Skip to main content

Experimental and theoretical investigation of the molecular and electronic structure of 5-(4-aminophenyl)-4-(3-methyl-3-phenylcyclobutyl)thiazol-2-amine

Abstract

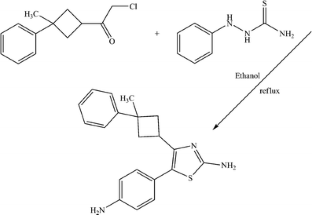
The title molecule, 5-(4-aminophenyl)-4-(3-methyl-3-phenylcyclobutyl)thiazol-2-amine (C20H21N3S), was prepared and characterized by 1H-NMR, 13C-NMR, IR and single-crystal X-ray diffraction. The compound crystallizes in the monoclinic space group P21/c with a = 9.4350(5) Å, b = 11.2796(6) Å, c = 18.4170(8) Å and β = 113.378(3)°. In addition to the molecular geometry from X-ray experiment, the molecular geometry, vibrational frequencies, gauge including atomic orbital (GIAO) 1H- and 13C-NMR chemical shift values and atomic charges distribution of the title compound in the ground state have been calculated using the Hartree–Fock (HF) and density functional method (DFT) (B3LYP) with 6-31G(d) basis set. To determine conformational flexibility, molecular energy profile of the title compound was obtained by semi-empirical (AM1) calculations with respect to two selected degrees of torsional freedom, which were varied from −180° to +180° in steps of 10°. Besides, frontier molecular orbitals (FMO) analysis was performed by the B3LYP/6-31G(d) method.

This is a preview of subscription content, access via your institution.

Scheme 1
Fig. 1
Fig. 2
Fig. 3
Fig. 4
Fig. 5
Fig. 6
Fig. 7

References

  1. Barone R, Chanon M, Gallo R (1979) Aminothiazoles and their derivatives: The chemistry of heterocyclic compounds, vol 34. Interscience Publishers, Wiley, New York, pp 9–366

    Google Scholar 

  2. Crews P, Kakou Y, Quinoa E (1988) J Am Chem Soc 110:4365–4368

    Article  CAS  Google Scholar 

  3. Shinagawa H, Yamaga H, Houchigai H, Sumita Y, Sunagawa M (1997) Bioorg Med Chem 5:601–621

    Article  CAS  Google Scholar 

  4. Shivarama Holla B, Malini KV, Sooryanarayana Rao B, Sarojini BK, Suchetha Kumari N (2003) Eur J Med Chem 38:313–318

    Article  Google Scholar 

  5. Nam G, Lee JC, Chi DY, Kim J-H (1990) Bull Korean Chem Soc 11:383–386

    CAS  Google Scholar 

  6. Ibatullin UG, Petrushina TF, Leitis LY, Minibaev IZ, Logvin BO (1993) Khim Geterotsikl Soedin 715 (USSR); Chem Abstr, 1994, 120, 1145

  7. Dehmlow EV, Schmidt S (1990) Liebigs Ann Chem 5:411–414

    Article  Google Scholar 

  8. Coghi L, Lanfredi AMM, Tiripicchio A (1976) J Chem Soc Perkin Trans 2:1808–1810

    Google Scholar 

  9. Ditchfield R (1972) J Chem Phys 56:5688–5691

    Article  CAS  Google Scholar 

  10. Wolinski K, Hinton JF, Pulay P (1990) J Am Chem Soc 112:8251–8260

    Article  CAS  Google Scholar 

  11. Cheeseman JR, Trucks GW, Keith TA, Frisch MJ (1996) J Chem Phys 104:5497–5509

    Article  CAS  Google Scholar 

  12. Lee BW, Lee SD (2000) Tetrahedron Lett 41:3883–3886

    Article  CAS  Google Scholar 

  13. Lee C, Yang W, Parr RG (1988) Phys Rev B 37:785–789

    Article  CAS  Google Scholar 

  14. Becke AD (1993) J Chem Phys 98:5648–5652

    Article  CAS  Google Scholar 

  15. Ditchfield R, Hehre WJ, Pople JA (1971) J Chem Phys 54:724–728

    Article  CAS  Google Scholar 

  16. Foresman JB, Frisch A (1996) Exploring chemistry with electronic structure methods, 2nd edn. Gaussian Inc, Pittsburgh

    Google Scholar 

  17. Dennington R II, Keith T, Millam J (2007) GaussView, Version 4.1.2. Semichem Inc, Shawnee Mission, KS

    Google Scholar 

  18. Frisch A, Dennington R II, Keith T, Millam J, Nielsen AB, Holder AJ, Hiscocks J (2007) GaussView Reference, Version 4.0. Gaussian Inc, Pittsburgh

    Google Scholar 

  19. Frisch MJ, Trucks GW, Schlegel HB, Scuseria GE, Robb MA, Cheeseman JR, Montgomery JA Jr, Vreven T, Kudin KN, Burant JC, Millam JM, Iyengar SS, Tomasi J, Barone V, Mennucci B, Cossi M, Scalmani G, Rega N, Petersson GA, Nakatsuji H, Hada M, Ehara M, Toyota K, Fukuda R, Hasegawa J, Ishida M, Nakajima T, Honda Y, Kitao O, Nakai H, Klene M, Li X, Knox JE, Hratchian HP, Cross JB, Bakken V, Adamo C, Jaramillo J, Gomperts R, Stratmann RE, Yazyev O, Austin AJ, Cammi R, Pomelli C, Ochterski JW, Ayala PY, Morokuma K, Voth GA, Salvador P, Dannenberg JJ, Zakrzewski VG, Dapprich S, Daniels AD, Strain MC, Farkas O, Malick DK, Rabuck AD, Raghavachari K, Foresman JB, Ortiz JV, Cui Q, Baboul AG, Clifford S, Cioslowski J, Stefanov BB, Liu G, Liashenko A, Piskorz P, Komaromi I, Martin RL, Fox DJ, Keith T, Al-Laham MA, Peng CY, Nanayakkara A, Challacombe M, Gill PMW, Johnson B, Chen W, Wong MW, Gonzalez C, Pople JA (2004) Gaussian 03, Revision E.01. Gaussian Inc, Wallingford, CT

    Google Scholar 

  20. Zhou W, Lu J, Zhang Z, Zhang Y, Cao Y, Lu L, Yang X (2004) Vibr Spectrosc 34:199–204

    Article  CAS  Google Scholar 

  21. Yılmaz İ, Çukurovalı A (2003) Heteroatom Chem 14:617–621

    Article  Google Scholar 

  22. Bal-Demirci T (2008) Polyhedron 27:440–446

    Article  CAS  Google Scholar 

  23. Brandenburg K (2006) DIAMOND, Demonstration version 3.1.e. Crystal Impact GbR, Bonn, Germany

    Google Scholar 

  24. Swenson DC, Yamamoto M, Burton DJ (1997) Acta Crystallogr A C53:1445–1447

    CAS  Google Scholar 

  25. Çukurovalı A, Özdemir N, Yılmaz İ, Dinçer M (2005) Acta Crystallogr E61:o1754–o1756

    Google Scholar 

  26. Dinçer M, Özdemir N, Yılmaz İ, Çukurovalı A, Büyükgüngör O (2004) Acta Crystallogr C60:o674–o676

    Google Scholar 

  27. Allen FH, Kennard O, Watson DG, Brammer L, Orpen AG, Taylor R (1987) J Chem Soc Perkin Trans 2:1–19

    Google Scholar 

  28. Bernstein J, Davis RE, Shimoni L, Chang N-L (1995) Angew Chem Int Ed Engl 34:1555–1573

    Article  CAS  Google Scholar 

  29. Wheeless CJM, Zou X, Liu R (1995) J Phys Chem 99(33):12488–12492

    Article  CAS  Google Scholar 

  30. Lee SY, Boo BH (1996) J Phys Chem 100:15073–15078

    Article  CAS  Google Scholar 

  31. Atalay Y, Avcı D, Başoğlu A, Okur İ (2005) J Mol Struct Theochem 713:21–26

    Article  CAS  Google Scholar 

  32. Weiqun Z, Baolong L, Yang C, Yong Z, Xujie LLY (2005) J Mol Struct Theochem 715:117–124

    Article  Google Scholar 

Download references

Acknowledgments

This study was supported financially by the Research Centre of Ondokuz Mayıs University (Project No: F-425).

Author information

Affiliations

Authors

Corresponding author

Correspondence to Namık Özdemir.

Electronic supplementary material

Below is the link to the electronic supplementary material.

ESM 1

(PDF 45.7 kb)

ESM 2

(PDF 48.6 kb)

Rights and permissions

Reprints and Permissions

About this article

Cite this article

Özdemir, N., Dinçer, M., Çukurovalı, A. et al. Experimental and theoretical investigation of the molecular and electronic structure of 5-(4-aminophenyl)-4-(3-methyl-3-phenylcyclobutyl)thiazol-2-amine. J Mol Model 15, 1435 (2009). https://doi.org/10.1007/s00894-009-0509-y

Download citation

  • Received:

  • Accepted:

  • Published:

  • DOI: https://doi.org/10.1007/s00894-009-0509-y

Keywords

  • Ab-initio calculation
  • AM1 semi-empirical method
  • B3LYP
  • Conformational analysis
  • Hartree–Fock
  • NMR spectroscopy
  • Vibrational assignment
  • X-ray structure determination