Skip to main content

First-principles calculations of nickel, cadmium, and lead adsorption on a single-walled (10,0) carbon nanotube

Abstract

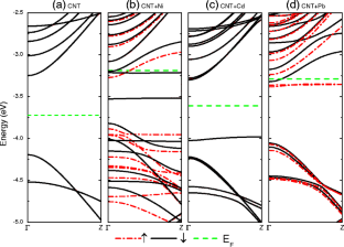
The adsorption of Ni, Cd, and Pb on a zigzag (10, 0) carbon nanotube (CNT) surface was investigated using density functional theory. Binding energy calculations were performed, and the results indicated that the three metals are stably adsorbed on the nanotube surface. Moreover, the results showed that Cd is physisorbed whereas Ni and Pb are chemisorbed. Our studies show that the electronic properties of the CNT are modified by the chemisorption mechanism (Ni and Pb). After Ni and Pb adsorption, the nanotube changes from being a semiconductor to a metallic conductor. The nanotube remains semiconductive upon Cd physisorption, although a decrease in the band gap is observed. Also, Ni or Pb adsorption triggers a change in the magnetism of the nanotube through the induction of spin polarization. Not only can these results of our calculations be used to explain the adsorption mechanisms of these heavy metals on the CNT, but they are also useful for evaluating the potential of carbon nanotubes (CNTs) to act as filters and sensors of such metals.

This is a preview of subscription content, access via your institution.

Fig. 1
Fig. 2
Fig. 3
Fig. 4
Fig. 5
Fig. 6

References

  1. Ives AR, Cardinale BJ (2004) Nature 429:174

    CAS  Article  Google Scholar 

  2. Chen T, Liu X, Zhu M, Zhao K, Wu J, Xu J, Huang P (2008) Environ Pollut 151:67

    CAS  Article  Google Scholar 

  3. Duran A, Tuzen M, Soylak M (2009) J Hazard Mater 169:466

    CAS  Article  Google Scholar 

  4. Kong J, Franklin NR, Zhou C, Chapline MG, Peng S, Cho K, Dai H (2000) Science 287(5453):622

    CAS  Article  Google Scholar 

  5. Collins PG, Bradley K, Ishigami M, Zettl A (2000) Science 287(5459):1801

    CAS  Article  Google Scholar 

  6. Kauffman D, Star A (2008) Angew Chem Int Ed 47:6550

    CAS  Article  Google Scholar 

  7. Dresselhaus M, Dresselhaus G, Jorio A (2004) Annu Rev Mate Res 34:247

    CAS  Article  Google Scholar 

  8. Snow E, Perkins F, Robinson J (2006) Chem Soc Rev 35:790

    CAS  Article  Google Scholar 

  9. Ravelo-Pérez LM, Herrera-Herrera AV, Hernández-Borges J, Ángel Rodríguez-Delgado M (2010) J Chromatogr A 1217:2618

    Article  Google Scholar 

  10. Iijima S (1991) Nature 354:56

    CAS  Article  Google Scholar 

  11. Hayes KE, Lee HS (2012) Chem Phys 393:96

    CAS  Article  Google Scholar 

  12. Park M, Kim BH, Kim S, Han DS, Kim G, Lee KR (2011) Carbon 49:811

    CAS  Article  Google Scholar 

  13. Zhang ZW, Zheng WT, Jiang Q (2011) Phys Chem Chem Phys 13:9483

    CAS  Article  Google Scholar 

  14. Mota R, Fagan SB, Fazzio A (2007) Surf Sci 601:4102

    CAS  Article  Google Scholar 

  15. Li K, Wang W, Cao D (2011) Sensors Actuators B 159:171

    CAS  Article  Google Scholar 

  16. Zhao JX, Ding YH (2008) Mater Chem Phys 110:411

    CAS  Article  Google Scholar 

  17. Shalabi A, Abdel Aal S, Assem M, Abdel Halim WS (2013) Int J Hydrog Energy 38:140

    CAS  Article  Google Scholar 

  18. Girão EC, Liebold-Ribeiro Y, Batista JA, Barros EB, Fagan SB, Filho JM, Dresselhaus MS, Filho AGS (2010) Phys Chem Chem Phys 12:1518

    Article  Google Scholar 

  19. Allen B, Kichambare P, Star A (2007) Adv Mater 19(11):1439

    CAS  Article  Google Scholar 

  20. Cadore AR, Zanella I, de Menezes VM, Rossato J, Mota R, Fagan SB (2012) Phys Chem Chem Phys 14:16737

    CAS  Article  Google Scholar 

  21. Veloso M, Filho AS, Filho JM, Fagan S, Mota R (2006) Chem Phys Lett 430:71

    CAS  Article  Google Scholar 

  22. Ghaedi M, Montazerzohori M, Rahimi N, Biysreh MN (2013) J Ind Eng Chem 19(5):1477

    CAS  Article  Google Scholar 

  23. Zhang Y, Franklin N, Chen R, Dai H (2000) Chem Phys Lett 331:35

    CAS  Article  Google Scholar 

  24. Flatté M (2007) IEEE Trans Electron Devices 54(5):907

    Article  Google Scholar 

  25. Fürst JA, Brandbyge M, Jauho AP, Stokbro K (2008) Phys Rev 78:195405

    Article  Google Scholar 

  26. Blase X, Margine E (2009) Appl Phys Lett 94:173103

    Article  Google Scholar 

  27. Zhang G, Liu X, Wang C, Yao Y, Zhang J, Ho K (2013) J Phys Condens Matter 25:105302

    CAS  Article  Google Scholar 

  28. Serp P, Corrias M, Kalck P (2003) Appl Catal A 28:337

    Article  Google Scholar 

  29. Andriotis AN, Menon M, Froudakis G (2000) Phys Rev Lett 85:3193

    CAS  Article  Google Scholar 

  30. Soler J, Artacho E, Gale J, García A, Junquera J, Ordejón P, Sánchez-Portal D (2002) J Phys Condens Matter 14:2745

    CAS  Article  Google Scholar 

  31. Ceperley DM, Alder BJ (1980) Phys Rev Lett 45:566

    CAS  Article  Google Scholar 

  32. Perdew JP, Zunger A (1981) Phys Rev B 23:5048

    CAS  Article  Google Scholar 

  33. Troullier N, Martins JL (1991) Phys Rev B 43:1993

    CAS  Article  Google Scholar 

  34. Artacho E, Sánchez-Portal D, Ordejón P, García A, Soler J (1999) Phys Stat Sol B 215:809

    Google Scholar 

  35. Monkhorst H, Pack J (1976) Phys Rev B 13(12):5188

    Article  Google Scholar 

  36. Boys S, Bernardi F (1970) Mol Phys 19:553

    CAS  Article  Google Scholar 

  37. Mulliken R (1955) J Chem Phys 23(10):1833

    CAS  Article  Google Scholar 

  38. Mulliken R (1955) J Chem Phys 23(10):1841

    CAS  Article  Google Scholar 

  39. Durgun E, Dag S, Bagci V, Gülseren O, Yildirim T, Ciraci S (2003) Phys Rev B 67:201401

    Google Scholar 

  40. Durgun E, Dag S, Ciraci S, Gülseren O (2004) J Phys Chem B 108:575

    CAS  Article  Google Scholar 

  41. Kokalj A (2003) Comput Mater Sci 28(2):155

    CAS  Article  Google Scholar 

  42. Everett D (2001) Manual on definitions, terminology and symbols in colloid and surface chemistry (internet version). Division of Physical Chemistry, IUPAC, Zürich

  43. Cordero B, Gomez V, Platero-Prats AE, Reves M, Echeverria J, Cremades E, Barragan F, Alvarez S (2008) Dalton Trans 21:2832

  44. Pyykkö P, Atsumi M (2009) Chem Eur J 15(1):186

    Article  Google Scholar 

  45. Pyykkö P, Atsumi M (2009) Chem Eur J 15(46):12770

    Article  Google Scholar 

  46. Xie Y, Huo YP, Zhang JM (2012) Appl Surf Sci 258:6391

    CAS  Article  Google Scholar 

  47. Cuevas J, Levy Yeyati A, Martín-Rodero A (1998) Phys Rev Lett 80(5):1066

    CAS  Article  Google Scholar 

  48. Cuevas J, Levy Yeyati A, Martín-Rodero A, Rubio Bollinger G, Untiedt C, Agraït N (1998) Phys Rev Lett 81(14):2990

    CAS  Article  Google Scholar 

  49. Bader RFW (1994) Atoms in molecules: a quantum theory. Clarendon, Oxford

  50. Henkelman G, Arnaldsson A, Jónsson H (2006) Comput Mater Sci 36:354

    Article  Google Scholar 

  51. Sanville E, Kenny S, Smith R, Henkelman G (2007) J Comp Chem 28(5):899

    CAS  Article  Google Scholar 

  52. Tang W, Sanville E, Henkelman G (2009) J Phys Condens Matter 21:084204

    CAS  Article  Google Scholar 

  53. IUPAC (1997) Compendium of chemical terminology. Gold book, 2nd edn. Blackwell, Oxford. doi:10.1351/goldbook, V. 2.3.2

Download references

Acknowledgments

We would like to acknowledge financial support from the Brazilian agencies Conselho Nacional de Pesquisa (CNPq), Coordenação de Aperfeiçoamento de Pessoal de Nível Superior (CAPES), and Fundação de Amparo à Pesquisa do Estado de Minas Gerais (FAPEMIG). Some of the results presented here were developed using a Universidade de Campinas (UNICAMP) / Financiadora de Estudos e Projetos-Ministério de Ciência e Tecnologia (FINEP-MCT) grant from Centro Nacional de Processamento de Alto Desempenho em São Paulo (CENAPAD-SP).

Author information

Affiliations

Authors

Corresponding author

Correspondence to Ihosvany Camps.

Rights and permissions

Reprints and Permissions

About this article

Cite this article

Bastos, M., Camps, I. First-principles calculations of nickel, cadmium, and lead adsorption on a single-walled (10,0) carbon nanotube. J Mol Model 20, 2094 (2014). https://doi.org/10.1007/s00894-014-2094-y

Download citation

  • Received:

  • Accepted:

  • Published:

  • DOI: https://doi.org/10.1007/s00894-014-2094-y

Keywords

  • Nanostructures
  • Ab initio calculations
  • Electronic structure
  • Band structure