as implemented in PWscf code of the Quantum Espresso package. Graphene layers were modeled using 3 × 3 and 4 × 4 periodic supercells. Doping was explored considering boron (B), aluminum (Al) and gallium (Ga) atoms. The results showed that pristine graphene and graphene doped with B atoms interacting with phenol display similar structural and electronic properties, exhibiting weak physical interactions. However, when the doping is with Al or Ga , the results are quite different. Al and Ga doping induces a stronger interaction between the phenol molecule and the doped layer, yielding chemical adsorption. In all cases, the zero gap energy characteristic is unchanged. The Dirac lineal dispersion relation is preserved in both pristine graphene and B-doped graphene.

This is a preview of subscription content, access via your institution.

Fig. 1
Fig. 2
Fig. 3
Fig. 4
Fig. 5
Fig. 6
Fig. 7
Fig. 8
Fig. 9
Fig. 10
Fig. 11

References

  1. Wehling TO, Katsnelson MI, Lichtenstein AI (2009) Chem Phys Lett 476:125–134

    CAS  Article  Google Scholar 

  2. Leenaerts O, Partoens B, Peeters FM (2009) Microelectron J 40:860–862

    CAS  Article  Google Scholar 

  3. AlZahrani AZ (2010) Appl Surf Sci 257:807–810

    CAS  Article  Google Scholar 

  4. Banerjee S, Bhattacharyya D (2008) Comput Mater Sci 44:41–45

    CAS  Article  Google Scholar 

  5. Lu D, Xiao Y, Yan XH, Yang YR (2011) Chem Phys Lett 515:263–268

    CAS  Article  Google Scholar 

  6. Novoselov KS, Geim AK, Morozov SV, Jiang D, Zhang Y, Dubonos SV, Grigorieva IV, Firsov AA (2004) Science 306:666–669

    CAS  Article  Google Scholar 

  7. Meyer JC, Geim AK, Katsnelson MI, Novoselov KS, Booth TJ, Roth S (2007) Nature 446:60–63

    CAS  Article  Google Scholar 

  8. Khomyakov PA, Giovannetti G, Rusu PC, Brocks G, van den Brink J, Kelly PJ (2009) Phys Rev B 79:195425

    Article  Google Scholar 

  9. Sun Y, Chen L, Zhang F, Li D, Pan H, Ye J (2010) Solid State Commun 150:1906–1910

    CAS  Article  Google Scholar 

  10. Elias DC, Nair RR, Mohiuddin TMG, Morozov SV, Blake P, Halsall MP, Ferrari AC, Boukhvalov DW, Katsnelson MI, Geim AK, Novoselov KS (2009) Science 323:610–613

    CAS  Article  Google Scholar 

  11. Leenaerts O, Partoens B, Peeters FM (2008) Phys Rev B 77:125416

    Article  Google Scholar 

  12. Galicia JM, Hernández G, Chigo E (2012) J Mol Model 18:137–144

    Article  Google Scholar 

  13. Wehling TO, Lichtenstein AI, Katsnelson MI (2008) Appl Phys Lett 9:202110

    Article  Google Scholar 

  14. Zhang Y-H, Chen Y-B, Zhou K-G, Liu C-H, Zeng J, Zhang H-L, Peng Y (2009) Nanotechnology 20:185504

    Article  Google Scholar 

  15. Chi M, Zhao Y-P (2012) Comput Mater Sci 56:79–84

    CAS  Article  Google Scholar 

  16. Galicia JM, Chigo E, Romero MT, González M, Hernández G (2012) J Mol Model 18:3857–3866

    Article  Google Scholar 

  17. Giannozzi P, Baroni S, Bonini N, Calandra M, Car R, Cavazzoni C, Ceresoli D, Chiarotti GL, Cococcioni M, Dabo I, Dal Corso A, Fabris S, Fratesi G, de Gironcoli S, Gebauer R, Gerstmann U, Gougoussis C, Kokalj A, Lazzeri M, Martin-Samos L, Marzari N, Mauri F, Mazzarello R, Paolini S, Pasquarello A, Paulatto L, Sbraccia C, Scandolo S, Sclauzero G, Seitsonen AP, Smogunov A, Umari P, Wentzcovitch RM (2009) J Phys Condens Matter 21:395502

    Article  Google Scholar 

  18. Perdew JP, Burke K, Ernzerhof M (1996) Phys Rev Lett 77:3865

    CAS  Article  Google Scholar 

  19. Laasonen K, Pasquarello A, Car R, Lee C, Vanderbilt D (1993) Phys Rev B 47:10142

    CAS  Article  Google Scholar 

  20. Wu M, Caol C, Jiang JZ (2010) Nanotechnology 21:505202

    CAS  Article  Google Scholar 

  21. Voloshina EN, Mollenhauer D, Chiappisi L, Paulus B (2011) Chem Phys Lett 510:220–223

    CAS  Article  Google Scholar 

  22. Scott AM, Gorb L, Mobley EA, Hill FC, Leszczynski J (2012) Langmuir 28:13307–13317

    CAS  Article  Google Scholar 

  23. Kubicki JD (2006) Environ Sci Technol 40:2298–2303

    CAS  Article  Google Scholar 

  24. Berland K et al (2011) J Phys Condens Mater 23:135001

    Article  Google Scholar 

  25. Zhou Y, Zhang H, Deng W (2013) Nanotechnology 24:225705

    Article  Google Scholar 

Download references

Acknowledgments

G.H.C. acknowledges the financial support of “Vicerrectoría de Investigación y Estudios de Posgrado-Benemérita Universidad Autónoma de Puebla” (VIEP-BUAP), grant 31/EXC/06-G and Cuerpo Académico Física Computacional de la Materia Condensada (BUAP-CA-191). The technical assistance of Luis Rojas at the computer center of “Instituto de Física de la Universidad Autónoma de Puebla” (IFUAP) is also acknowledged. We also grateful to “Consejo Nacional de Ciencia y Tecnología” (Conacyt) for their support through the fellowship with number 393272/259155

Author information

Affiliations

Authors

Corresponding author

Correspondence to Yuliana Avila.

Rights and permissions

Reprints and Permissions

About this article

Cite this article

Avila, Y., Cocoletzi, G.H. & Romero, M.T. First principles calculations of phenol adsorption on pristine and group III (B, Al, Ga) doped graphene layers. J Mol Model 20, 2112 (2014). https://doi.org/10.1007/s00894-014-2112-0

Download citation

  • Received:

  • Accepted:

  • Published:

  • DOI: https://doi.org/10.1007/s00894-014-2112-0

Keywords

  • Density functional theory
  • Graphene
  • Phenol
  • Adsorption
  • Gallium
  • Boron
  • Aluminum